chevron_left
chevron_right
Todo
Apuntes
Ejercicios
Exámenes
Prácticas
Test
chevron_left
chevron_right

Resumen de los apuntes para el primer parcial de la asignatura

11 páginas

ejercicios

-

EXERCICIS RESOLTS ORG. INDUSTRIAL

He publicado nuevos ejercicios de 3º Organització Industrial: EXERCICIS RESOLTS ORG. INDUSTRIAL

EXERCICIS-T2-3-del-PPT-ORG.-INDUSTRIAL.pdf

apuntes

-

TEORIA D'ORGANITZACIÓ INDUSTRIAL

He publicado nuevos apuntes de 3º Organització Industrial: TEORIA D'ORGANITZACIÓ INDUSTRIAL

TEMA-1-DORGANITZACIO-INDUSTRIAL.pdf
TEMA-2.-MERCATS-COMPETITIUS.pdf
TEMA-3.-EL-MONOPOLI.pdf

He publicado nuevos test de 3º Organització Industrial: Tipo-test 1r parcial (T1,2a,4,5) soluciones.pdf.pdf

4 páginas
Anónimo

@Anónimo

He publicado nuevos examenes de 3º Organització Industrial: examen-1r-parcial.pdf

7 páginas
Anónimo

@Anónimo

He publicado nuevos examenes de 3º Organització Industrial: 1r-parcial-solucionado-oi.pdf

5 páginas

He publicado nuevos apuntes de 3º Organització Industrial: problema-8-llibertad-entrada-diferenciacio-i-oligopoli.pdf

2 páginas

Apuntes de clase para el primer parcial

28 páginas

practicas

-

Organización Industrial

He publicado nuevos practicas de 3º Organització Industrial: Organización Industrial

Problema 1. Organización Industrial.pdf
Problema 2. Organización Industrial.pdf
Problema 3. Organización Industrial.pdf
Problema 4. Organización Industrial.pdf
Problema 5. Organización Industrial.pdf
Problema 6. Organización Industrial.pdf

He publicado nuevos ejercicios de 3º Organització Industrial: Problema-6-Oligopoli-de-Bertrand.pdf

1 página

He publicado nuevos apuntes de 3º Organització Industrial: Organizacion-industrial.pdf

19 páginas

He publicado nuevos ejercicios de 3º Organització Industrial: 5-Oligopoli-de-Cournot.pdf

3 páginas

He publicado nuevos ejercicios de 3º Organització Industrial: Problema-2-Monopolio.pdf

2 páginas

He publicado nuevos ejercicios de 3º Organització Industrial: Problema-1-competencia.pdf

2 páginas
Anónimo

@Anónimo

He publicado nuevos apuntes de 3º Organització Industrial: TODAS-las-entregas-de-problemas.pdf

18 páginas
Anónimo

@Anónimo

He publicado nuevos apuntes de 3º Organització Industrial: Apuntes-organizacion-industrial-T1-T3.pdf

24 páginas
Anónimo

@Anónimo

He publicado nuevos apuntes de 3º Organització Industrial: Apuntes-organizacion-industrial-T4-T6.pdf

42 páginas
Anónimo

@Anónimo

He publicado nuevos apuntes de 3º Organització Industrial: Pack-teoria-y-practica-primer-parcial.pdf

34 páginas
Anónimo

@Anónimo

He publicado nuevos apuntes de 3º Organització Industrial: Pack-teoria-y-practica-parcial-2.pdf

32 páginas
Anónimo

@Anónimo

He publicado nuevos apuntes de 3º Organització Industrial: Pack-examenes-organizacion-industrial.pdf

17 páginas

He publicado nuevos apuntes de 3º Organització Industrial: Formulas-examen-final.pdf

1 página

inglés

55 páginas

inglés

1 página

ingles

22 páginas
Anónimo

@Anónimo

He publicado nuevos apuntes de 3º Organització Industrial: Bloc-problemes-2.pdf

15 páginas
Anónimo

@Anónimo

He publicado nuevos apuntes de 3º Organització Industrial: BLOQUE-DE-PROBLEMAS-1-OI.pdf

18 páginas
Anónimo

@Anónimo

He publicado nuevos ejercicios de 3º Organització Industrial: todos-los-ejercicios-del-curso.pdf

21 páginas

apuntes

-

APUNTS ORG IND TOTS TEMES

He publicado nuevos apuntes de 3º Organització Industrial: APUNTS ORG IND TOTS TEMES

T1-ORG-IND.pdf
T2-ORG-IND.pdf
T3-ORG-IND.pdf
T4-ORG-IND.pdf
T5-ORG-IND.pdf
T6-ORG-IND.pdf
Anónimo

@Anónimo

He publicado nuevos examenes de 3º Organització Industrial: TEST-EXAMEN-FINAL-JUNIO-2025.pdf

3 páginas
Anónimo

@Anónimo

He publicado nuevos examenes de 3º Organització Industrial: preguntas-teoricas-examen.pdf

6 páginas
Anónimo

@Anónimo

He publicado nuevos test de 3º Organització Industrial: Test-teoria.pdf

24 páginas
Anónimo

@Anónimo

He publicado nuevos apuntes de 3º Organització Industrial: Resumen-de-todos-los-temas.pdf

36 páginas
Anónimo

@Anónimo

He publicado nuevos apuntes de 3º Organització Industrial: Resumen-tema-6.pdf

3 páginas
Anónimo

@Anónimo

He publicado nuevos apuntes de 3º Organització Industrial: Resumen-tema-5.pdf

8 páginas
Anónimo

@Anónimo

He publicado nuevos apuntes de 3º Organització Industrial: Resumen Tema 4.pdf

5 páginas
Anónimo

@Anónimo

He publicado nuevos apuntes de 3º Organització Industrial: Temario-examen-final.pdf

