Óptica II
practicas
-
Practicas hechas
He publicado nuevos practicas de 3º Óptica II: Practicas hechas
ejercicios
-
Ejercicios todo el temario
He publicado nuevos ejercicios de 3º Óptica II: Ejercicios todo el temario
apuntes
-
Apuntes todo el temario
He publicado nuevos apuntes de 3º Óptica II: Apuntes todo el temario
He publicado nuevos ejercicios de 3º Óptica II: Cuestionarios-Tema1-EXPLICADOS.pdf
He publicado nuevos ejercicios de 3º Óptica II: Cuestionarios-Tema2-EXPLICADOS.pdf
He publicado nuevos ejercicios de 3º Óptica II: Relación 7 - Fibras ópticas (explicados).pdf.pdf
He publicado nuevos ejercicios de 3º Óptica II: Relación 6 - Led y láser (explicados).pdf.pdf
He publicado nuevos ejercicios de 3º Óptica II: Relación 5 - Óptica no lineal (explicados).pdf.pdf
He publicado nuevos ejercicios de 3º Óptica II: Relación 4 - Interacción clásica luz-materia (explicados).pdf.pdf
He publicado nuevos ejercicios de 3º Óptica II: Relación 3 - Formación de imagen (explicados).pdf.pdf
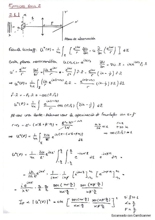
He publicado nuevos ejercicios de 3º Óptica II: Relación 2 - Difracción (explicados).pdf.pdf
He publicado nuevos ejercicios de 3º Óptica II: Relación 1 - Coherencia de la luz (explicados).pdf.pdf
Formulario muy similar al que dieron en el curso 2024-2025. Está comentando lo que significa cada fórmula (más o menos)
INICIO CURSO ÓPTICA II Resumen de cada tema. Resolución de ejercicios y exámenes de convocatorias anteriores. Clases grabadas hasta el día del examen. Profesor a tu disposición en cualquier momento para dudas. INFÓRMATE SIN COMPROMISO Y DA UNA CLASE DE PRUEBA EN GRUPO.

ejercicios
-
Relaciones de ejercicios
He publicado nuevos ejercicios de 3º Óptica II: Relaciones de ejercicios
practicas
-
Practicas
He publicado nuevos practicas de 3º Óptica II: Practicas
He publicado nuevos practicas de 3º Óptica II: Practica06Caracterizaciondefuentesdeluz.pdf
He publicado nuevos practicas de 3º Óptica II: Practica05Fundamentosdelatransmisiondesenalesporfibraoptica.pdf
He publicado nuevos practicas de 3º Óptica II: Practica03ElementosBasicosdeopticadeFourieryfiltradodeimagenes.pdf
He publicado nuevos practicas de 3º Óptica II: Practica02ESPECTROSCOPIAREDESDEDIFRACCION.pdf
He publicado nuevos practicas de 3º Óptica II: Examenopticarepaso.pdf
examenes
-
Exámenes resueltos
He publicado nuevos examenes de 3º Óptica II: Exámenes resueltos
He publicado nuevos examenes de 3º Óptica II: Ej-tipo-examen-Tema2.pdf
ejercicios
-
Relaciones y complementarios óptica II
He publicado nuevos ejercicios de 3º Óptica II: Relaciones y complementarios óptica II
@Anónimo
He publicado nuevos examenes de 3º Óptica II: Examen-Practicas-Recopilatorio.pdf
ejercicios
-
Videos JOVE
He publicado nuevos ejercicios de 3º Óptica II: Videos JOVE
@Anónimo
He publicado nuevos apuntes de 3º Óptica II: Formulario-Optica-II-ordinaria-2024.pdf
@Anónimo
Se incluyen espiral de Cornu, valores de fibra y formulario proporcionado en el exmaen
ejercicios
-
Relaciones resueltas 2024
He publicado nuevos ejercicios de 3º Óptica II: Relaciones resueltas 2024
@Anónimo
apuntes
-
Apuntes 2023-2024
He publicado nuevos apuntes de 3º Óptica II: Apuntes 2023-2024
ejercicios
-
Relaciones resueltas (2023-2024)
He publicado nuevos ejercicios de 3º Óptica II: Relaciones resueltas (2023-2024)
ejercicios
-
ÓPTIKA II (23/24)
He publicado nuevos ejercicios de 3º Óptica II: ÓPTIKA II (23/24)
ejercicios
-
Complementarios Óptica II (2023-2024)
He publicado nuevos ejercicios de 3º Óptica II: Complementarios Óptica II (2023-2024)
apuntes
-
Apuntes Completos
He publicado nuevos apuntes de 3º Óptica II: Apuntes Completos
apuntes
-
Apuntes de la asignatura
Apuntes y ejemplos del curso 20-21
ejercicios
-
Relaciones resueltas
He publicado nuevos ejercicios de 3º Óptica II: Relaciones resueltas
ejercicios
-
Relaciones resueltas óptica II
He publicado nuevos ejercicios de 3º Óptica II: Relaciones resueltas óptica II
@Anónimo
He publicado nuevos examenes de 3º Óptica II: Examen-Convocatoria-Extraordinaria-20222023.pdf
ejercicios
-
Relaciones resueltas
He publicado nuevos ejercicios de 3º Óptica II: Relaciones resueltas
apuntes
-
relaciones de ejercicios
He publicado nuevos apuntes de 3º Óptica II: relaciones de ejercicios
@Anónimo
He publicado nuevos examenes de 3º Óptica II: Examen-ordinario-2021-22-resuelto.pdf
@Anónimo
He publicado nuevos examenes de 3º Óptica II: Formulario-PROFESORES-2023.pdf
@Anónimo
He publicado nuevos examenes de 3º Óptica II: Examen-ordinario-Optica-II-2022.pdf
He publicado nuevos ejercicios de 3º Óptica II: Ejercicioscomplementarios.pdf
apuntes
-
Resúmenes_Temas(1-4)
He publicado nuevos apuntes de 3º Óptica II: Resúmenes_Temas(1-4)
apuntes
-
Resúmenes temario
He publicado nuevos apuntes de 3º Óptica II: Resúmenes temario
apuntes
-
Informes prácticas
He publicado nuevos apuntes de 3º Óptica II: Informes prácticas
@Anónimo
practicas
-
Prácticas Óptica II 2022
He publicado nuevos practicas de 3º Óptica II: Prácticas Óptica II 2022
apuntes
-
Informes de Practicas
He publicado nuevos apuntes de 3º Óptica II: Informes de Practicas
@Anónimo
He publicado nuevos apuntes de 3º Óptica II: Formulario-resumen-completo.pdf
apuntes
-
Resúmenes de los temas
He publicado nuevos apuntes de 3º Óptica II: Resúmenes de los temas
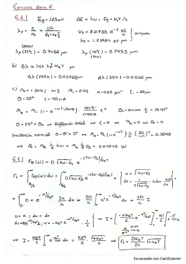
He publicado nuevos ejercicios de 3º Óptica II: Optica-II-problemas-tema-6.pdf
He publicado nuevos ejercicios de 3º Óptica II: Optica-II-problemas-tema-7.pdf