Organización y Gestión de Empresas

chevron_left
chevron_right
Todo
Apuntes
Ejercicios
Exámenes
chevron_left
chevron_right

apuntes

-

Apuntes de clase

He publicado nuevos apuntes de 3º Organización y Gestión de Empresas: Apuntes de clase

Teoria-empresa.pdf
Ejercicios-empresa.pdf
Ejercicio-5-empresa.pdf

apuntes

-

APUNTES DE CLASE

He publicado nuevos apuntes de 3º Organización y Gestión de Empresas: APUNTES DE CLASE

APUNTES-DE-CLASE-7.pdf
APUNTES-DE-CLASE-8.pdf
APUNTES-DE-CLASE-9.pdf
APUNTES-DE-CLASE-10.pdf
APUNTES-DE-CLASE-11.pdf
APUNTES-DE-CLASE-1.pdf

He publicado nuevos apuntes de 3º Organización y Gestión de Empresas: RESUMEN-CONTABILIDAD.pdf

19 páginas

He publicado nuevos apuntes de 3º Organización y Gestión de Empresas: RESUMEN-CONTABILIDAD-DE-COSTES.pdf

7 páginas

He publicado nuevos apuntes de 3º Organización y Gestión de Empresas: RESUMEN-RATIOS.pdf

4 páginas

He publicado nuevos apuntes de 3º Organización y Gestión de Empresas: RESUMEN-INVERSIONES.pdf

6 páginas

He publicado nuevos apuntes de 3º Organización y Gestión de Empresas: RESUMEN-FINANCIACION.pdf

4 páginas

He publicado nuevos ejercicios de 3º Organización y Gestión de Empresas: Solucion-cuadernillo-1.pdf

5 páginas

He publicado nuevos ejercicios de 3º Organización y Gestión de Empresas: Ejercicios-variados.pdf

11 páginas

He publicado nuevos ejercicios de 3º Organización y Gestión de Empresas: Ejercicios-inversion.pdf

8 páginas

He publicado nuevos ejercicios de 3º Organización y Gestión de Empresas: Ejercicios-financiacion.pdf

16 páginas

He publicado nuevos apuntes de 3º Organización y Gestión de Empresas: Ejercicio-Ratios.pdf

11 páginas

He publicado nuevos apuntes de 3º Organización y Gestión de Empresas: Ejercicios-costes.pdf

4 páginas

He publicado nuevos apuntes de 3º Organización y Gestión de Empresas: Formulario-empresa.pdf

6 páginas

He publicado nuevos ejercicios de 3º Organización y Gestión de Empresas: Ejercicio-voluntario-1.pdf

2 páginas

ejercicios

-

Ejercicios resueltos métodos numéricos

Son literalmente todos los códigos que he hecho para aprobar SIN NI MIRAR Y COPIAR COSAS

Miniatura no disponible
Tema-1.zip
Miniatura no disponible
ej1.1.m.txt
Miniatura no disponible
Tema3.zip
Miniatura no disponible
Examen-Metodo-Numerico.zip
Miniatura no disponible
Tema-4.zip
Miniatura no disponible
ej1.2.txt

He publicado nuevos apuntes de 3º Organización y Gestión de Empresas: RATIOS-TEORIA-EJERCICIOSRESUELTOS-CLASE.pdf

8 páginas

He publicado nuevos apuntes de 3º Organización y Gestión de Empresas: FORMULARIO-RATIOS-COMPLETO.pdf

2 páginas

He publicado nuevos ejercicios de 3º Organización y Gestión de Empresas: PROBLEMA-RESUELTO-COMPLETO.pdf

4 páginas

He publicado nuevos apuntes de 3º Organización y Gestión de Empresas: CONTABILIDAD-COMPLETO-TEORIAEJEMPLOSRESUELTOS.pdf

15 páginas

He publicado nuevos ejercicios de 3º Organización y Gestión de Empresas: Problemas-de-contabilidad.pdf

1 página

He publicado nuevos apuntes de 3º Organización y Gestión de Empresas: Teoria-tercer-parcial.pdf

3 páginas

He publicado nuevos apuntes de 3º Organización y Gestión de Empresas: Bloque-3.pdf

16 páginas

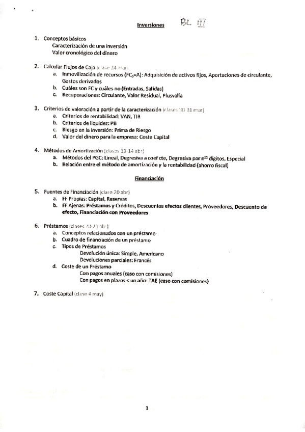
He publicado nuevos apuntes de 3º Organización y Gestión de Empresas: Inversiones.pdf

14 páginas

He publicado nuevos examenes de 3º Organización y Gestión de Empresas: Examen-bloque-2.pdf

1 página

He publicado nuevos apuntes de 3º Organización y Gestión de Empresas: Apuntes-bloque-dos.pdf

13 páginas

He publicado nuevos apuntes de 3º Organización y Gestión de Empresas: Amortizaciones.pdf

5 páginas

He publicado nuevos apuntes de 3º Organización y Gestión de Empresas: Problemas-bloque-2.pdf

6 páginas

He publicado nuevos ejercicios de 3º Organización y Gestión de Empresas: Financiacion.pdf

6 páginas

He publicado nuevos ejercicios de 3º Organización y Gestión de Empresas: Cuadernillos-bloque-1.pdf

