Planificación e innovación en educación infantil

Todo
Apuntes
Exámenes
Prácticas
publication
Trabajos
chevron_left
chevron_right
Anónimo

@Anónimo

Todo el temario de planificación e innovación resumido y con apuntes clave

59 páginas

He publicado nuevos apuntes de 2º Planificación e innovación en educación infantil: TEMA-4-PLANIFICACION-FUNDAMENTOS-Y-CULTURA-DE-LA-INNOVACION-EN-EDUCACION-INFANTIL.pdf

3 páginas

He publicado nuevos apuntes de 2º Planificación e innovación en educación infantil: TEMA-3-PLANIFICACION.pdf

19 páginas

He publicado nuevos apuntes de 2º Planificación e innovación en educación infantil: TEMA-2-PLANIFICACIÓN.pdf.pdf

7 páginas

He publicado nuevos apuntes de 2º Planificación e innovación en educación infantil: TEMA-3-PLANIFICACION-EVALUACION-DE-LA-ENSENANZA-Y-EL-APRENDIZAJE-EN-EDUCACION-INFANTIL.pdf

3 páginas

He publicado nuevos apuntes de 2º Planificación e innovación en educación infantil: TEMA-2-PLANIFICACION-PLANIFICACION-DE-LA-ENSENANZA-EN-EL-MARCO-CURRICULAR-DE-LA-EDUCACION-INFANTIL.pdf

6 páginas

He publicado nuevos apuntes de 2º Planificación e innovación en educación infantil: TEMA-1-PLANIFICACION-IDENTIDAD-Y-PEDAGOGIAS-PROPIAS-DE-LA-ED.pdf

6 páginas
Anónimo

@Anónimo

apuntes

-

Planificación

He publicado nuevos apuntes de 2º Planificación e innovación en educación infantil: Planificación

TEMA-1.-PLANIFICACION.pdf
TEMA-2.-PLANIFICACION.pdf
TEMA-2.1.-PLANIFICACION.pdf
TEMA-3.-PLANIFICACION.pdf
TEMA-4.-PLANIFICACION.pdf

He publicado nuevos apuntes de 2º Planificación e innovación en educación infantil: TEMA-2-PLANIFICACON.pdf

8 páginas

He publicado nuevos apuntes de 2º Planificación e innovación en educación infantil: Planificacion-tema-4.pdf

5 páginas

He publicado nuevos apuntes de 2º Planificación e innovación en educación infantil: Planificacion-tema-3.pdf

6 páginas

He publicado nuevos apuntes de 2º Planificación e innovación en educación infantil: Planificacion-tema-2.pdf

12 páginas

He publicado nuevos apuntes de 2º Planificación e innovación en educación infantil: Planificacion-tema-1.pdf

5 páginas

He publicado nuevos apuntes de 2º Planificación e innovación en educación infantil: Tema-4.-Neuroeducacion-y-Diseno-Universal-para-el-Aprendizaje.pdf

8 páginas

He publicado nuevos apuntes de 2º Planificación e innovación en educación infantil: Bloque-5.-Fundamentos-y-cultura-de-la-innovacion-educativa-en-Educacion-Infantil..pdf

4 páginas

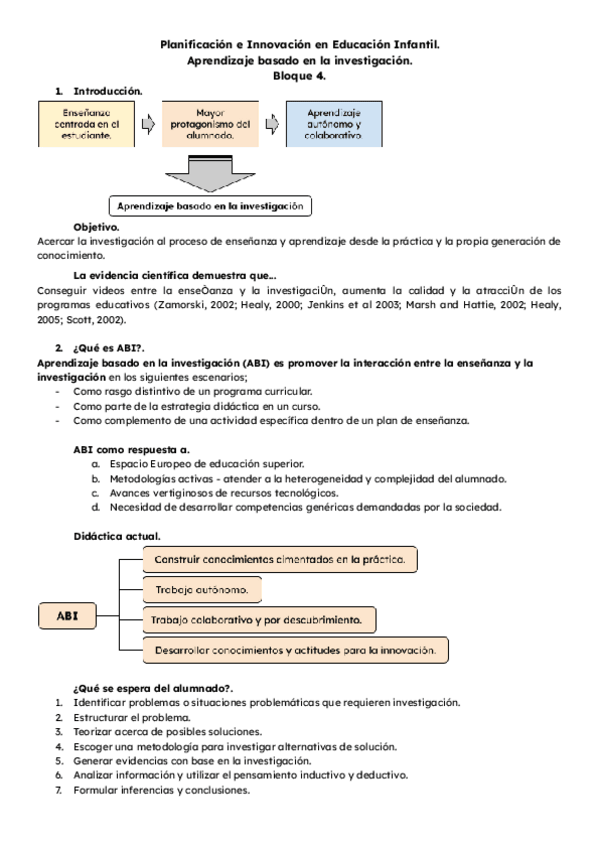
He publicado nuevos apuntes de 2º Planificación e innovación en educación infantil: Bloque-4.-Aprendizaje-basado-en-la-investigacion..pdf

