Principios Instrumentales y Metodológicos en Biología de Organismos y Sistemas i

Todo
Apuntes
Ejercicios
Exámenes
Prácticas
Trabajos
chevron_left
chevron_right

He publicado nuevos practicas de 1º Principios Instrumentales y Metodológicos en Biología de Organismos y Sistemas i: Practica-4-Briofitos-y-Pterodofitos.pdf

7 páginas

He publicado nuevos ejercicios de 1º Principios Instrumentales y Metodológicos en Biología de Organismos y Sistemas i: Actividades-climatologia-21-22.pdf

3 páginas

He publicado nuevos apuntes de 1º Principios Instrumentales y Metodológicos en Biología de Organismos y Sistemas i: Cartografía + problemas.pdf

1 página

Práctica 13: El concepto de comunidad. Estudio ecológico de las comunidades en un ecosistema.

2 páginas

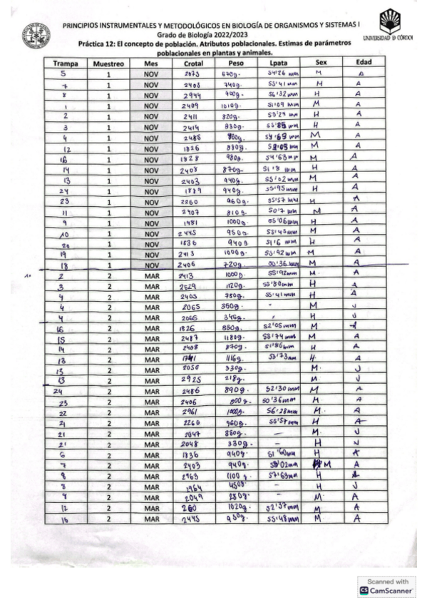
Práctica 12: El concepto de población. Atributos poblacionales. Estimas de parámetros poblacionales en plantas y animales.

2 páginas

He publicado nuevos trabajos de 1º Principios Instrumentales y Metodológicos en Biología de Organismos y Sistemas i: CUESTIONARIO-1-PIM-SIS.pdf

1 página

He publicado nuevos trabajos de 1º Principios Instrumentales y Metodológicos en Biología de Organismos y Sistemas i: CLIMATOLOGIA.pdf

1 página

He publicado nuevos practicas de 1º Principios Instrumentales y Metodológicos en Biología de Organismos y Sistemas i: Cuestionario Sesión 1 de Prácticas.pdf

1 página

He publicado nuevos ejercicios de 1º Principios Instrumentales y Metodológicos en Biología de Organismos y Sistemas i: Supuesto práctico Climatología.pdf

2 páginas

lol

1 página

He publicado nuevos trabajos de 1º Principios Instrumentales y Metodológicos en Biología de Organismos y Sistemas i: Ruta GPS por Córdoba Nota 10.pdf

1 página

He publicado nuevos practicas de 1º Principios Instrumentales y Metodológicos en Biología de Organismos y Sistemas i: Memoria de Edafología Nota 10.pdf

8 páginas

He publicado nuevos apuntes de 1º Principios Instrumentales y Metodológicos en Biología de Organismos y Sistemas i: MEMORIA-NECROPSIA-PRACTICA-3-PIM-1.pdf

3 páginas

He publicado nuevos trabajos de 1º Principios Instrumentales y Metodológicos en Biología de Organismos y Sistemas i: Estima-de-Abundancia-de-una-poblacion.pdf

6 páginas

He publicado nuevos practicas de 1º Principios Instrumentales y Metodológicos en Biología de Organismos y Sistemas i: Ecologia.pdf

4 páginas

He publicado nuevos trabajos de 1º Principios Instrumentales y Metodológicos en Biología de Organismos y Sistemas i: Memoria-Edafologia-NOTA-10.pdf

8 páginas

He publicado nuevos trabajos de 1º Principios Instrumentales y Metodológicos en Biología de Organismos y Sistemas i: Ejercicio-climatologia-Nota-10.pdf

