chevron_left
chevron_right
Todo
Apuntes
Ejercicios
Exámenes
Prácticas
chevron_left
chevron_right

Hay cosas del tema 1,2,3,y 4 Bastante mejor explicado que los apuntes del campus la verdad. Hay algún ejercicio incluido.

13 páginas
Anónimo

@Anónimo

He publicado nuevos apuntes de 1º Ondas y electromagnetismo: Apuntes-Ondas.pdf

70 páginas

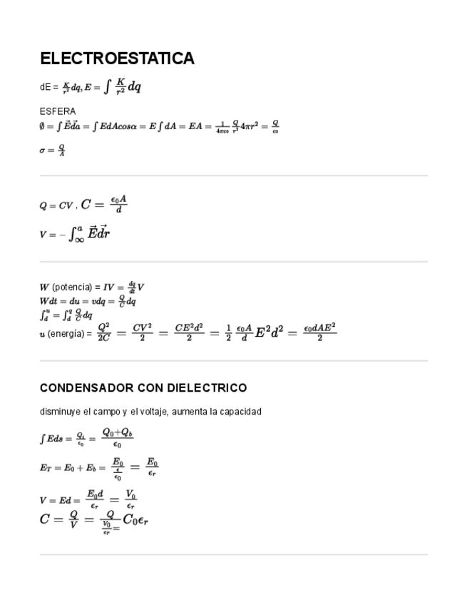
Solo son las formulas

2 páginas

He publicado nuevos ejercicios de 1º Ondas y electromagnetismo: Oscilaciones.pdf

14 páginas

He publicado nuevos ejercicios de 1º Ondas y electromagnetismo: Ondas.pdf

7 páginas

He publicado nuevos ejercicios de 1º Ondas y electromagnetismo: Magnetismo.pdf

11 páginas

He publicado nuevos ejercicios de 1º Ondas y electromagnetismo: Magnetismo2.pdf

8 páginas

He publicado nuevos examenes de 1º Ondas y electromagnetismo: examen-mayo-2018.pdf

7 páginas

He publicado nuevos examenes de 1º Ondas y electromagnetismo: examen-junio-2017.pdf

6 páginas

He publicado nuevos examenes de 1º Ondas y electromagnetismo: examen-mayo-2017.pdf

9 páginas
Anónimo

@Anónimo

He publicado nuevos apuntes de 1º Ondas y electromagnetismo: Tema-2.-Ejercicios-resueltos.pdf

6 páginas

examenes

-

Exams

He publicado nuevos examenes de 1º Ondas y electromagnetismo: Exams

FIRST-MIDTERM-EXAM-2019.pdf
Solved-First-Midterm-Exam-2019.pdf
Anónimo

@Anónimo

He publicado nuevos apuntes de 1º Ondas y electromagnetismo: biot-savart-practice.pdf

5 páginas
Anónimo

@Anónimo

He publicado nuevos apuntes de 1º Ondas y electromagnetismo: DC-Circuits.pdf

7 páginas
Anónimo

@Anónimo

He publicado nuevos practicas de 1º Ondas y electromagnetismo: LAB-PRACTICE-ON-CURRENT-BALANCE.pdf

5 páginas
Anónimo

@Anónimo

He publicado nuevos practicas de 1º Ondas y electromagnetismo: Lab-practice-on-Standing-Waves-on-a-String.pdf

6 páginas
Anónimo

@Anónimo

examenes

-

Exámenes teoría 2016-2017-2019

He publicado nuevos examenes de 1º Ondas y electromagnetismo: Exámenes teoría 2016-2017-2019

Solved-First-Midterm-exam-2019.pdf
2016-MAY-FINAL-EXAM.pdf
MAY-ENGLISH-EXAM-2017.pdf
¡Estás al día!

¡Estás al día!

Has visto todos los archivos