Organització i Gestió d'Empreses

chevron_left
chevron_right
Todo
Apuntes
Ejercicios
Exámenes
Test
Trabajos
chevron_left
chevron_right

He publicado nuevos apuntes de 1º Organització i Gestió d'Empreses: OiGE-Tema-B-Conceptes-clau-dinversions-i-financament.pdf

Miniatura no disponible
6 páginas
Anónimo

@Anónimo

Resumen de como resolver los ejercicios del Bloque5 de ejercicios. Hecho con ayuda de IA.

3 páginas

He publicado nuevos apuntes de 1º Organització i Gestió d'Empreses: FORMULARI-OGE.pdf

11 páginas

Redactat amb l'ajuda d'IA, amb mp3 al final

13 páginas

Redactat amb l'ajuda d'IA, amb mp3 al final

15 páginas

Redactat amb l'ajuda d'IA, amb mp3 al final

15 páginas

Examen Parcial 2 OGE 2024/2025

1 página

Redactat amb l'ajuda d'IA, amb mp3 al final

20 páginas

Redactat amb l'ajuda d'IA

8 páginas
Anónimo

@Anónimo

Generado con IA

2 páginas

Tots els apunts pel segon parcial

8 páginas

He publicado nuevos examenes de 1º Organització i Gestió d'Empreses: Prueba-1-informaticos-43.pdf

3 páginas

He publicado nuevos examenes de 1º Organització i Gestió d'Empreses: Prueba-1-informauticossolucions.pdf

3 páginas

He publicado nuevos examenes de 1º Organització i Gestió d'Empreses: prueba-1-Informaticos-41.pdf

3 páginas

He publicado nuevos examenes de 1º Organització i Gestió d'Empreses: Prueba-1-43-Grau-Informatica-1.pdf

3 páginas

He publicado nuevos examenes de 1º Organització i Gestió d'Empreses: Prueba-1-41-Grau-Informatica.pdf

3 páginas

He publicado nuevos apuntes de 1º Organització i Gestió d'Empreses: IMG20250428023133-2.pdf

3 páginas
Anónimo

@Anónimo

He publicado nuevos examenes de 1º Organització i Gestió d'Empreses: Parcial-1-2024-25.pdf

1 página
Anónimo

@Anónimo

He publicado nuevos apuntes de 1º Organització i Gestió d'Empreses: SEMINARI-3-28032025-Solucio.pdf

2 páginas

He publicado nuevos apuntes de 1º Organització i Gestió d'Empreses: Resum-OGE-T1-2-(Parcial1).pdf

1 página
Anónimo

@Anónimo

He publicado nuevos apuntes de 1º Organització i Gestió d'Empreses: Control-17-03-2025-Solució.pdf

1 página
Anónimo

@Anónimo

He publicado nuevos ejercicios de 1º Organització i Gestió d'Empreses: oge-blocs-semis-i-controls.pdf

