Probabilitat i Modelització Estocàstica

chevron_left
chevron_right
Todo
Exámenes
chevron_left
chevron_right

examenes

-

1r Parcial 2017

He publicado nuevos examenes de 3º Probabilitat i Modelització Estocàstica: 1r Parcial 2017

parcial1probab.pdf
parcial1probab.pdf

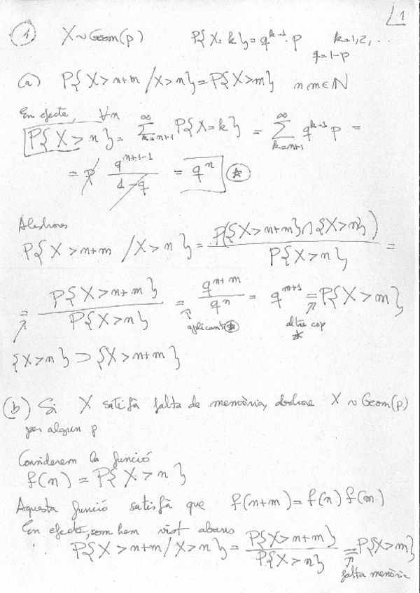
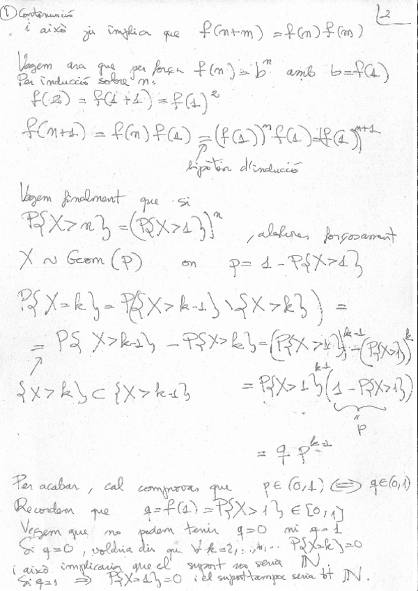
He publicado nuevos examenes de 3º Probabilitat i Modelització Estocàstica: solucionsParc1.pdf

5 páginas
¡Estás al día!

¡Estás al día!

Has visto todos los archivos