chevron_left
chevron_right
Todo
Apuntes
Exámenes
chevron_left
chevron_right

apuntes

-

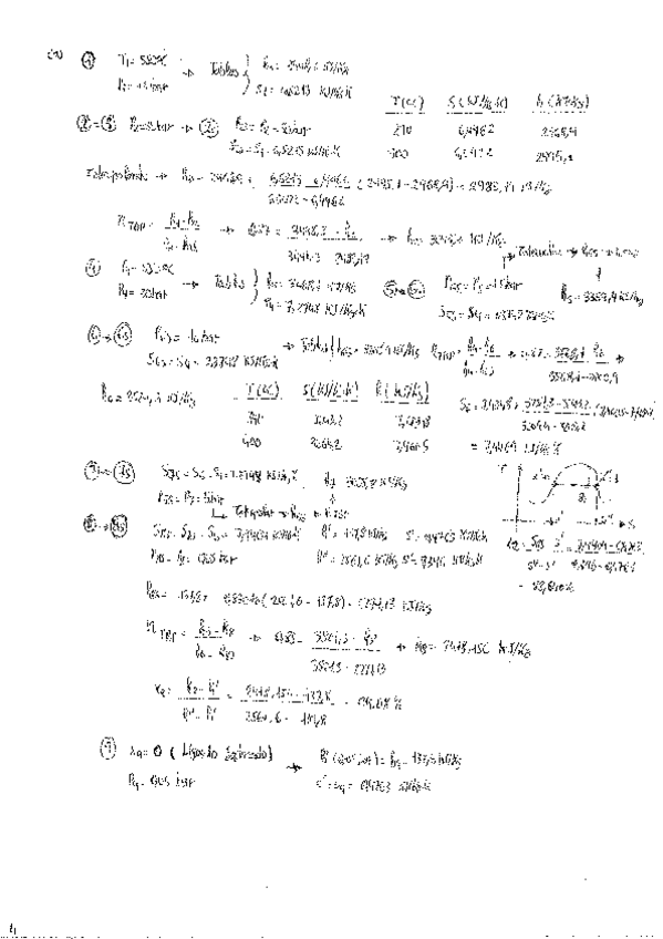
tema 2

He publicado nuevos apuntes de 4º Prácticas de Empresa Ii: tema 2

PRACTICAS-DE-EMPRESA-II-Tema2-10.pdf
PRACTICAS-DE-EMPRESA-II-Tema2-7.pdf
PRACTICAS-DE-EMPRESA-II-Tema2-5.pdf
PRACTICAS-DE-EMPRESA-II-Tema2-6.pdf
PRACTICAS-DE-EMPRESA-II-Tema2-8.pdf
PRACTICAS-DE-EMPRESA-II-Tema2-9.pdf

apuntes

-

tema 1

He publicado nuevos apuntes de 4º Prácticas de Empresa Ii: tema 1

PRACTICAS-DE-EMPRESA-II-Tema1-6.pdf
PRACTICAS-DE-EMPRESA-II-Tema1-1.pdf
PRACTICAS-DE-EMPRESA-II-Tema1-5.pdf
PRACTICAS-DE-EMPRESA-II-Tema1-9.pdf
PRACTICAS-DE-EMPRESA-II-Tema1-4.pdf
PRACTICAS-DE-EMPRESA-II-Tema1-7.pdf
Anónimo

@Anónimo

examenes

-

examenes empresas ii

He publicado nuevos examenes de 4º Prácticas de Empresa Ii: examenes empresas ii

practicas-de-empresaii-7.pdf
practicas-de-empresaii-3.pdf
practicas-de-empresaii-5.pdf
practicas-de-empresaii-4.pdf
practicas-de-empresaii-6.pdf
practicas-de-empresaii-10.pdf
¡Estás al día!

¡Estás al día!

Has visto todos los archivos