56 páginas

ejercicios

-

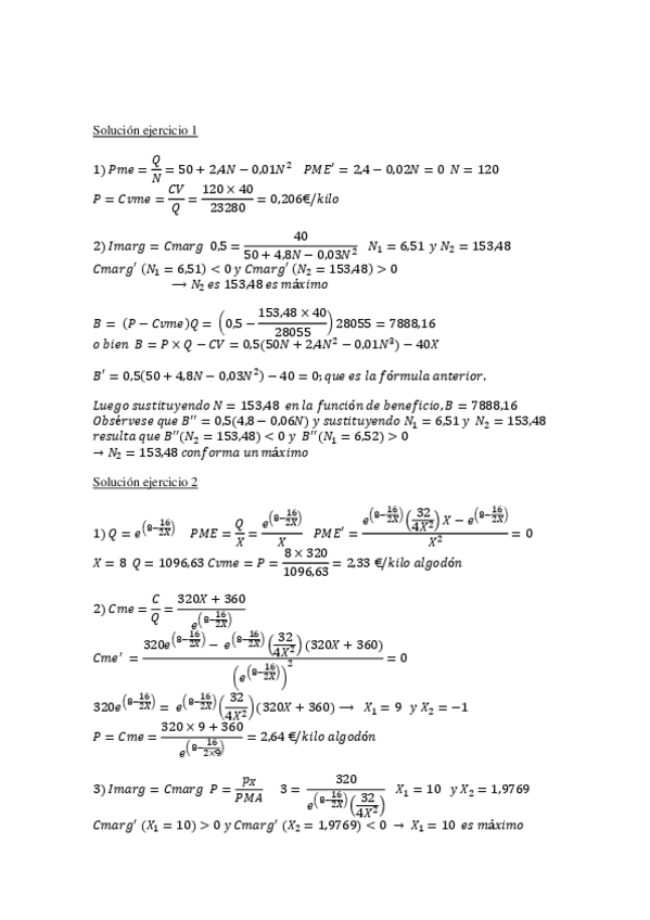
Ejercicios resuletos

He publicado nuevos ejercicios de 1º Organització i Gestió d'Empreses: Ejercicios resuletos

Control-18032024-Solucion.pdf
Solucion-Ejercicio-11032024.pdf
Solucion-Ejercicios-Bloque-2-2023-2024.pdf
Solucion-Ejercicios-Bloque-5.pdf
Solucion-Ejercicios-Bloque-1-2022-2023.pdf
Solucion-Ejercicios-Bloque-2-2022-2023.pdf
Anónimo

@Anónimo

He publicado nuevos examenes de 1º Organització i Gestió d'Empreses: Examenes-Parcial-2-Soluciones.pdf

64 páginas

He publicado nuevos examenes de 1º Organització i Gestió d'Empreses: PARCIAL-2-2024-TARDA.pdf

1 página

He publicado nuevos examenes de 1º Organització i Gestió d'Empreses: PARCIAL-2-2024-MATI.pdf

1 página

He publicado nuevos apuntes de 1º Organització i Gestió d'Empreses: OGE-2024-apuntes.pdf

83 páginas

He publicado nuevos examenes de 1º Organització i Gestió d'Empreses: Ej2-RESUELTO-parcial2-2023.pdf

1 página

He publicado nuevos apuntes de 1º Organització i Gestió d'Empreses: FORMULARIO-SEGUNDO-PARCIAL.pdf

3 páginas
Anónimo

@Anónimo

examenes

-

Parcial 2

He publicado nuevos examenes de 1º Organització i Gestió d'Empreses: Parcial 2

Parcial-2-2019.pdf
Parcial-2-2018.pdf
Parcial-2-2017.pdf
Parcial-2-2016.pdf

He publicado nuevos apuntes de 1º Organització i Gestió d'Empreses: Resum-Tema-3.pdf

5 páginas
Anónimo

@Anónimo

He publicado nuevos ejercicios de 1º Organització i Gestió d'Empreses: Bloc-5-Solucions-2023-2024.pdf

9 páginas

He publicado nuevos ejercicios de 1º Organització i Gestió d'Empreses: Bloque-5.-Informaticos-2023-24-ENUNCIADO-1.pdf

2 páginas
Anónimo

@Anónimo

He publicado nuevos ejercicios de 1º Organització i Gestió d'Empreses: Bloque-5-Solucionado-2023-2024.pdf

Miniatura no disponible
pdf
Anónimo

@Anónimo

He publicado nuevos ejercicios de 1º Organització i Gestió d'Empreses: bloc5-SOLUCIONS.pdf

9 páginas
Anónimo

@Anónimo

He publicado nuevos ejercicios de 1º Organització i Gestió d'Empreses: BLOQUE-4-20232024.pdf

2 páginas

He publicado nuevos ejercicios de 1º Organització i Gestió d'Empreses: Soluciones-Bloque-4-OGE.pdf

4 páginas
Anónimo

@Anónimo

He publicado nuevos test de 1º Organització i Gestió d'Empreses: Bloque-4-Solucionado.pdf

8 páginas
Anónimo

@Anónimo

He publicado nuevos ejercicios de 1º Organització i Gestió d'Empreses: BLOQUE3SOLUCIONES.pdf

9 páginas
Anónimo

@Anónimo

apuntes

-

Bloques/Parciales

Bloques hechos paso a paso

Bloque-1-2023-2024.pdf
Bloque-2-2023-2024.pdf
Parcial-1-2023-2024-41-47.pdf

He publicado nuevos examenes de 1º Organització i Gestió d'Empreses: Parcial-1-2023-2024.pdf

