Todo
Apuntes
Ejercicios
Exámenes
Prácticas
chevron_left
chevron_right

En la página 2 hay una errata. La región factible del segundo problema está mal coloreada (la de azul) debería de haberse pintado la zona de arriba

10 páginas

He publicado nuevos apuntes de 3º Optimización: Tema-5opti.pdf

6 páginas

He publicado nuevos apuntes de 3º Optimización: Tema-4opti.pdf

14 páginas

2025/2026

14 páginas

He publicado nuevos apuntes de 3º Optimización: Tema-7-El-Problema-De-Transporte.pdf

16 páginas

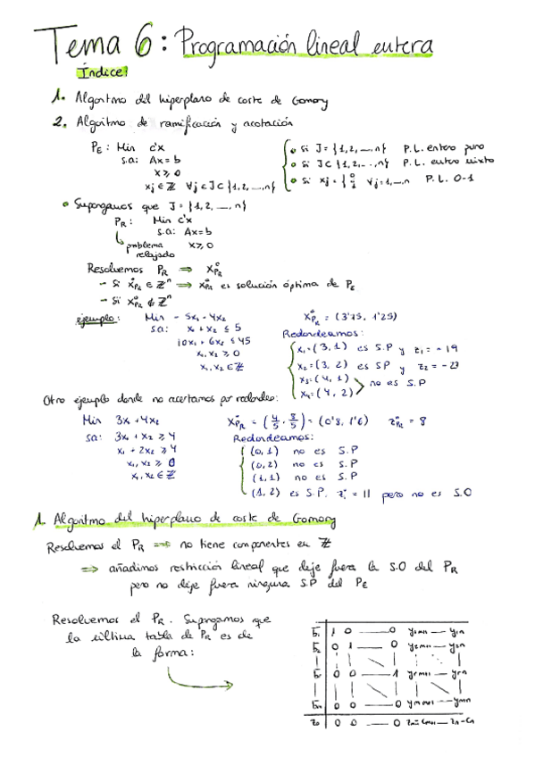
He publicado nuevos apuntes de 3º Optimización: Tema-6--Programacion-Lineal-Entera.pdf

9 páginas

He publicado nuevos apuntes de 3º Optimización: Tema-5-Analisis-De-Sensibilidad.pdf

8 páginas

He publicado nuevos apuntes de 3º Optimización: Tema-4-Dualidad-en-Programacion-Lineal.pdf

17 páginas

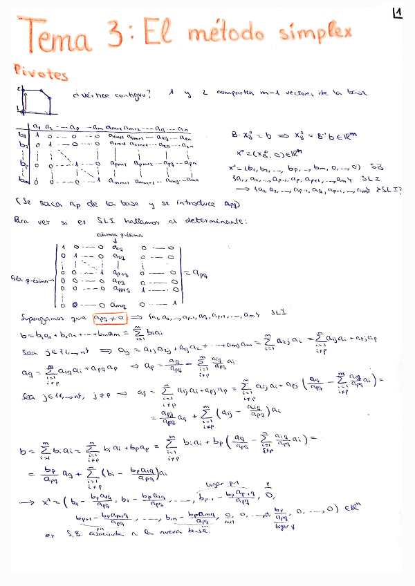
He publicado nuevos apuntes de 3º Optimización: Tema-3-Metodo-Del-Simplex.pdf

22 páginas

He publicado nuevos apuntes de 3º Optimización: Tema-2--FUNDAMENTOS-DE-LA-PROGRAMACION-LINEAL.pdf

10 páginas

He publicado nuevos apuntes de 3º Optimización: Tema2.pdf

11 páginas

examenes

-

Exámenes parciales 24/25

He publicado nuevos examenes de 3º Optimización: Exámenes parciales 24/25

Examen-Parcial-T.-2-y-3-2024.pdf
Examen-Parcial-T.-4-y-5-2024.pdf
Examen-Parcial-T.6-y-7-2025.pdf

apuntes

-

Relaciones temas

He publicado nuevos apuntes de 3º Optimización: Relaciones temas

Tema-5-relacion-5.pdf
Tema-3-relacion-2-y-3.pdf
Tema-7-relacion-7.pdf
Tema-4-relacion-4.pdf
Tema-2-relacion-1.pdf
Anónimo

@Anónimo

He publicado nuevos examenes de 3º Optimización: Examen-Prácticas-2024-resuelto.pdf

5 páginas

He publicado nuevos ejercicios de 3º Optimización: Relacion-ejercicios-7-Optimizacion.pdf

8 páginas

He corregido algunas erratas y añadido el enunciado del ejercicio de examen :)

16 páginas

He publicado nuevos apuntes de 3º Optimización: Apuntes-Tema-6-Optimizacion.pdf

13 páginas

He publicado nuevos apuntes de 3º Optimización: Apuntes-Tema-5-Optimizacion.pdf

10 páginas

Código de colores : definiciones -> ROSA, teoremas -> AZUL, ejemplos -> VERDE, observaciones -> NARANJA, importante/títulos -> AMARILLO

9 páginas

He publicado nuevos ejercicios de 3º Optimización: Relacion-ejercicios-5-Optimizacion-1-8.pdf

21 páginas

He publicado nuevos ejercicios de 3º Optimización: Relacion-ejercicios-4-Optimizacion.pdf

