Todo
Apuntes
Exámenes
publication
Trabajos
chevron_left
chevron_right

Regalo apuntes + exámenes

Hola! Tengo un montón de apuntes y exámenes impresos que ya no necesito porque aprobé Pragmática el año pasado. Si alguien los quiere, se los envío por Vinted o Wallapop. No los vendo, los regalo, solo habría que poner un precio simbólico para venderlo por la aplicación, tipo 1 euro. Me da mucha pena tirarlos porque están muy bien y creo que puede ser muy útiles para otra persona.

apuntes

-

APUNTES TEMA 1-5

He publicado nuevos apuntes de 3º Pragmática de la Lengua Inglesa: APUNTES TEMA 1-5

CHAPTER-5.pdf
CHAPTER-1.pdf
CHAPTER-2.pdf
CHAPTER-3.pdf
CHAPTER-4.pdf

Puede parecer abrumador tanta información en una hoja, pero lo utilicé para tener una visión general de TODO lo que podía salir + lo que significaba cada concepto

1 página

He publicado nuevos apuntes de 3º Pragmática de la Lengua Inglesa: SuperPragmatablas.pdf

17 páginas
Anónimo

@Anónimo

He publicado nuevos apuntes de 3º Pragmática de la Lengua Inglesa: UNIT-3-PDFs.pdf

23 páginas

TODAS LAS PREGUNTAS DE TEORÍA DE LOS EXÁMENES

15 páginas
Anónimo

@Anónimo

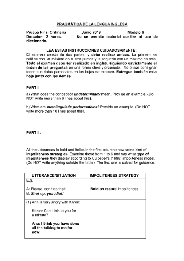
He publicado nuevos examenes de 3º Pragmática de la Lengua Inglesa: E640230620B22J2.pdf

2 páginas
Anónimo

@Anónimo

He publicado nuevos examenes de 3º Pragmática de la Lengua Inglesa: E640230620B23J2.pdf

2 páginas
Anónimo

@Anónimo

He publicado nuevos examenes de 3º Pragmática de la Lengua Inglesa: E640230620B19J2.pdf

2 páginas
Anónimo

@Anónimo

He publicado nuevos examenes de 3º Pragmática de la Lengua Inglesa: E640230620B18J2.pdf

2 páginas
Anónimo

@Anónimo

He publicado nuevos examenes de 3º Pragmática de la Lengua Inglesa: E640230620A23J1.pdf

2 páginas
Anónimo

@Anónimo

He publicado nuevos examenes de 3º Pragmática de la Lengua Inglesa: E640230620B17SR.pdf

2 páginas
Anónimo

@Anónimo

He publicado nuevos examenes de 3º Pragmática de la Lengua Inglesa: E640230620A22SO.pdf

2 páginas
Anónimo

@Anónimo

He publicado nuevos examenes de 3º Pragmática de la Lengua Inglesa: E640230620A22J1.pdf

2 páginas
Anónimo

@Anónimo

He publicado nuevos examenes de 3º Pragmática de la Lengua Inglesa: E640230620A19J1.pdf

2 páginas
Anónimo

@Anónimo

He publicado nuevos examenes de 3º Pragmática de la Lengua Inglesa: E640230620A19SO.pdf

2 páginas
Anónimo

@Anónimo

He publicado nuevos examenes de 3º Pragmática de la Lengua Inglesa: E640230620A18SO.pdf

2 páginas
Anónimo

@Anónimo

He publicado nuevos examenes de 3º Pragmática de la Lengua Inglesa: E640230620A18J1.pdf

2 páginas
Anónimo

@Anónimo

He publicado nuevos examenes de 3º Pragmática de la Lengua Inglesa: E640230620A17SO.pdf

2 páginas
Anónimo

@Anónimo

He publicado nuevos examenes de 3º Pragmática de la Lengua Inglesa: E640230620-17J2.pdf

2 páginas
Anónimo

@Anónimo

He publicado nuevos examenes de 3º Pragmática de la Lengua Inglesa: E640230620-17J1.pdf

2 páginas
Anónimo

@Anónimo

He publicado nuevos apuntes de 3º Pragmática de la Lengua Inglesa: 0.-ExamenesPragmatica.pdf

25 páginas
Anónimo

@Anónimo

He publicado nuevos apuntes de 3º Pragmática de la Lengua Inglesa: Preguntas-resueltas-hasta-el-ano-2018.pdf

16 páginas
Anónimo

@Anónimo

He publicado nuevos apuntes de 3º Pragmática de la Lengua Inglesa: PragmaticaU3.pdf

40 páginas
Anónimo

@Anónimo

He publicado nuevos apuntes de 3º Pragmática de la Lengua Inglesa: PragmaticaU5.pdf

