chevron_left
chevron_right
Todo
Apuntes
Ejercicios
Exámenes
Prácticas
chevron_left
chevron_right

ejercicios

-

SEMINARIOS 2ª PARTE

seminarios resueltos de la parte de jovita.

Solucion-seminario-3.pdf
SEMINARIO-2-OPERACIONES.pdf

Seminario Parte Raúl

5 páginas

Examen 2025 Raúl

8 páginas

Teoría y ejercicios 9 10 y 11

16 páginas

Teoría y ejercicios

18 páginas

Teoría y ejercicios tema 5 y 6

15 páginas

Teoría y ejercicios tema 4

24 páginas

Teoría y ejercicios tema 2

14 páginas

Teoría y ejercicios tema 3

14 páginas

Seminario 2 resuelto

5 páginas

Parcial 1 2024

10 páginas

Seminario 1 2024

6 páginas

He publicado nuevos ejercicios de 2º Operaciones Básicas de la Ingeniería Química: Ejercicios-operaciones-primera-parte.pdf

31 páginas

He publicado nuevos examenes de 2º Operaciones Básicas de la Ingeniería Química: Examen-1-2023-2024.pdf

7 páginas

ejercicios

-

Seminarios

He publicado nuevos ejercicios de 2º Operaciones Básicas de la Ingeniería Química: Seminarios

Seminario-3-resultados.pdf
Solucion-Seminario-2.pdf
Resolucion-Seminario-1.pdf

teoría segunda parte

25 páginas

He publicado nuevos ejercicios de 2º Operaciones Básicas de la Ingeniería Química: ejercicios-ob-2-parte.pdf

31 páginas

apuntes

-

Parte 1 y 2 OB

He publicado nuevos apuntes de 2º Operaciones Básicas de la Ingeniería Química: Parte 1 y 2 OB

Tema-123.pdf
Tema-4.pdf
Tema-5-8.pdf
Tema-9-11.pdf

He publicado nuevos apuntes de 2º Operaciones Básicas de la Ingeniería Química: Tema-10-Operaciones-Basicas.pdf

5 páginas

He publicado nuevos apuntes de 2º Operaciones Básicas de la Ingeniería Química: Resumen-tema-9-10-y-11.pdf

7 páginas

He publicado nuevos apuntes de 2º Operaciones Básicas de la Ingeniería Química: SOLUCION-SEMINARIO.pdf

7 páginas

He publicado nuevos apuntes de 2º Operaciones Básicas de la Ingeniería Química: COMO-RESOLVER-CALCULOS.pdf

2 páginas

He publicado nuevos apuntes de 2º Operaciones Básicas de la Ingeniería Química: TEMA-3.pdf

5 páginas

He publicado nuevos apuntes de 2º Operaciones Básicas de la Ingeniería Química: TEMA-2.pdf

16 páginas

He publicado nuevos apuntes de 2º Operaciones Básicas de la Ingeniería Química: TEMA-1.pdf

4 páginas

apuntes

-

exámenes y seminarios parte2

He publicado nuevos apuntes de 2º Operaciones Básicas de la Ingeniería Química: exámenes y seminarios parte2

seminarios-y-examenes-parte-jovita.pdf

apuntes

-

ejercicios y exámenes resueltos

He publicado nuevos apuntes de 2º Operaciones Básicas de la Ingeniería Química: ejercicios y exámenes resueltos

ejercicios-resueltos-parte-raul.pdf
examenes-y-seminarios-ob-parte-raul.pdf

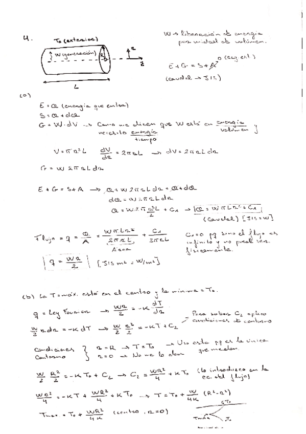
He publicado nuevos apuntes de 2º Operaciones Básicas de la Ingeniería Química: IMG-5057.jpg