3 páginas

He publicado nuevos apuntes de 2º Planificación e innovación en educación infantil: Bloque-3.-La-evaluacion-en-Educacion-Infantil..pdf

4 páginas

He publicado nuevos apuntes de 2º Planificación e innovación en educación infantil: Bloque-2.-Planificacion-de-la-ensenanza-en-el-marco-curricular-de-la-Educacion-Infantil..pdf

8 páginas

He publicado nuevos apuntes de 2º Planificación e innovación en educación infantil: Bloque-1.-Identidad-y-Pedagogia-propias-de-la-etapa-de-Educacion-Infantil..pdf

10 páginas

He publicado nuevos apuntes de 2º Planificación e innovación en educación infantil: Tema-5.-Aprendizaje-basado-en-la-Investigacion-en-el-Aula.pdf

5 páginas

He publicado nuevos apuntes de 2º Planificación e innovación en educación infantil: Tema-3.-La-Evaluacion-en-Educacion-Infantil.pdf

8 páginas

He publicado nuevos apuntes de 2º Planificación e innovación en educación infantil: Tema-2.-Planificacion-de-la-ensenanza-en-el-marco-curricular-de-la-Educacion-Infantil.pdf

9 páginas
Anónimo

@Anónimo

He publicado nuevos apuntes de 2º Planificación e innovación en educación infantil: tema-5-ABI.pdf

4 páginas
Anónimo

@Anónimo

He publicado nuevos apuntes de 2º Planificación e innovación en educación infantil: tema-4-planificacion.pdf

4 páginas
Anónimo

@Anónimo

He publicado nuevos apuntes de 2º Planificación e innovación en educación infantil: TEMA-2.pdf

7 páginas
Anónimo

@Anónimo

He publicado nuevos apuntes de 2º Planificación e innovación en educación infantil: tema-1.pdf

4 páginas

He publicado nuevos examenes de 2º Planificación e innovación en educación infantil: EXAMEN-PLANIFICACION-VERDADERO-Y-FALSO-para-repasar.pdf

7 páginas
Anónimo

@Anónimo

He publicado nuevos apuntes de 2º Planificación e innovación en educación infantil: Planificacion-temas-desarrollo.pdf

33 páginas
Anónimo

@Anónimo

He publicado nuevos examenes de 2º Planificación e innovación en educación infantil: Posible-examen-de-planificacion-para-repasar.pdf

14 páginas

He publicado nuevos apuntes de 2º Planificación e innovación en educación infantil: TEMA-DUA.-PLANIFICACION.pdf

2 páginas

He publicado nuevos apuntes de 2º Planificación e innovación en educación infantil: TEMA-3.-PLANIFICACION.pdf

4 páginas

He publicado nuevos apuntes de 2º Planificación e innovación en educación infantil: Planificacion-tema-2.pdf

9 páginas

He publicado nuevos apuntes de 2º Planificación e innovación en educación infantil: TEMA 4 PLANIFICACIÓN.pdf

2 páginas

apuntes

-

Planificación e innovación en educación infantil

He publicado nuevos apuntes de 2º Planificación e innovación en educación infantil: Planificación e innovación en educación infantil

Tema1-Planificacion.pdf
Tema-2-Planificacion.pdf
TEMA-3-PLANIFICACION.pdf
Tema-4-Planificacion.pdf
Tema-5-planificacion.pdf

