chevron_left
chevron_right
Todo
Apuntes
Ejercicios
chevron_left
chevron_right
Anónimo

@Anónimo

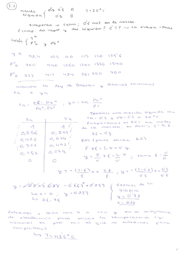
He publicado nuevos ejercicios de 3º Operaciones de Separación: Seminarios-resueltos-paso-por-paso.pdf

114 páginas

He publicado nuevos ejercicios de 3º Operaciones de Separación: TODOS-Problemas-paso-a-paso.pdf

77 páginas

He publicado nuevos ejercicios de 3º Operaciones de Separación: Ejercicios-T6.pdf

18 páginas

He publicado nuevos ejercicios de 3º Operaciones de Separación: Problemas-T3.pdf

34 páginas

He publicado nuevos ejercicios de 3º Operaciones de Separación: Problemas-T2.pdf

24 páginas

He publicado nuevos apuntes de 3º Operaciones de Separación: Teoria-TODO-Operaciones-de-Separacion.pdf

25 páginas

He publicado nuevos ejercicios de 3º Operaciones de Separación: Sesiones-de-Problemas-Operaciones-de-Separacion.pdf

50 páginas
Anónimo

@Anónimo

He publicado nuevos apuntes de 3º Operaciones de Separación: TABLAS-Y-GRAFICOS-CON-EXCEL-entregable-3.pdf

1 página
¡Estás al día!

¡Estás al día!

Has visto todos los archivos