3 páginas

He publicado nuevos apuntes de 1º Principios Instrumentales y Metodológicos en Biología de Organismos y Sistemas i: APUNTES-PIM-SIS-I-Completos..pdf

20 páginas

He publicado nuevos trabajos de 1º Principios Instrumentales y Metodológicos en Biología de Organismos y Sistemas i: climatologia-trabajo.pdf

7 páginas

He publicado nuevos practicas de 1º Principios Instrumentales y Metodológicos en Biología de Organismos y Sistemas i: fisiologia-vegetal.pdf

1 página

He publicado nuevos practicas de 1º Principios Instrumentales y Metodológicos en Biología de Organismos y Sistemas i: Opinion-y-supuesto-practico.pdf

2 páginas

He publicado nuevos apuntes de 1º Principios Instrumentales y Metodológicos en Biología de Organismos y Sistemas i: Tema-13-El-concepto-de-comunidad.-Estudio-ecologico-de-las-comunidades-en-un-ecosistema..pdf

4 páginas

He publicado nuevos apuntes de 1º Principios Instrumentales y Metodológicos en Biología de Organismos y Sistemas i: Tema-78-9-10.-Edafologia.pdf

13 páginas

He publicado nuevos apuntes de 1º Principios Instrumentales y Metodológicos en Biología de Organismos y Sistemas i: Tema-6-Meteorologia.pdf

3 páginas

He publicado nuevos apuntes de 1º Principios Instrumentales y Metodológicos en Biología de Organismos y Sistemas i: Tema-5-Climatologia.pdf

4 páginas

He publicado nuevos apuntes de 1º Principios Instrumentales y Metodológicos en Biología de Organismos y Sistemas i: Tema-4-Fotografia-aerea-y-ortofotografia.-Cartografia-digital.-SIG.-El-GPS-su-fundamento-y-principales-aplicaciones..pdf

3 páginas

apuntes

-

Trabajos PIMSIS

He publicado nuevos apuntes de 1º Principios Instrumentales y Metodológicos en Biología de Organismos y Sistemas i: Trabajos PIMSIS

climatologia.pdf
Pruebaevaluacion.pdf

He publicado nuevos apuntes de 1º Principios Instrumentales y Metodológicos en Biología de Organismos y Sistemas i: Conceptopoblacion.pdf

1 página
Anónimo

@Anónimo

He publicado nuevos apuntes de 1º Principios Instrumentales y Metodológicos en Biología de Organismos y Sistemas i: climatologia-copia.docx

word

He publicado nuevos trabajos de 1º Principios Instrumentales y Metodológicos en Biología de Organismos y Sistemas i: EJERCICIOS-PRACTICAS-CLIMATOLOGIA.pdf

3 páginas

He publicado nuevos trabajos de 1º Principios Instrumentales y Metodológicos en Biología de Organismos y Sistemas i: CUESTIONARIO-BLOQUE-1.pdf

1 página

He publicado nuevos apuntes de 1º Principios Instrumentales y Metodológicos en Biología de Organismos y Sistemas i: BLOQUE-5.pdf

8 páginas

He publicado nuevos apuntes de 1º Principios Instrumentales y Metodológicos en Biología de Organismos y Sistemas i: BLOQUE-4.pdf

13 páginas

He publicado nuevos apuntes de 1º Principios Instrumentales y Metodológicos en Biología de Organismos y Sistemas i: BLOQUE-3.pdf

7 páginas

He publicado nuevos apuntes de 1º Principios Instrumentales y Metodológicos en Biología de Organismos y Sistemas i: BLOQUE-2.pdf

9 páginas

He publicado nuevos apuntes de 1º Principios Instrumentales y Metodológicos en Biología de Organismos y Sistemas i: BLOQUE-1.pdf

5 páginas

He publicado nuevos apuntes de 1º Principios Instrumentales y Metodológicos en Biología de Organismos y Sistemas i: PIM-SIS-I.pdf

