chevron_left
chevron_right
Todo
Apuntes
Ejercicios
Exámenes
Prácticas
Test
Trabajos
chevron_left
chevron_right

ejercicios

-

Ejercicios y apuntes de cada tema

He publicado nuevos ejercicios de 1º Probabilidad: Ejercicios y apuntes de cada tema

Probabilidad-Tema-1.pdf
Probabilidad-tema-2.pdf
Probabilidad-Tema-3.2.pdf
Probabilidad-tema-3.pdf
Probabilidad-tema-4-teoria.pdf
Probabilidad-tema3-ejercicios.pdf

examenes

-

Examenes pruebas continuas

He publicado nuevos examenes de 1º Probabilidad: Examenes pruebas continuas

PRUEBA1.pdf
PRUEBA2.pdf
PRUEBA3.pdf
PRUEBA4.pdf

ejercicios

-

Ejercicios practica PL

He publicado nuevos ejercicios de 1º Probabilidad: Ejercicios practica PL

Miniatura no disponible
Eeerciciosexamen2022.R
Miniatura no disponible
Ejercicios-Practicar.R
Miniatura no disponible
Ejercicios-tipo-examen.R
Miniatura no disponible
Instalarpaquetes.R
Miniatura no disponible
problemafigura.R
Miniatura no disponible
problemahuevospokemon.R

ejercicios

-

PLs - ejercicios tipo examen

He publicado nuevos ejercicios de 1º Probabilidad: PLs - ejercicios tipo examen

Miniatura no disponible
Practica2.R
Miniatura no disponible
Practica3.R
Miniatura no disponible
practica4.R
Miniatura no disponible
practica5.R
Miniatura no disponible
Practica6.R
Miniatura no disponible
Teoria-ejercicios.R

examenes

-

Exámenes finales y soluciones.

He publicado nuevos examenes de 1º Probabilidad: Exámenes finales y soluciones.

ExamenFinalEnero2023.pdf
ExamenFinalJulio2022.pdf
ExamenFinalJunio2022.pdf
ExamenFinalMayo2023.pdf
SolucionExamenJunio2022.pdf
SolucionesExamenJulio2022.pdf

ejercicios

-

Tema 3 Distribuciones de Probabilidad ejercicios

He publicado nuevos ejercicios de 1º Probabilidad: Tema 3 Distribuciones de Probabilidad ejercicios

Probabilidad-Ejerccicios-1-y-2-Tema-3.pdf
Probabilidad-Ejercicio-3-Tema-3.pdf
Probabilidad-Ejercicio-5-Tema-3.pdf
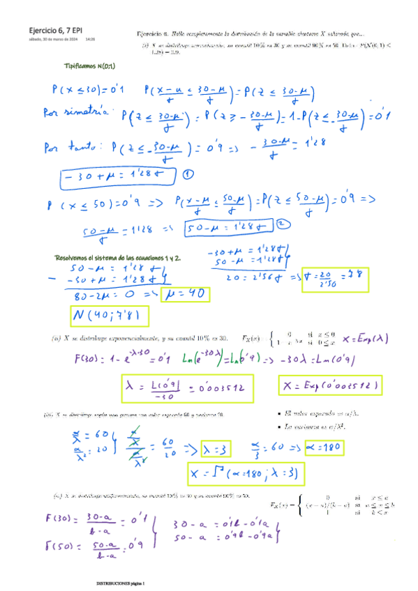
Probabilidad-Ejercicios-6-7-Tema-3.pdf
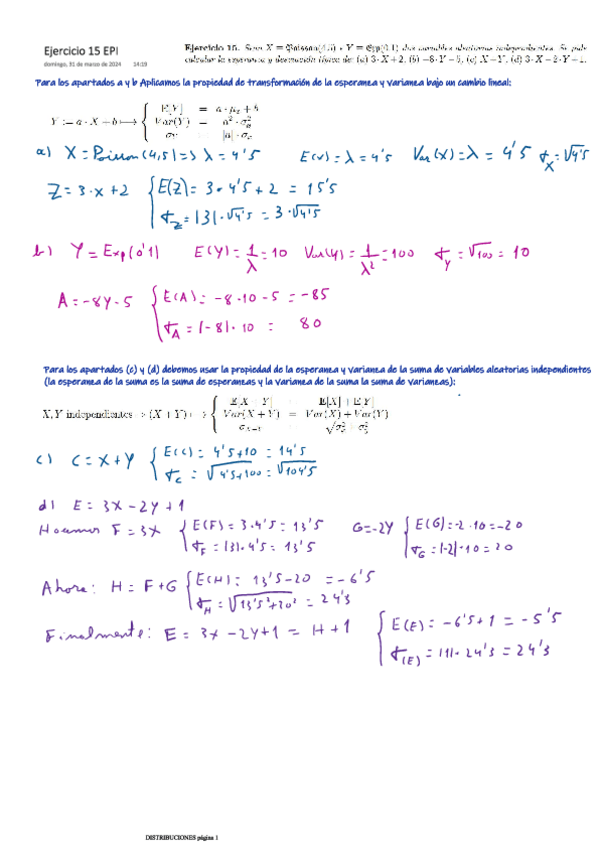
Probabilidad-Ejercicio-15-Tema-3.pdf
Anónimo

@Anónimo

test

-

Cuestionarios Resueltos

He publicado nuevos test de 1º Probabilidad: Cuestionarios Resueltos

Cuestionario-Tema-1.pdf
Cuestionario-Tema-2.pdf
Cuestionario-Tema-4.pdf
Cuestionario-Tema-3.pdf

apuntes

-

Apuntes de clase

He publicado nuevos apuntes de 1º Probabilidad: Apuntes de clase

Apuntes-Tema-3.pdf
Apuntes-Tema-4.pdf
Apuntes-Tema-2.pdf
Apuntes-Tema-1.pdf

He publicado nuevos practicas de 1º Probabilidad: InstruccionesR.pdf

5 páginas

He publicado nuevos trabajos de 1º Probabilidad: Independencia-Condicionada.pdf

4 páginas

He publicado nuevos apuntes de 1º Probabilidad: Formulario.pdf

29 páginas
¡Estás al día!

¡Estás al día!

Has visto todos los archivos