Todo
Apuntes
Otros
Prácticas
chevron_left
chevron_right

He publicado nuevos otros de 1º Primer Idioma: Competència i ús 1: meosita2-b1-grammar.bw.pdf

2 páginas
Anónimo

@Anónimo

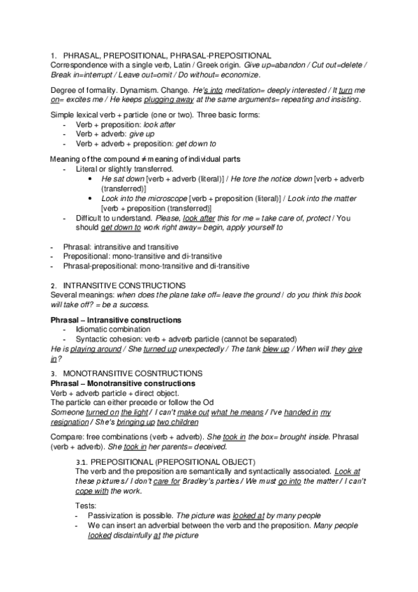
He publicado nuevos apuntes de 1º Primer Idioma: Competència i ús 1: Multi-word-Verbs.pdf

3 páginas
Anónimo

@Anónimo

He publicado nuevos apuntes de 1º Primer Idioma: Competència i ús 1: Motion-verbs-and-verbs-with-resultative-complements.pdf

2 páginas
Anónimo

@Anónimo

He publicado nuevos apuntes de 1º Primer Idioma: Competència i ús 1: Morphology.pdf

2 páginas
Anónimo

@Anónimo

He publicado nuevos apuntes de 1º Primer Idioma: Competència i ús 1: Morphology-2.pdf

1 página
Anónimo

@Anónimo

He publicado nuevos apuntes de 1º Primer Idioma: Competència i ús 1: Morpheme-Morph.pdf

1 página
Anónimo

@Anónimo

He publicado nuevos apuntes de 1º Primer Idioma: Competència i ús 1: Monotransitive.pdf

2 páginas
Anónimo

@Anónimo

He publicado nuevos apuntes de 1º Primer Idioma: Competència i ús 1: Copular-Intransitive.pdf

3 páginas
Anónimo

@Anónimo

He publicado nuevos apuntes de 1º Primer Idioma: Competència i ús 1: Constituents-Tests-Ambiguities-Parts-of-Speech.pdf

2 páginas
Anónimo

@Anónimo

He publicado nuevos apuntes de 1º Primer Idioma: Competència i ús 1: formal-letterAnonim.pdf

1 página
Anónimo

@Anónimo

He publicado nuevos practicas de 1º Primer Idioma: Competència i ús 1: CU1Reading-project-2122.pdf

3 páginas
¡Estás al día!

¡Estás al día!

Has visto todos los archivos