42 páginas
Anónimo

@Anónimo

sin ChatGPT ;)

4 páginas

He publicado nuevos apuntes de 1º Principios Instrumentales y Metodológicos en Biología de Organismos y Sistemas i: Apuntes-PIM-SIS-2023.pdf

45 páginas

He publicado nuevos apuntes de 1º Principios Instrumentales y Metodológicos en Biología de Organismos y Sistemas i: PIM-SIS-Apuntes-Tema-13-Ecologia.pdf

2 páginas

He publicado nuevos apuntes de 1º Principios Instrumentales y Metodológicos en Biología de Organismos y Sistemas i: PIM-SIS-Apuntes-Tema-12-Ecologia.pdf

5 páginas

He publicado nuevos apuntes de 1º Principios Instrumentales y Metodológicos en Biología de Organismos y Sistemas i: PIM-SIS-Tema-11-Ecologia.pdf

4 páginas

He publicado nuevos apuntes de 1º Principios Instrumentales y Metodológicos en Biología de Organismos y Sistemas i: PIM-SIS-Apuntes-Edafologia.pdf

16 páginas

He publicado nuevos apuntes de 1º Principios Instrumentales y Metodológicos en Biología de Organismos y Sistemas i: PIM-SIS-TEMA-5-CLIMATOLOGIA.pdf

6 páginas

He publicado nuevos apuntes de 1º Principios Instrumentales y Metodológicos en Biología de Organismos y Sistemas i: PIM-SIS-Bloque-2-Cartografia-Tema-3.pdf

5 páginas

He publicado nuevos apuntes de 1º Principios Instrumentales y Metodológicos en Biología de Organismos y Sistemas i: PIM-SIS-Bloque-2-Cartografía: Botanica.pdf

4 páginas

He publicado nuevos apuntes de 1º Principios Instrumentales y Metodológicos en Biología de Organismos y Sistemas i: PIM-SIS-I-BLOQUE-1-Fisiologia-Vegetal-2.pdf

8 páginas

TEMA 12

3 páginas

TEMA 11

3 páginas

TEMA 3

3 páginas

TEMA 2

2 páginas

TEMA 1

4 páginas

apuntes

-

PIM SIS I

He publicado nuevos apuntes de 1º Principios Instrumentales y Metodológicos en Biología de Organismos y Sistemas i: PIM SIS I

BLOQUE-I.pdf
BLOQUE-II.pdf
linea-temporal-mapas.pdf

He publicado nuevos apuntes de 1º Principios Instrumentales y Metodológicos en Biología de Organismos y Sistemas i: Tema-1-bloque-1-fisiologia-vegetal.pdf

4 páginas

He publicado nuevos ejercicios de 1º Principios Instrumentales y Metodológicos en Biología de Organismos y Sistemas i: Ejercicios-Climatologia.pdf

6 páginas

He publicado nuevos trabajos de 1º Principios Instrumentales y Metodológicos en Biología de Organismos y Sistemas i: RUTRA-GPS...pdf

6 páginas

apuntes

-

Presentaciones Temas

He publicado nuevos apuntes de 1º Principios Instrumentales y Metodológicos en Biología de Organismos y Sistemas i: Presentaciones Temas

Tema-1.pdf
Tema-2.pdf
Tema-3.pdf
Tema-4.pdf
Tema-5.pdf
Tema-6.pdf

He publicado nuevos apuntes de 1º Principios Instrumentales y Metodológicos en Biología de Organismos y Sistemas i: Practicas-climatologia.pdf

4 páginas

He publicado nuevos apuntes de 1º Principios Instrumentales y Metodológicos en Biología de Organismos y Sistemas i: ejercicios-cartografia-y-climatologia.pdf

7 páginas

apuntes

-

TRABAJOS PIM SIS I

He publicado nuevos apuntes de 1º Principios Instrumentales y Metodológicos en Biología de Organismos y Sistemas i: TRABAJOS PIM SIS I

Ruta-GPS-Cartografia.pdf