chevron_left
chevron_right
Todo
Apuntes
Ejercicios
Exámenes
chevron_left
chevron_right

apuntes

-

Ejercicios CUARTO PARCIAL

He publicado nuevos apuntes de 3º Operaciones Basicas: Ejercicios CUARTO PARCIAL

Boletin-de-problemas-de-rectificacion2024.pdf

apuntes

-

Ejercicios y Teoria TRCER PARCIAL

He publicado nuevos apuntes de 3º Operaciones Basicas: Ejercicios y Teoria TRCER PARCIAL

Boletin-de-evaporadores2024.pdf
BoletinIntercambiadores-de-calor2024.pdf
TEORIA-3-PARCIAL.pdf

apuntes

-

Ejercicios y Teoria SEGUNDO PARCIAL

He publicado nuevos apuntes de 3º Operaciones Basicas: Ejercicios y Teoria SEGUNDO PARCIAL

Problema-de-Lecho-Fijo-2024-1.pdf
Problema-de-Filtracion20241.pdf
TEORIA-2-PARCIAL.pdf
FLUJO-DE-FLUIDOS-INCOMPRESIBLES2024.pdf
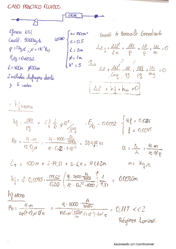
Caso-practicoFlujo-de-fluidos2021Enunciado-1.pdf

ejercicios

-

Ejercicios y teoría PRIMER PARCIAL

He publicado nuevos ejercicios de 3º Operaciones Basicas: Ejercicios y teoría PRIMER PARCIAL

Preguntas-teoria-1-parcial.pdf
BMEX-2.pdf
BALANCES-CON-REACCION-QUIMICA.pdf
BM-CON-RECIRCULACION-Y-PURGA-Cei.pdf
BALANCES-CON-RECIRCULACION.pdf

ejercicios

-

Problemas Intercambio de Calor

He publicado nuevos ejercicios de 3º Operaciones Basicas: Problemas Intercambio de Calor

03-Evaporadores-01.pdf
03-Evaporadores-02.pdf

He publicado nuevos ejercicios de 3º Operaciones Basicas: TransferenciaMateriaP2.pdf

3 páginas

He publicado nuevos ejercicios de 3º Operaciones Basicas: TransferenciaMateriaP4.pdf

2 páginas

He publicado nuevos examenes de 3º Operaciones Basicas: PreguntasParcial4.pdf

3 páginas

He publicado nuevos ejercicios de 3º Operaciones Basicas: TransferenciaMateriaP3.pdf

4 páginas

He publicado nuevos examenes de 3º Operaciones Basicas: TransferenciaMateriaExamen.pdf

5 páginas

He publicado nuevos ejercicios de 3º Operaciones Basicas: TransferenciaMateriaP1.pdf

4 páginas

apuntes

-

3parcialTyPexamen

He publicado nuevos apuntes de 3º Operaciones Basicas: 3parcialTyPexamen

Teoria-3parcial..pdf
9f9c7ce2ac334740aa9abffc6614bc46.pdf

examenes

-

Boletín Resuelto 4 parcial T. Materia

realizar solución en papel milimetrado, saldrán platos teóricos diferentes a los míos, al no haberlo hecho

boletin-resuelto-parcial-4-Transferencia-de-materia.pdf
caso-practico-4-parcial-enunciado.pdf
Caso-practico-4-parcial-resuelto.pdf
TeoriaExanen4parcial..pdf

apuntes

-

2parcialTyPexamen

He publicado nuevos apuntes de 3º Operaciones Basicas: 2parcialTyPexamen

Teoria3parcialExamen..pdf
ProblemasCompleto2parcial.pdf

He publicado nuevos apuntes de 3º Operaciones Basicas: Resumen-intercambiadores.pdf

2 páginas

He publicado nuevos apuntes de 3º Operaciones Basicas: Formulario-19-20-Calor-ampliado.pdf

1 página

He publicado nuevos apuntes de 3º Operaciones Basicas: Boletin-Resuelto-Intercambiadores.pdf

14 páginas

He publicado nuevos apuntes de 3º Operaciones Basicas: Ejercicios-Primer-Parcial-Recirculacion.pdf

7 páginas

He publicado nuevos apuntes de 3º Operaciones Basicas: Ejercicios-Primer-Parcial-Materia.pdf

12 páginas

He publicado nuevos apuntes de 3º Operaciones Basicas: Teoria-Tema-4-Primer-Parcial.pdf