23 páginas
Anónimo

@Anónimo

He publicado nuevos apuntes de 3º Pragmática de la Lengua Inglesa: PragmaticaU4.pdf

36 páginas
Anónimo

@Anónimo

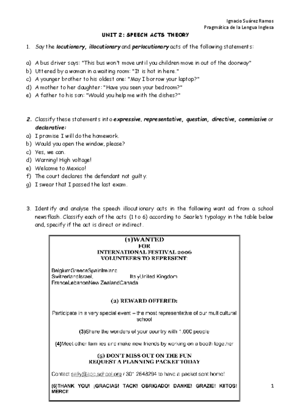
He publicado nuevos apuntes de 3º Pragmática de la Lengua Inglesa: PragmaticaU2.pdf

27 páginas
Anónimo

@Anónimo

He publicado nuevos apuntes de 3º Pragmática de la Lengua Inglesa: EXAMENES-ANTERIORES-RESUELTOS-.pdf-1.pdf

10 páginas

Esquemas parte práctica del examen de PRAGMÁTICA.

5 páginas

He publicado nuevos apuntes de 3º Pragmática de la Lengua Inglesa: UNIT-1-summary.pdf

8 páginas

He publicado nuevos apuntes de 3º Pragmática de la Lengua Inglesa: UNIT-2-summary.pdf

14 páginas

He publicado nuevos apuntes de 3º Pragmática de la Lengua Inglesa: UNIT-1.pdf

54 páginas

He publicado nuevos apuntes de 3º Pragmática de la Lengua Inglesa: Pragmatica-Tablasteoria.pdf

27 páginas

He publicado nuevos apuntes de 3º Pragmática de la Lengua Inglesa: Esquemas-Pragmatica.pdf

4 páginas

apuntes

-

Apuntes PRAGMATICA

He publicado nuevos apuntes de 3º Pragmática de la Lengua Inglesa: Apuntes PRAGMATICA

Unit-1.pdf
Unit-2.pdf
Unit-3.pdf
Unit-4.pdf
Unit-5.pdf

apuntes

-

Vocabulary

He publicado nuevos apuntes de 3º Pragmática de la Lengua Inglesa: Vocabulary

Vocabulary-Unit-1.pdf
Vocabulary-Unit-2.pdf
Vocabulary-Unit-3.pdf
Vocabulary-Unit-4.pdf

He publicado nuevos apuntes de 3º Pragmática de la Lengua Inglesa: Apuntes-Pragmatica-de-la-Lengua-Inglesa.pdf

4 páginas

apuntes

-

Pragmática de la Lengua Inglesa

He publicado nuevos apuntes de 3º Pragmática de la Lengua Inglesa: Pragmática de la Lengua Inglesa

CHAPTER-1-PRAGMATICS-DEFINITION-AND-SCOPE.pdf

He publicado nuevos apuntes de 3º Pragmática de la Lengua Inglesa: Pragmatica-Planning.pdf

4 páginas

He publicado nuevos apuntes de 3º Pragmática de la Lengua Inglesa: Preguntas-teoricas-examenes-anteriores-resueltas.pdf

8 páginas

apuntes

-

Pragmática resúmenes

He publicado nuevos apuntes de 3º Pragmática de la Lengua Inglesa: Pragmática resúmenes

Resumen-Unit-3.odt
Resumen-Unit-4.odt
Resumen-Unit-2.docx
Resumen-Unit-5.odt
Resumen-Unit-1.odt

He publicado nuevos examenes de 3º Pragmática de la Lengua Inglesa: EXAMEN-PRAG-SEPTIEMBRE-2021.pdf

2 páginas

apuntes

-

TODO LO NECESARIO PARA EXAMEN

He publicado nuevos apuntes de 3º Pragmática de la Lengua Inglesa: TODO LO NECESARIO PARA EXAMEN

ALL-CHAPTERS-SUMMARY-AND-QUIZLETS.pdf
SUMMARY-EXAM.pdf
SOLVED-EXERCISES-AND-EXAMS.pdf
PART-II-EXAMS.pdf

apuntes

-

TODO TEORÍA Y EJERCICIOS

He publicado nuevos apuntes de 3º Pragmática de la Lengua Inglesa: TODO TEORÍA Y EJERCICIOS

UNIT-1-PRAG.pdf
PRAG-QUIZLET-UNIT-3.pdf
PRAG-QUIZLET-UNITS-4-5.pdf
UNIT-3-PRAG.pdf
PRAG-QUIZLET-UNITS-1-2.pdf
UNIT-4-PRAG.pdf

examenes

-

EXÁMENES RESUELTOS

He publicado nuevos examenes de 3º Pragmática de la Lengua Inglesa: EXÁMENES RESUELTOS