21 páginas

He publicado nuevos apuntes de 3º Optimización: Apuntes-Tema-3-Optimizacion.pdf

20 páginas

He publicado nuevos apuntes de 3º Optimización: Apuntes-Tema-4-Optimizacion.pdf

9 páginas

Código de colores : definiciones -> ROSA, teoremas -> AZUL, ejemplos -> VERDE, observaciones -> NARANJA, importante/títulos -> AMARILLO

7 páginas

Código de colores : definiciones -> ROSA, teoremas -> AZUL, ejemplos -> VERDE, observaciones -> NARANJA, importante/títulos -> AMARILLO

17 páginas

He publicado nuevos ejercicios de 3º Optimización: Relacion-ejercicios-3-Optimizacion.pdf

11 páginas

He publicado nuevos apuntes de 3º Optimización: Relacion-1-Tema-2.pdf

18 páginas

He publicado nuevos ejercicios de 3º Optimización: Relacion-ejercicios-2-Optimizacion.pdf

14 páginas

He publicado nuevos apuntes de 3º Optimización: Apuntes-Tema-2-Optimizacion.pdf

21 páginas

He publicado nuevos apuntes de 3º Optimización: Apuntes-Tema-1-Optimizacion.pdf

12 páginas

He publicado nuevos apuntes de 3º Optimización: Teoria-Opti.pdf

11 páginas

He publicado nuevos ejercicios de 3º Optimización: Relacion-6-Opti.pdf

6 páginas

He publicado nuevos ejercicios de 3º Optimización: Relacion-5-Opti.pdf

26 páginas

He publicado nuevos examenes de 3º Optimización: 2019-Febrero.pdf

26 páginas

Código de colores : definiciones -> ROSA, teoremas -> AZUL, ejemplos -> VERDE, observaciones -> NARANJA, importante/títulos -> AMARILLO

18 páginas

Código de colores : definiciones -> ROSA, teoremas -> AZUL, ejemplos -> VERDE, observaciones -> NARANJA, importante/títulos -> AMARILLO

10 páginas

He publicado nuevos apuntes de 3º Optimización: temario-completo-2324.pdf

54 páginas

He publicado nuevos practicas de 3º Optimización: Practica4Curso2324.nb

Miniatura no disponible

He publicado nuevos practicas de 3º Optimización: Practica2Curso2324.nb

Miniatura no disponible

He publicado nuevos practicas de 3º Optimización: Practica3Curso2324.nb

Miniatura no disponible

He publicado nuevos practicas de 3º Optimización: Practica1Curso2324.nb

Miniatura no disponible

He publicado nuevos practicas de 3º Optimización: ExamenPracticas2324C1.nb

Miniatura no disponible

He publicado nuevos practicas de 3º Optimización: ExamenPracticas1617.nb

Miniatura no disponible

He publicado nuevos ejercicios de 3º Optimización: relacion7-resuelta.pdf

9 páginas

He publicado nuevos ejercicios de 3º Optimización: relacion6-resuelta.pdf

6 páginas

He publicado nuevos ejercicios de 3º Optimización: relacion5-resuelta.pdf

26 páginas

He publicado nuevos ejercicios de 3º Optimización: relacion4-resuelta.pdf

24 páginas

He publicado nuevos ejercicios de 3º Optimización: relacion3-resuelta.pdf

14 páginas

He publicado nuevos ejercicios de 3º Optimización: relacion2-resuelta.pdf

20 páginas

He publicado nuevos ejercicios de 3º Optimización: relacion1-resuelta.pdf

10 páginas

He publicado nuevos apuntes de 3º Optimización: TEMA-7-OPTIMIZACION.pdf

11 páginas

He publicado nuevos apuntes de 3º Optimización: TEMA-3-Clases-Optimizacion.pdf

10 páginas

He publicado nuevos apuntes de 3º Optimización: TEMA-1-Clases-Optimizacion..pdf

12 páginas

He publicado nuevos apuntes de 3º Optimización: preguntas-teoricas--ejemplos.pdf

23 páginas

He publicado nuevos apuntes de 3º Optimización: ejs-practicos-con-anotaciones.pdf

78 páginas

He publicado nuevos apuntes de 3º Optimización: Optimizacion.pdf

11 páginas

apuntes

-

Teoría Optimización

He publicado nuevos apuntes de 3º Optimización: Teoría Optimización

Tema-2-El-metodo-de-la-PL.pdf
Tema-3-El-metodo-simplex.pdf
Tema-4-Dualidad.pdf
Tema-5-Analisis-de-la-sensibilidad.pdf
Tema-6-PL-Entera.pdf

ejercicios

-

Relaciones ejercicios

He publicado nuevos ejercicios de 3º Optimización: Relaciones ejercicios

Relacion3-.pdf
Relacion-1.pdf
Relacion2.pdf
Relacion4.pdf

He publicado nuevos examenes de 3º Optimización: examenes-opti-resueltos.pdf

20 páginas

apuntes

-

APUNTES OPTIMIZACIÓN

He publicado nuevos apuntes de 3º Optimización: APUNTES OPTIMIZACIÓN

TEMA-2-OPTIMIZACION.pdf
TEMA-3-OPTIMIZACION.pdf
TEMA-4-OPTIMIZACION.pdf
TEMA-5-OPTIMIZACION.pdf
TEMA-6-OPTIMIZACION.pdf
TEMA-7-OPTIMIZACION.pdf