3 páginas

He publicado nuevos apuntes de 3º Operaciones Basicas: Teoria-Temas-1-2-y-3-Primer-Parcial.pdf

8 páginas

examenes

-

1er parcial examen y teoría resueltos

En teoría entra: análisis adimensonal, fluido no newtoniano, un balance y algo de la velocidad o intensidad

DOC-20221007-WA0015.pdf
DOC-20221007-WA0010.pdf
DOC-20221007-WA0012.pdf
DOC-20221007-WA0014.pdf
DOC-20221007-WA0009.pdf
DOC-20221007-WA0013.pdf

apuntes

-

Operaciones básicas TODO

He publicado nuevos apuntes de 3º Operaciones Basicas: Operaciones básicas TODO

Caso-Practico-1.pdf
Longitudes-equivalentes.pdf
Ecuacion-de-Bernouille.pdf
Preguntas-1er-Parcial-Teoria.pdf
Preguntas-2-Parcial-Flujo-Externo.pdf
Caso-Practico-2.pdf

examenes

-

Problemas 1er parcial: RQ + rec y purga

He publicado nuevos examenes de 3º Operaciones Basicas: Problemas 1er parcial: RQ + rec y purga

BALANCES-CON-REACCION-QUIMICA2021.pdf
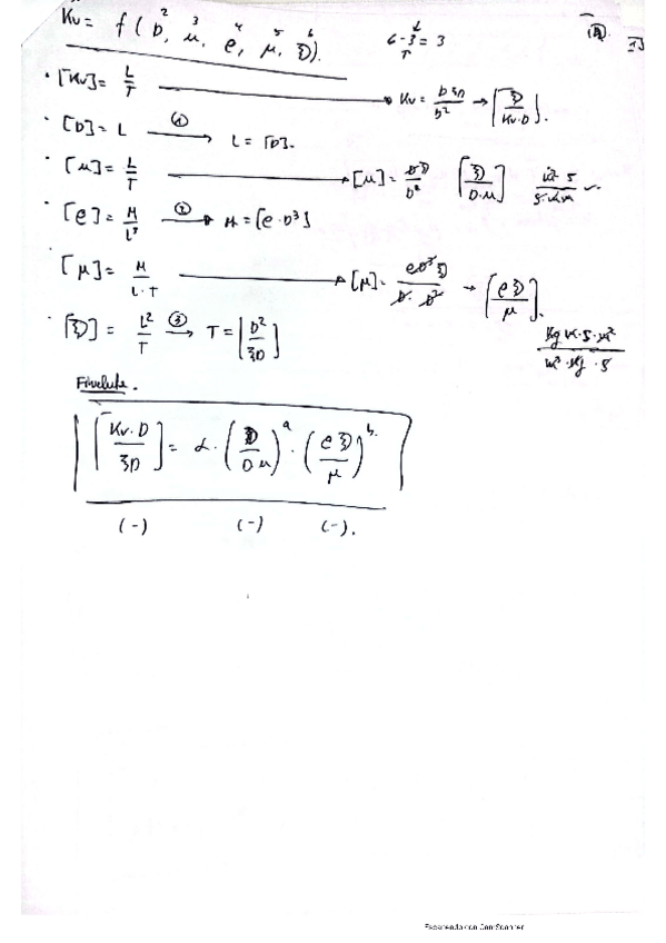
BMRQ-83-7.pdf
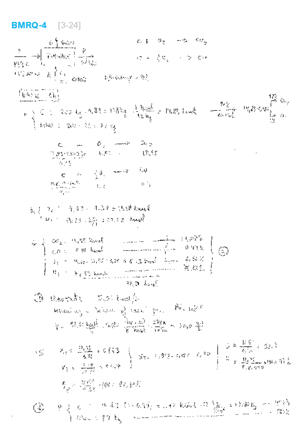
BMRQ-43-24.pdf
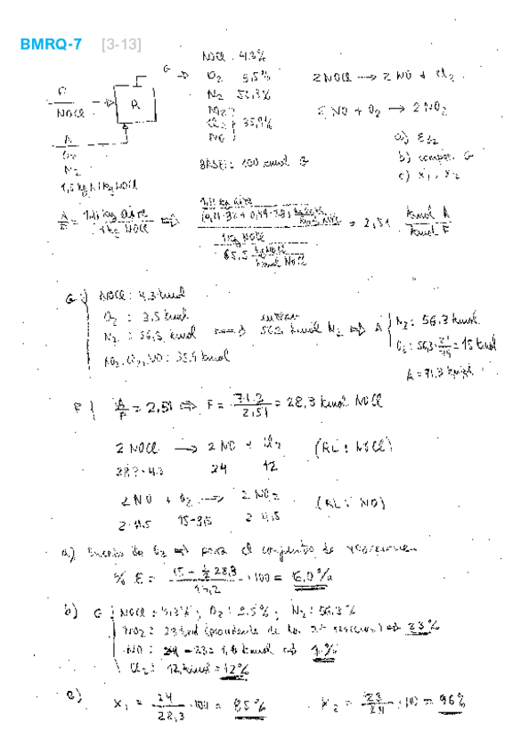
BMRQ-73-13.pdf
BMCP-8IV-21.pdf
BMCP-24C-2.pdf

