chevron_left
chevron_right
Todo
Apuntes
Ejercicios
Prácticas
chevron_left
chevron_right

Todo el curso. Teoría, problemas y examenes resueltos

21 páginas

He publicado nuevos practicas de 3º Posicionamiento, Guiado y Control: PracticaFiltrado.pdf

12 páginas

He publicado nuevos apuntes de 3º Posicionamiento, Guiado y Control: Ecuacions-Filtros.pdf

3 páginas

He publicado nuevos apuntes de 3º Posicionamiento, Guiado y Control: PROBLEMAS_PGC_PEI_2.pdf

7 páginas

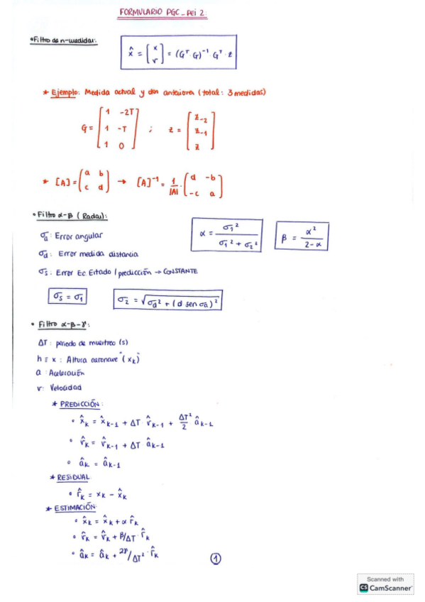
He publicado nuevos apuntes de 3º Posicionamiento, Guiado y Control: FORMULARIO_PGC_PEI_2.pdf

2 páginas

apuntes

-

Recopilación_Problemas_PGC_PEI_1

He publicado nuevos apuntes de 3º Posicionamiento, Guiado y Control: Recopilación_Problemas_PGC_PEI_1

Problemas_Tema_1.pdf
Problemas-PEI-1.pdf

He publicado nuevos ejercicios de 3º Posicionamiento, Guiado y Control: Problemas-Tema-4.pdf

7 páginas

He publicado nuevos ejercicios de 3º Posicionamiento, Guiado y Control: Problemas-Tema-3.pdf

4 páginas

He publicado nuevos ejercicios de 3º Posicionamiento, Guiado y Control: Problemas-Tema-2.pdf

2 páginas

He publicado nuevos ejercicios de 3º Posicionamiento, Guiado y Control: Problemas-Tema-1.pdf

5 páginas

apuntes

-

ROCKETSHIT

He publicado nuevos apuntes de 3º Posicionamiento, Guiado y Control: ROCKETSHIT

2016-17-parcial-1-problemas-resolucion.pdf
2016-17-parcial-1-test-enunciado-y-solucion.pdf
2019-20-parcial-1-enunciado.pdf
2019-20-parcial-1-problemas-solucion.pdf
2019-20-parcial-1-test-solucion.pdf
teoria-parcial-1.pdf

apuntes

-

Apuntes

He publicado nuevos apuntes de 3º Posicionamiento, Guiado y Control: Apuntes

Tema1.pdf
Tema2.pdf
Tema3.pdf

He publicado nuevos apuntes de 3º Posicionamiento, Guiado y Control: Resumen.pdf

34 páginas

He publicado nuevos apuntes de 3º Posicionamiento, Guiado y Control: Explicacion-VOR.pdf

7 páginas

He publicado nuevos apuntes de 3º Posicionamiento, Guiado y Control: PGC.pdf

50 páginas

ejercicios

-

Ejercicios Parcial 1

He publicado nuevos ejercicios de 3º Posicionamiento, Guiado y Control: Ejercicios Parcial 1

Problemas-Doppler.pdf
Problemas-Tema-1.pdf

He publicado nuevos practicas de 3º Posicionamiento, Guiado y Control: Practica-VOR-DME.pdf

8 páginas

He publicado nuevos practicas de 3º Posicionamiento, Guiado y Control: Practica-PGC-Curva-del-Perro.pdf

5 páginas

He publicado nuevos apuntes de 3º Posicionamiento, Guiado y Control: P2 PGC.pdf

11 páginas

Resumen de teoría con el contenido que entra en el Parcial 1 (2018-2019)

11 páginas

He publicado nuevos ejercicios de 3º Posicionamiento, Guiado y Control: Práctica1_PGC 16-17.pdf

13 páginas
¡Estás al día!

¡Estás al día!

Has visto todos los archivos