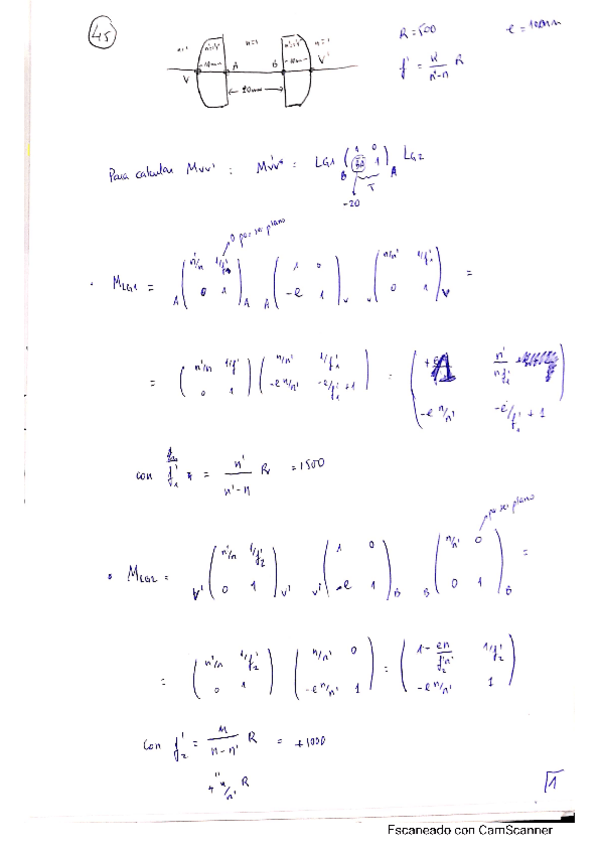
Óptica
Todo
Ejercicios
chevron_left
chevron_right
ejercicios
-
RESUELTOS EJERCICIOS TODOS LOS BOLETINES
He publicado nuevos ejercicios de 3º Óptica: RESUELTOS EJERCICIOS TODOS LOS BOLETINES
¡Estás al día!
Has visto todos los archivos
ejercicios
-
RESUELTOS EJERCICIOS TODOS LOS BOLETINES
He publicado nuevos ejercicios de 3º Óptica: RESUELTOS EJERCICIOS TODOS LOS BOLETINES
¡Estás al día!
Has visto todos los archivos