1 página

He publicado nuevos examenes de 1º Organització i Gestió d'Empreses: Parcial-1-OGE-2023-24.pdf

1 página

He publicado nuevos apuntes de 1º Organització i Gestió d'Empreses: Contenidos-1er-parcial-BLOQUE-2-242322--BLOQUE-3-2421--TEORIA-COMPLETA.pdf

38 páginas

He publicado nuevos examenes de 1º Organització i Gestió d'Empreses: Coleccion-ejercicios-1er-parcial.pdf

10 páginas

test

-

Recopilación de preguntas de teoría (t1)

He publicado nuevos test de 1º Organització i Gestió d'Empreses: Recopilación de preguntas de teoría (t1)

Recopilacion-de-preguntas-de-teoria-t1.pdf
Recopilacion-de-preguntas-de-teoria-sin-resolver-practicar-t1.pdf
Anónimo

@Anónimo

He publicado nuevos ejercicios de 1º Organització i Gestió d'Empreses: Ejercicios-Resueltos.-Bloque-1-2022-23.pdf

6 páginas
Anónimo

@Anónimo

He publicado nuevos ejercicios de 1º Organització i Gestió d'Empreses: Ejercicios-Resueltos-Bloque-3-2022-23.pdf

6 páginas
Anónimo

@Anónimo

He publicado nuevos ejercicios de 1º Organització i Gestió d'Empreses: Ejercicios-Resueltos-Bloque-4-2022-23.pdf

8 páginas
Anónimo

@Anónimo

He publicado nuevos ejercicios de 1º Organització i Gestió d'Empreses: Ejercicios-Resueltos-Bloque-5-2022-23.pdf

8 páginas
Anónimo

@Anónimo

He publicado nuevos ejercicios de 1º Organització i Gestió d'Empreses: Ejercicios-resueltos-Bloque-2-2022-23.pdf

4 páginas

He publicado nuevos apuntes de 1º Organització i Gestió d'Empreses: TEMA-1-Marco-conceptual-de-la-empresa.pdf

7 páginas

He publicado nuevos apuntes de 1º Organització i Gestió d'Empreses: NATURALESA-DE-LEMPRESA-I-FUNCIO-EMPRESARIAL.pdf

9 páginas

He publicado nuevos apuntes de 1º Organització i Gestió d'Empreses: INVERSIONS.pdf

12 páginas

He publicado nuevos apuntes de 1º Organització i Gestió d'Empreses: AREA-FUNCIONAL-DE-PRODUCCIO-ENFOCAMENT-CLASSIC-I-ENFOCAMENT-DE-GESTIO.pdf

11 páginas

He publicado nuevos apuntes de 1º Organització i Gestió d'Empreses: Concepto-de-empresa-y-clasificaciones-de-empresa.pdf

10 páginas

trabajos

-

OGE - Blocs Resolts (1-4)

He publicado nuevos trabajos de 1º Organització i Gestió d'Empreses: OGE - Blocs Resolts (1-4)

OGE-Bloc-2.pdf
OGE-Bloc-1.pdf
OGE-Bloc-3.pdf
OGE-Bloc-4.pdf

ejercicios

-

Bloques con respuestas

He publicado nuevos ejercicios de 1º Organització i Gestió d'Empreses: Bloques con respuestas

Bloque-1-OGE.pdf
Bloque-2-OGE.pdf
Bloque-3-OGE.pdf
Bloque-4-OGE.pdf
BLOQUE-5-OGE.pdf

ejercicios

-

Bloques con respuestas

He publicado nuevos ejercicios de 1º Organització i Gestió d'Empreses: Bloques con respuestas

Bloque-3-2021-22.pdf
bloque-4-2020-21.docx
Ejercicios-resueltos-Bloque-1-2020-21.pdf
Ejercicios-resueltos-Bloque-2-2020-21.pdf
Ejercicios-resueltos-Bloque-4-2020-21.pdf
Bloque-2.pdf

He publicado nuevos examenes de 1º Organització i Gestió d'Empreses: Parcial-2-2023.pdf

1 página

He publicado nuevos apuntes de 1º Organització i Gestió d'Empreses: Apunts-OGE.pdf

74 páginas