Ocho Optativas (puede incluir Prácticas Externas)

chevron_left
chevron_right
Todo
Apuntes
Prácticas
chevron_left
chevron_right

apuntes

-

Series temporales DV

Todo lo que va dando Dani en clase. Por si va muy rápido y te falta algo o simplemente prefieres no estar toda la clase copiando como un@ loc@.

1.Introduccion.pdf
3.Definicion_formal.pdf
2.Metodos_clasicos.pdf
4.Procesos_ARMA.pdf
5. Procesos_integrados.pdf
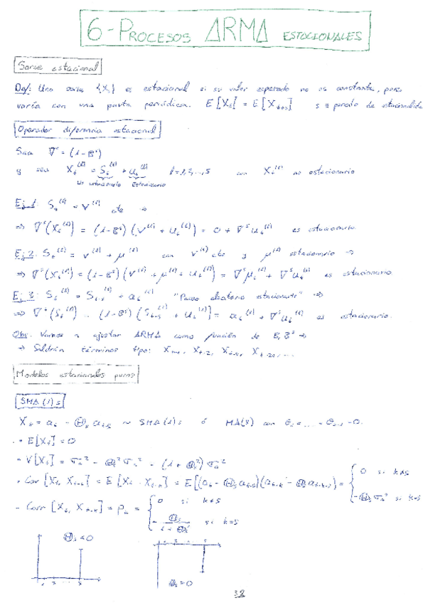
6.Procesos_ARMA_estacionales.pdf

apuntes

-

FINANCIERA_Juanjo

He publicado nuevos apuntes de 4º Ocho Optativas (puede incluir Prácticas Externas): FINANCIERA_Juanjo

SFINB2MovimientoBrowniano.pdf
SFINB3ElLemadeIto.pdf
SFINB1ConceptosFinancieros.pdf

practicas

-

Ampliación de Procesos Estocásticos

He publicado nuevos practicas de 4º Ocho Optativas (puede incluir Prácticas Externas): Ampliación de Procesos Estocásticos

13-Analisis-de-fiabilidad-en-procesos-estocasticos.pdf
6-Modelos-de-inventario-probabilisticos.pdf
5-Modelo-EOQ-probabilizado.pdf
4-Modelo-Dinamico-de-Cantidad-Economica-de-Pedido-EOQ.pdf
11-Analisis-economico-de-un-modelo-de-lineas-de-espera.pdf
12-Fiabilidad-de-sustemas-usando-grafos-como-procedimiento.pdf
¡Estás al día!

¡Estás al día!

Has visto todos los archivos