Imagen

He publicado nuevos apuntes de 2º Operaciones Básicas de la Ingeniería Química: ejercicios-t10-y-t11.pdf

pdf

He publicado nuevos apuntes de 2º Operaciones Básicas de la Ingeniería Química: ejercicios-t6-y-t7.pdf

pdf

He publicado nuevos apuntes de 2º Operaciones Básicas de la Ingeniería Química: Ej-Tema-9-y-10.pdf

9 páginas

apuntes

-

Seminarios resueltos 2 PARTE

He publicado nuevos apuntes de 2º Operaciones Básicas de la Ingeniería Química: Seminarios resueltos 2 PARTE

Seminario-Temas-7-y-8.pdf
Seminario-Tema-6.pdf
Seminario-Tema-10.pdf

He publicado nuevos apuntes de 2º Operaciones Básicas de la Ingeniería Química: Problemas-Tema-10.pdf

6 páginas

He publicado nuevos apuntes de 2º Operaciones Básicas de la Ingeniería Química: Tema-10.pdf

5 páginas

He publicado nuevos apuntes de 2º Operaciones Básicas de la Ingeniería Química: Tema-7-Y-8.pdf

10 páginas

He publicado nuevos apuntes de 2º Operaciones Básicas de la Ingeniería Química: Problemas-Tema-6.pdf

4 páginas

apuntes

-

Teoria

He publicado nuevos apuntes de 2º Operaciones Básicas de la Ingeniería Química: Teoria

Ob-t5-t11.pdf

apuntes

-

Examenes

He publicado nuevos apuntes de 2º Operaciones Básicas de la Ingeniería Química: Examenes

Seminario-I-resuelto.pdf
SoluciAn-seminario-2Balances-de-materia-y-energAa.pdf
SoluciAn-seminario-3FenAmenos-de-transporte.pdf
Prueba-1.pdf

examenes

-

Solución seminarios segunda parte 2019

He publicado nuevos examenes de 2º Operaciones Básicas de la Ingeniería Química: Solución seminarios segunda parte 2019

Solucion-seminario-3Fenomenos-de-transporte.pdf
Solucion-seminario-2Balances-de-materia-y-energia.pdf

apuntes

-

Seminarios

He publicado nuevos apuntes de 2º Operaciones Básicas de la Ingeniería Química: Seminarios

Solucion-Seminario-1.pdf
Solucion-seminario-IV.pdf
Solucion-seminario-III-B.pdf
Solucion-seminario-III-A.pdf

ejercicios

-

Ejercicios OB 2019

He publicado nuevos ejercicios de 2º Operaciones Básicas de la Ingeniería Química: Ejercicios OB 2019

Problemas-OB-parte-2.pdf
Problemas-OB-parte-1.pdf

apuntes

-

Ejercicios Resueltos

He publicado nuevos apuntes de 2º Operaciones Básicas de la Ingeniería Química: Ejercicios Resueltos

Problemas-Resueltos-Tema-10.pdf
Problemas-Resueltos-Tema-4.pdf
Problemas-Resueltos-Tema-11.pdf
Problemas-Resueltos-Tema-9.pdf
Problemas-Resueltos-Tema-3.pdf
Resumen-O.pdf

examenes

-

Recopilación de Exámenes

He publicado nuevos examenes de 2º Operaciones Básicas de la Ingeniería Química: Recopilación de Exámenes

Seminario-3-Resuleto.pdf
Seminario-1-Resuelto.pdf
Examen-Recuperacion-Junio-Ambas-Partes.pdf
Seminario-2-Resuelto.pdf

He publicado nuevos apuntes de 2º Operaciones Básicas de la Ingeniería Química: Operaciones-basicas-.pdf

43 páginas
¡Estás al día!

¡Estás al día!

Has visto todos los archivos