Óptica Electromagnética

chevron_left
chevron_right
Todo
Apuntes
Ejercicios
chevron_left
chevron_right

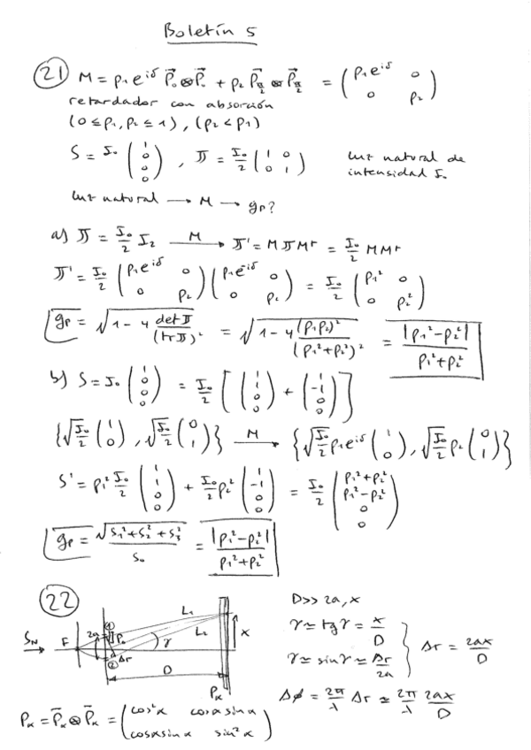
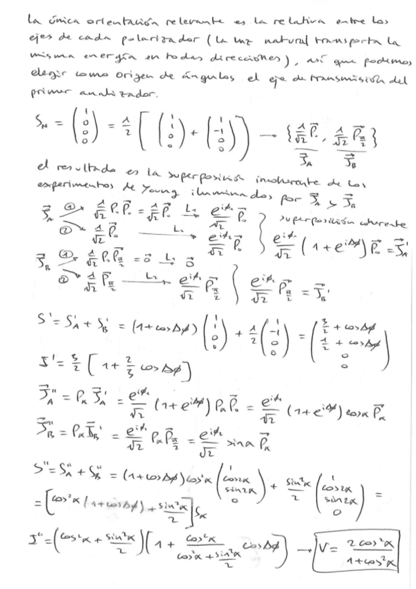
Óptica Electromagnética Boletín 5

4 páginas

Óptica Electromagnética Tema 6: Luz Espacialmente Incoherente

8 páginas

Ótica Electromagnética Tema 5: Luz Espectralmente Incoherente

9 páginas

Óptica Electromagnética. Boletín 4

8 páginas

Óptica Electromagnética. Tema 4: Formación Difraccional de Imágenes

4 páginas

Óptica Electromagnética Boletín 3

10 páginas

Óptica Electromagnética. Tema 3: Acción de Lentes y Espejos en Haces Paraxiales

7 páginas

Óptica Electromagnética Boletín 2

5 páginas

Óptica Electromagnética Tema 2: Difracción de haces paraciales

7 páginas

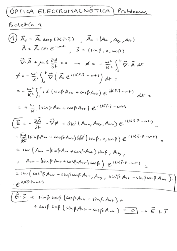
Óptica Electromagnética Boletín 1

6 páginas

Óptica Electromagnética Tema 1 Difracción Vectorial

2 páginas
¡Estás al día!

¡Estás al día!

Has visto todos los archivos