1 página
Anónimo

@Anónimo

He publicado nuevos apuntes de 3º Organització Industrial: Resumen-Tema-2.pdf

7 páginas
Anónimo

@Anónimo

He publicado nuevos apuntes de 3º Organització Industrial: Resumen-Tema-3.pdf

5 páginas
Anónimo

@Anónimo

He publicado nuevos apuntes de 3º Organització Industrial: Resumen-Tema-1.pdf

8 páginas

He publicado nuevos apuntes de 3º Organització Industrial: TEMA-3.pdf

14 páginas

He publicado nuevos apuntes de 3º Organització Industrial: organitzacio-industrial-TOT-el-temari.pdf

11 páginas
Anónimo

@Anónimo

He publicado nuevos examenes de 3º Organització Industrial: problema-parcial-2025.pdf

1 página
Anónimo

@Anónimo

He publicado nuevos ejercicios de 3º Organització Industrial: PROBLEMA-4.pdf

3 páginas
Anónimo

@Anónimo

He publicado nuevos practicas de 3º Organització Industrial: practica-4-solucionada.pdf

3 páginas
Anónimo

@Anónimo

He publicado nuevos practicas de 3º Organització Industrial: Problema-3-solucionado.pdf

2 páginas
Anónimo

@Anónimo

He publicado nuevos ejercicios de 3º Organització Industrial: PROBLEMA-3.pdf

3 páginas

He publicado nuevos apuntes de 3º Organització Industrial: TEMA-6.pdf

11 páginas

apuntes

-

TODO TEMA 1,2,3 Y 4 (PRIMER PARCIAL)

Teoria, resumenes y TODOS los ejercicios resueltos

COMPETENCIA-PERFECTA-ejercicios--mini-resumen.pdf
MONOPOLIO-ejercicios--mini-resumen.pdf
DISCRIMINACION-DE-PRECIOS-ejercicios--mini-resumen.pdf
TEMARIO-PRIMER-PARCIAL-1-4.pdf
Anónimo

@Anónimo

He publicado nuevos apuntes de 3º Organització Industrial: Problema-9.pdf

4 páginas
Anónimo

@Anónimo

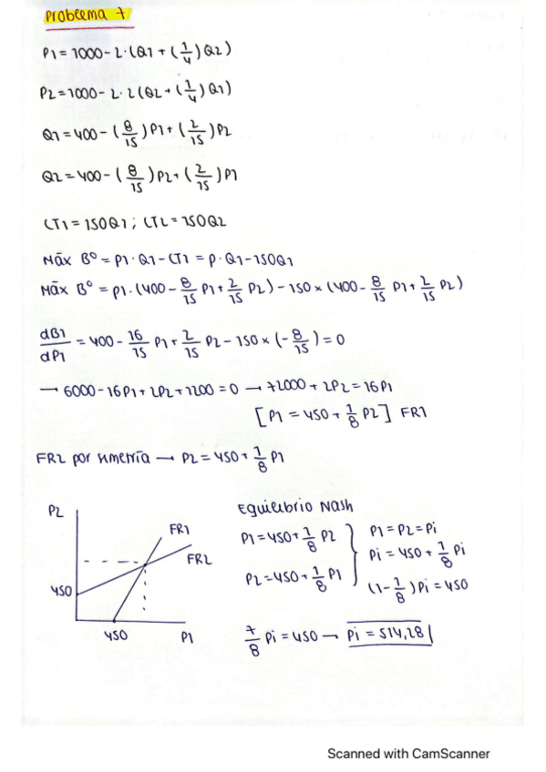
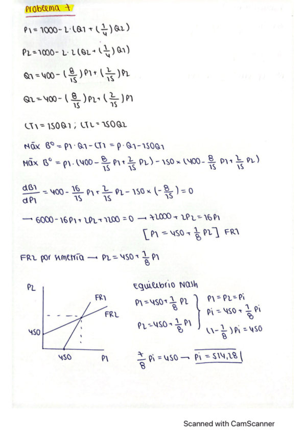
He publicado nuevos apuntes de 3º Organització Industrial: Problema-7.pdf

2 páginas
Anónimo

@Anónimo

He publicado nuevos apuntes de 3º Organització Industrial: Problema-6.pdf

2 páginas
Anónimo

@Anónimo

He publicado nuevos apuntes de 3º Organització Industrial: Problema-5.-Oligopolio-de-Cournot.pdf

4 páginas
Anónimo

@Anónimo

He publicado nuevos apuntes de 3º Organització Industrial: Problema-2.pdf

2 páginas
Anónimo

@Anónimo

He publicado nuevos apuntes de 3º Organització Industrial: Problema 1. Competència.pdf

2 páginas
Anónimo

@Anónimo

He publicado nuevos practicas de 3º Organització Industrial: problema-9-solucionado.pdf

4 páginas
Anónimo

@Anónimo

He publicado nuevos apuntes de 3º Organització Industrial: PROBLEMA-9-resolt.pdf

4 páginas
Anónimo

@Anónimo

He publicado nuevos apuntes de 3º Organització Industrial: solucion-problema-7.pdf

1 página
Anónimo

@Anónimo

He publicado nuevos practicas de 3º Organització Industrial: solucion-problema-6.pdf

3 páginas
Anónimo

@Anónimo

He publicado nuevos practicas de 3º Organització Industrial: solucion-problema-5.pdf

3 páginas
Anónimo

@Anónimo

He publicado nuevos practicas de 3º Organització Industrial: solucion-problema-2.pdf

2 páginas