He publicado nuevos ejercicios de 3º Operaciones Basicas: TCALORyTMateria.pdf

13 páginas

He publicado nuevos ejercicios de 3º Operaciones Basicas: flujodefluidos.pdf

18 páginas

He publicado nuevos ejercicios de 3º Operaciones Basicas: balancedemateria.pdf

28 páginas

He publicado nuevos examenes de 3º Operaciones Basicas: posiblespreguntas.pdf

15 páginas

He publicado nuevos apuntes de 3º Operaciones Basicas: Preguntas-Teoria-1er-y-2do-Parcial.pdf

9 páginas

He publicado nuevos apuntes de 3º Operaciones Basicas: Preguntas-Teoria-3er-Parcial.pdf

10 páginas

He publicado nuevos apuntes de 3º Operaciones Basicas: Caso-Practico-Calor.pdf

3 páginas

He publicado nuevos examenes de 3º Operaciones Basicas: Examen-Diciembre-19-20.jpg

Imagen

He publicado nuevos apuntes de 3º Operaciones Basicas: Caso-practico-fluidos.pdf

3 páginas

He publicado nuevos apuntes de 3º Operaciones Basicas: Caso-practico-BM.pdf

3 páginas

He publicado nuevos apuntes de 3º Operaciones Basicas: Temario-1.pdf

11 páginas

apuntes

-

PROBLEMAS Y TEORIA ANTONIO GUERRERO

He publicado nuevos apuntes de 3º Operaciones Basicas: PROBLEMAS Y TEORIA ANTONIO GUERRERO

Preguntas-teoria-transferencia-de-materia.pdf
Problemas-operaciones.pdf
Problemas-operaciones-3.pdf
Preguntas-teoria-transferencia-de-calor.pdf
Problemas-operaciones-2.pdf

apuntes

-

examenes 2018 TODAS CONVOCATORIAS

He publicado nuevos apuntes de 3º Operaciones Basicas: examenes 2018 TODAS CONVOCATORIAS

operaciones b.png
operaciones.png

apuntes

-

TEORIA Y PROBLEMAS (RESUELTO Y TODO)

APRUEBAS SI TRABAJAS CON ESTO

Tema 3. problemas.pdf
Tema 2. Leyes de conservación.pdf
Tema 4. Flujo de fluidos.Fluidos incompresibles.pdf
Tema 5.Problemas.pdf
Tema 1.pdf
Tema 2.pdf

apuntes

-

Material Para Examen

He publicado nuevos apuntes de 3º Operaciones Basicas: Material Para Examen

Formulario.pdf
Fotocopias Convección.pdf
Fotocopias Fluidos por tuberías.pdf
Fotocopias Tema 3.pdf
Fotocopias Tema 5.pdf
Tablas Termodinámicas.pdf

apuntes

-

Temas de Teoría

He publicado nuevos apuntes de 3º Operaciones Basicas: Temas de Teoría

Tema 01. Introducción al estudio de las OB.pdf
Tema 02. Leyes de conservación.pdf
Tema 03. Lechos porosos.pdf
Tema 04. Filtración.pdf
Tema 05. Evaporación.pdf
Tema 06.Transferencia de materia.pdf

examenes

-

Examen Teoria

He publicado nuevos examenes de 3º Operaciones Basicas: Examen Teoria

IMG_5493.JPG
IMG_5494.JPG
IMG_5495.JPG

examenes

-

Examen Problemas

He publicado nuevos examenes de 3º Operaciones Basicas: Examen Problemas

IMG_5496.JPG
FullSizeRender.jpg

He publicado nuevos apuntes de 3º Operaciones Basicas: Problemas 15-16.pdf

19 páginas
¡Estás al día!

¡Estás al día!

Has visto todos los archivos