chevron_left
chevron_right
Todo
Apuntes
chevron_left
chevron_right
Anónimo

@Anónimo

He publicado nuevos apuntes de 4º Planificación y Gestión Financiera de la Empresa: TP-PLANIFICACION.pdf

8 páginas

apuntes

-

Planif. Fin. de la Empresa (con ejerc)

He publicado nuevos apuntes de 4º Planificación y Gestión Financiera de la Empresa: Planif. Fin. de la Empresa (con ejerc)

Tema-1-Gestion-credito-y-de-los-inventarios-parte-II.pdf
Solucion-ejercicio-4-cuenta-de-credito.pdf
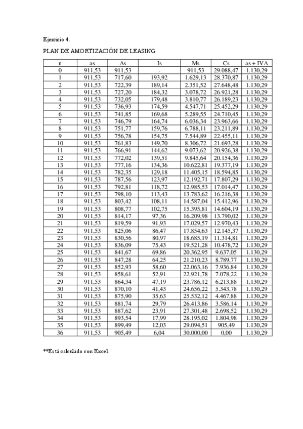
Solucion-ejemplo-de-leasing.pdf
Tema-1-Gestion-credito-y-de-los-inventarios-parte-III.pdf
Tema-3-Productos-derivados.pdf
Plan-leasing-ejercicio-4-1.pdf
¡Estás al día!

¡Estás al día!

Has visto todos los archivos