Principios Básicos de Química
He publicado nuevos apuntes de 1º Principios Básicos de Química: Tema 7. Fuerzas-intermoleculares.pdf
He publicado nuevos apuntes de 1º Principios Básicos de Química: Tema 5. Enlace-Quimico-II.pdf
He publicado nuevos apuntes de 1º Principios Básicos de Química: Tema-4.-Enlace-Quimico.pdf
He publicado nuevos apuntes de 1º Principios Básicos de Química: Tema-3.-Tabla-Periodica.pdf
He publicado nuevos apuntes de 1º Principios Básicos de Química: Tema-2.-Los-electrones-en-los-atomos.pdf
He publicado nuevos apuntes de 1º Principios Básicos de Química: Tema-1.-Quimica-Nuclear.pdf
He publicado nuevos practicas de 1º Principios Básicos de Química: cuadernillo-practicas-pbq.pdf
He publicado nuevos practicas de 1º Principios Básicos de Química: Practicas-PBQ.pdf
Examen parcial 30 octubre 2025 1 Farmacia del grupo C Profesor: Sara Rojas Macías PBQ
He publicado nuevos apuntes de 1º Principios Básicos de Química: Enlace-ionico.pdf
He publicado nuevos apuntes de 1º Principios Básicos de Química: Apuntes-PBQ-teoria.pdf
apuntes
-
EJERCICIOS RESUELTOS EXAMEN
Ejercicios Resueltos Examen Academia Universitaria Formación Manuel Pozo
INICIO DE CURSO PRINCIPIOS BÁSICOS DE QUÍMICA ACADEMIA UNIVERSITARIA FORMACIÓN MANUEL POZO Clases modalidad online y presencial. Todas tus CLASES GRABADAS PARA QUE PUEDAS VISUALIZARLAS HASTA EL DÍA DEL EXAMEN Resolución de todos tus ejercicios y exámenes de convocatorias anteriores. Profesores especialidados y temario propio. Acceso a PLATAFORMA VIRTUAL CON CONTENIDO EXCLUSIVO ¡Solicita tu clase de prueba en grupo sin compromiso!

apuntes
-
Apuntes pbq
He publicado nuevos apuntes de 1º Principios Básicos de Química: Apuntes pbq
He publicado nuevos apuntes de 1º Principios Básicos de Química: BLOQUE-VIII-FUERZAS-INTERMOLECULARES-Y-ENLACE-METALICO.pdf
He publicado nuevos apuntes de 1º Principios Básicos de Química: BLOQUE-VI-ENLACE-COVALENTE.pdf
He publicado nuevos apuntes de 1º Principios Básicos de Química: BLOQUE-VII-ENLACE-IONICO.pdf
He publicado nuevos apuntes de 1º Principios Básicos de Química: BLOQUE-V-CLASIFICACION-PERIODICA-DE-LOS-ELEMENTOS.pdf
He publicado nuevos apuntes de 1º Principios Básicos de Química: BLOQUE-IV-EL-ATOMO.pdf
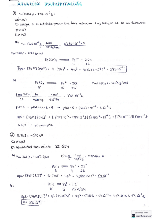
He publicado nuevos apuntes de 1º Principios Básicos de Química: BLOQUE-III-PRECIPITACION.pdf
He publicado nuevos apuntes de 1º Principios Básicos de Química: BLOQUE-II-REDOX.pdf
He publicado nuevos apuntes de 1º Principios Básicos de Química: BLOQUE-I-ACIDO-BASE.pdf
apuntes
-
TEMARIO Y EJERCICIOS PBQ
Apuntes de clase+ejercicios mandados por el profesor
apuntes
-
Temario completo PBQ
He publicado nuevos apuntes de 1º Principios Básicos de Química: Temario completo PBQ
He publicado nuevos ejercicios de 1º Principios Básicos de Química: relaciones-con-anotaciones-teoricas.pdf
apuntes
-
Teoría completa pbq
He publicado nuevos apuntes de 1º Principios Básicos de Química: Teoría completa pbq
He publicado nuevos practicas de 1º Principios Básicos de Química: Cuadernillo prácticas PBQ.pdf
He publicado nuevos apuntes de 1º Principios Básicos de Química: TEMA-1-PBQ.pdf
He publicado nuevos apuntes de 1º Principios Básicos de Química: TEMA-3-PBQ.pdf
He publicado nuevos apuntes de 1º Principios Básicos de Química: TEMA-2-PBQ.pdf
He publicado nuevos apuntes de 1º Principios Básicos de Química: TEMA-5-PBQ.pdf
He publicado nuevos apuntes de 1º Principios Básicos de Química: TEMA-4-PBQ.pdf
He publicado nuevos apuntes de 1º Principios Básicos de Química: TEMA-6-PBQ.pdf
He publicado nuevos apuntes de 1º Principios Básicos de Química: TEMA-8-PBQ.pdf
He publicado nuevos apuntes de 1º Principios Básicos de Química: TEMA-7-PBQ.pdf
apuntes
-
temario pbq
He publicado nuevos apuntes de 1º Principios Básicos de Química: temario pbq
He publicado nuevos ejercicios de 1º Principios Básicos de Química: EJERCICIOS-TIPO.pdf
He publicado nuevos apuntes de 1º Principios Básicos de Química: temario-PBQ-completo.pdf
ejercicios
-
Problemas PBQ
He publicado nuevos ejercicios de 1º Principios Básicos de Química: Problemas PBQ
He publicado nuevos ejercicios de 1º Principios Básicos de Química: Ejercicios REDOX tema 9 PBQ (1/3).pdf
He publicado nuevos ejercicios de 1º Principios Básicos de Química: Ejercicios REDOX tema 9 PBQ (3/3).pdf
He publicado nuevos ejercicios de 1º Principios Básicos de Química: Ejercicios REDOX tema 9 PBQ (2/3).pdf
He publicado nuevos ejercicios de 1º Principios Básicos de Química: Ejercicios ÁCIDO-BASE tema 8 PBQ (5/6).pdf
He publicado nuevos ejercicios de 1º Principios Básicos de Química: Ejercicios ÁCIDO-BASE tema 8 PBQ (3/6).pdf
He publicado nuevos ejercicios de 1º Principios Básicos de Química: Ejercicios ÁCIDO-BASE tema 8 PBQ (4/6).pdf
He publicado nuevos ejercicios de 1º Principios Básicos de Química: Ejercicios ÁCIDO-BASE tema 8 PBQ (2/6).pdf
He publicado nuevos ejercicios de 1º Principios Básicos de Química: Ejercicios ÁCIDO-BASE tema 8 PBQ (1/6).pdf
He publicado nuevos ejercicios de 1º Principios Básicos de Química: Ejercicios ÁCIDO-BASE tema 8 PBQ (6/6).pdf
He publicado nuevos ejercicios de 1º Principios Básicos de Química: Ejercicios tema 3 PBQ.pdf
He publicado nuevos ejercicios de 1º Principios Básicos de Química: Ejercicios PRECIPITACIÓN tema 10 PBQ.pdf