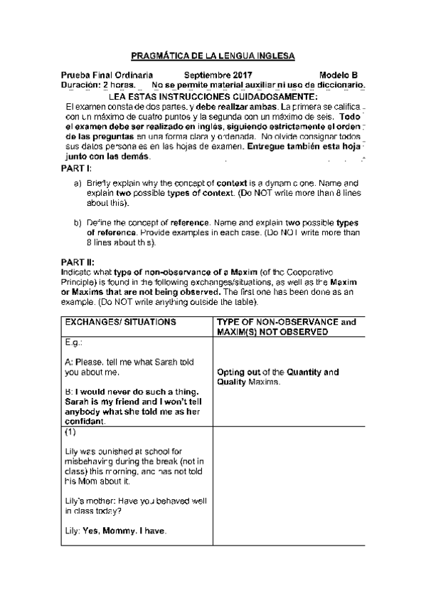
PRAGSEPT2017AKEY.pdf
MOCKEXAMWITHANSWERS.pdf
PRAGSEPT2017BKEY.pdf
57069960-Pragmatics.pdf

trabajos

-

PEC 1 2020 RESUELTA

He publicado nuevos trabajos de 3º Pragmática de la Lengua Inglesa: PEC 1 2020 RESUELTA

PEC1-Pragmatica-2020-with-answers.pdf
PEC-1-Pragmatica2020.pdf

apuntes

-

Pragmática

He publicado nuevos apuntes de 3º Pragmática de la Lengua Inglesa: Pragmática

mis-apuntes-tema-4-de-pragmatica.pdf
mis-apuntes-tema-2-de-pragmatica.pdf
mis-apuntes-tema-1-pragmatica.pdf
mis-apuntes-tema-5-pragmatica.pdf
mis-apuntes-tema-3-de-pragmatica.pdf
Anónimo

@Anónimo

He publicado nuevos examenes de 3º Pragmática de la Lengua Inglesa: 57069960-Pragmatics.pdf

4 páginas

apuntes

-

APUNTES MARÍA 2020/2021

He publicado nuevos apuntes de 3º Pragmática de la Lengua Inglesa: APUNTES MARÍA 2020/2021

TEMA-1-MARIA.pdf
APUNTES-TEMA-2.pdf
TEMA-3-MARIA.pdf
RESUMEN-TEMAS-1-5.pdf

He publicado nuevos apuntes de 3º Pragmática de la Lengua Inglesa: PRAGMATICA-COMPLETA-.pdf

96 páginas

apuntes

-

Pragmática COMPLETA

He publicado nuevos apuntes de 3º Pragmática de la Lengua Inglesa: Pragmática COMPLETA

T1-Respuestas-actividades.pdf
T2-Glosario.pdf
T3-Respuestas-actividades.pdf
T4-Glosario.pdf
T5-Respuestas-actividades.pdf
T2-Respuestas-actividades.pdf
Anónimo

@Anónimo

He publicado nuevos apuntes de 3º Pragmática de la Lengua Inglesa: UNIT-5-Exercises.pdf

7 páginas
Anónimo

@Anónimo

He publicado nuevos apuntes de 3º Pragmática de la Lengua Inglesa: UNIT-5.pdf

49 páginas
Anónimo

@Anónimo

He publicado nuevos apuntes de 3º Pragmática de la Lengua Inglesa: UNIT-4-Exercises.pdf

7 páginas
Anónimo

@Anónimo

He publicado nuevos apuntes de 3º Pragmática de la Lengua Inglesa: UNIT-4.pdf

60 páginas
Anónimo

@Anónimo

apuntes

-

Unit 3 exercises

He publicado nuevos apuntes de 3º Pragmática de la Lengua Inglesa: Unit 3 exercises

UNIT-3-Exercises.pdf
UNIT-3-Exercises-2nd-part.pdf
Anónimo

@Anónimo

He publicado nuevos apuntes de 3º Pragmática de la Lengua Inglesa: UNIT-3-2nd-part-Inference.pdf

73 páginas
Anónimo

@Anónimo

He publicado nuevos apuntes de 3º Pragmática de la Lengua Inglesa: UNIT-3-part-1.pdf

28 páginas
Anónimo

@Anónimo

He publicado nuevos apuntes de 3º Pragmática de la Lengua Inglesa: UNIT-2-Exercises-2nd-part.pdf

1 página
Anónimo

@Anónimo

He publicado nuevos apuntes de 3º Pragmática de la Lengua Inglesa: UNIT-2.-Exercises.pdf

4 páginas