8 páginas

He publicado nuevos apuntes de 3º Organización y Gestión de Empresas: Apuntes-clase-ejercicios-paso-a-paso-ejercicios-examenes.pdf

24 páginas

He publicado nuevos examenes de 3º Organización y Gestión de Empresas: OYGE-2do-PARCIAL-2023.pdf

1 página

He publicado nuevos examenes de 3º Organización y Gestión de Empresas: Segundo-parcial-empresa-solucion.pdf

2 páginas

He publicado nuevos apuntes de 3º Organización y Gestión de Empresas: 0Bloque-3Contabilidad-de-Costes.pdf

4 páginas

He publicado nuevos apuntes de 3º Organización y Gestión de Empresas: 0Bloque-2Inversiones-y-Financiacion.pdf

7 páginas

He publicado nuevos apuntes de 3º Organización y Gestión de Empresas: Todos-ejercicios-bloque-3.pdf

42 páginas

He publicado nuevos apuntes de 3º Organización y Gestión de Empresas: Resumen-clave-bloque-3.pdf

4 páginas

He publicado nuevos apuntes de 3º Organización y Gestión de Empresas: Resumen-bloque-2.pdf

11 páginas

He publicado nuevos apuntes de 3º Organización y Gestión de Empresas: Bloque-2-Parte-1-INVERSIONES.pdf

11 páginas

He publicado nuevos apuntes de 3º Organización y Gestión de Empresas: Ejercicios-bloque-2.pdf

17 páginas

He publicado nuevos apuntes de 3º Organización y Gestión de Empresas: Resumen-clave-primer-bloque.pdf

8 páginas

He publicado nuevos apuntes de 3º Organización y Gestión de Empresas: 10-Ratios.pdf

9 páginas

He publicado nuevos apuntes de 3º Organización y Gestión de Empresas: CUADERNILLO-2.pdf

10 páginas

He publicado nuevos apuntes de 3º Organización y Gestión de Empresas: CUADERNILLO-1.pdf

16 páginas

He publicado nuevos apuntes de 3º Organización y Gestión de Empresas: formulario-Bloque-2inversiones-y-financiacion.pdf

5 páginas

apuntes

-

ejercicios empresa

He publicado nuevos apuntes de 3º Organización y Gestión de Empresas: ejercicios empresa

ejercicios-contabilidad-general.pdf
ejercicios-contabilidad-de-costes.pdf
ejercicios-financiacion-1.pdf
ejercicios-financiacion-2.pdf
ejercicios-inversiones-1.pdf

apuntes

-

APUNTES EMPRESA

He publicado nuevos apuntes de 3º Organización y Gestión de Empresas: APUNTES EMPRESA

ratios-contables.pdf
Financiacion.pdf
Inversiones-1.pdf
inversiones-2.pdf
contabilidad-de-costes.pdf

He publicado nuevos examenes de 3º Organización y Gestión de Empresas: 1oCONV-2020.pdf

37 páginas

apuntes

-

ESENCIALES POR BLOQUES

He publicado nuevos apuntes de 3º Organización y Gestión de Empresas: ESENCIALES POR BLOQUES

BLOQUE1.pdf
BLOQUE3.pdf
BLOQUE2.pdf

He publicado nuevos apuntes de 3º Organización y Gestión de Empresas: CUADERNILLO-2-RESUELTO.pdf

17 páginas

He publicado nuevos examenes de 3º Organización y Gestión de Empresas: Examen-2020.pdf

14 páginas

ejercicios

-

Problemas resueltos de inversiones

He publicado nuevos ejercicios de 3º Organización y Gestión de Empresas: Problemas resueltos de inversiones

Problemas-resueltos-de-inversiones.pdf
inversiones-11.pdf
La-gacela.pdf
3.pdf
5.pdf
Problema-1.pdf

He publicado nuevos apuntes de 3º Organización y Gestión de Empresas: EXAMENJUNIOEMPRESAUNIDO.pdf

38 páginas

He publicado nuevos apuntes de 3º Organización y Gestión de Empresas: Formulario-Inversiones-Financiacion.pdf

8 páginas

He publicado nuevos apuntes de 3º Organización y Gestión de Empresas: Formulario-contabilidad.pdf

2 páginas
Anónimo

@Anónimo

examenes

-

EXAMEN 2k20

He publicado nuevos examenes de 3º Organización y Gestión de Empresas: EXAMEN 2k20

Pregunta-1.pdf
PREGUNTA-6-Grupo-E.pdf
PREGUNTA-3-Grupo-E.pdf
PREGUNTA-2-Grupo-E.pdf
PREGUNTA-4-Grupo-E.pdf
PREGUNTA-5-Grupo-E.pdf

He publicado nuevos apuntes de 3º Organización y Gestión de Empresas: 20200602-1919-Office-Lens.pdf

7 páginas

He publicado nuevos examenes de 3º Organización y Gestión de Empresas: EXAMEN-TIPO-1.pdf

13 páginas

ejercicios

-

PROBLEMAS INVERSIONES

He publicado nuevos ejercicios de 3º Organización y Gestión de Empresas: PROBLEMAS INVERSIONES

PROBLEMAS-INVERSIONES.pdf
BICICLETAS.pdf
PALIKA-S.pdf

ejercicios

-

PROBLEMAS PUNTO MUERTO

He publicado nuevos ejercicios de 3º Organización y Gestión de Empresas: PROBLEMAS PUNTO MUERTO

PUNTO-MUERTO.pdf
PROBLEMA-4-PTO-MUERTO.pdf