He publicado nuevos apuntes de 2º Planificación e innovación en educación infantil: TEMA-2.-PLANIFICACION.pdf

7 páginas

He publicado nuevos apuntes de 2º Planificación e innovación en educación infantil: TEMA-1.-PLANIFICACION.pdf

5 páginas
Anónimo

@Anónimo

He publicado nuevos apuntes de 2º Planificación e innovación en educación infantil: tema-1-plani.pdf

4 páginas
Anónimo

@Anónimo

He publicado nuevos apuntes de 2º Planificación e innovación en educación infantil: apuntes-tema-2-plani.pdf

6 páginas

He publicado nuevos apuntes de 2º Planificación e innovación en educación infantil: Tema-5planificacion-1.pdf

5 páginas

He publicado nuevos apuntes de 2º Planificación e innovación en educación infantil: Tema-4-planificacion-1.pdf

6 páginas
Anónimo

@Anónimo

apuntes

-

TODOS LOS TEMAS

He publicado nuevos apuntes de 2º Planificación e innovación en educación infantil: TODOS LOS TEMAS

TEMA-1-PLANIFICACION.pdf
TEMA-2-PLANIFICACION.pdf
TEMA-3-PLANIFICACION.pdf
TEMA-4-PLANIFICACION.pdf

He publicado nuevos apuntes de 2º Planificación e innovación en educación infantil: TEMA-2-planificacion.pdf

9 páginas

He publicado nuevos apuntes de 2º Planificación e innovación en educación infantil: TEMA-1-Planificacion.pdf

7 páginas

He publicado nuevos apuntes de 2º Planificación e innovación en educación infantil: TEMA-4-planificacion.pdf

2 páginas

He publicado nuevos apuntes de 2º Planificación e innovación en educación infantil: TEMA-3-planificacion.pdf

4 páginas

He publicado nuevos trabajos de 2º Planificación e innovación en educación infantil: TEMA-3.-TAREA-Evaluacion.pdf

7 páginas

He publicado nuevos trabajos de 2º Planificación e innovación en educación infantil: TEMA-2.-TAREA-SITUACIONAPRENDIZAJE.pdf

8 páginas

He publicado nuevos apuntes de 2º Planificación e innovación en educación infantil: Tema-2-planificacion.pdf

5 páginas

He publicado nuevos apuntes de 2º Planificación e innovación en educación infantil: TEMA-1-PLANIFICACION-E-INNOVACION-EN-EI.pdf

10 páginas

He publicado nuevos apuntes de 2º Planificación e innovación en educación infantil: Tema-2-planificacion-2.pdf

15 páginas

He publicado nuevos apuntes de 2º Planificación e innovación en educación infantil: TEMA-DUA.pdf

2 páginas

He publicado nuevos apuntes de 2º Planificación e innovación en educación infantil: TEMA-5.-ABI.pdf

24 páginas

He publicado nuevos apuntes de 2º Planificación e innovación en educación infantil: TEMA-4..pdf

3 páginas

He publicado nuevos apuntes de 2º Planificación e innovación en educación infantil: TEMA-3..pdf

6 páginas

He publicado nuevos apuntes de 2º Planificación e innovación en educación infantil: TEMA-2..pdf

7 páginas

He publicado nuevos apuntes de 2º Planificación e innovación en educación infantil: TEMA-1..pdf

4 páginas

apuntes

-

Planificación e Innovación en Educación Infantil

He publicado nuevos apuntes de 2º Planificación e innovación en educación infantil: Planificación e Innovación en Educación Infantil

TEMA-1.pdf
TEMA-2.pdf
TEMA-3.pdf
TEMA-4.pdf
TEMA-5.pdf

He publicado nuevos apuntes de 2º Planificación e innovación en educación infantil: ABI.pdf

3 páginas

He publicado nuevos apuntes de 2º Planificación e innovación en educación infantil: PAUTAS-DUA-ESQUEMAS.pdf

2 páginas

He publicado nuevos apuntes de 2º Planificación e innovación en educación infantil: TEMA-4-ESQUEMA.pdf

4 páginas