Procesos de fabricación y dibujo industrial

chevron_left
chevron_right
Todo
Apuntes
Ejercicios
Exámenes
Otros
Prácticas
Test
Trabajos
chevron_left
chevron_right

trabajos

-

Trabajo dibujo

He publicado nuevos trabajos de 2º Procesos de fabricación y dibujo industrial: Trabajo dibujo

LISTA-DE-ELEMENTOS.pdf
plano-conjunto.pdf

He publicado nuevos ejercicios de 2º Procesos de fabricación y dibujo industrial: PROBLEMAS-RESUELTOS-PROCESOS.pdf

8 páginas

Faltan tolerancias NO dimensionales

10 páginas

He publicado nuevos apuntes de 2º Procesos de fabricación y dibujo industrial: FORMULARIO-EXAMEN-PROCESOS.pdf

4 páginas

He publicado nuevos apuntes de 2º Procesos de fabricación y dibujo industrial: Apuntes-Clase-Procesos.pdf

14 páginas

trabajos

-

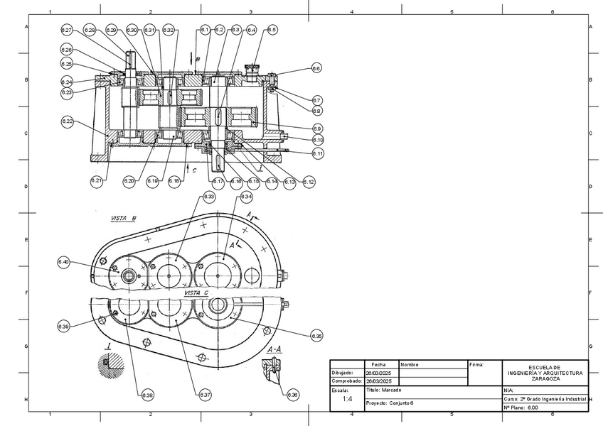
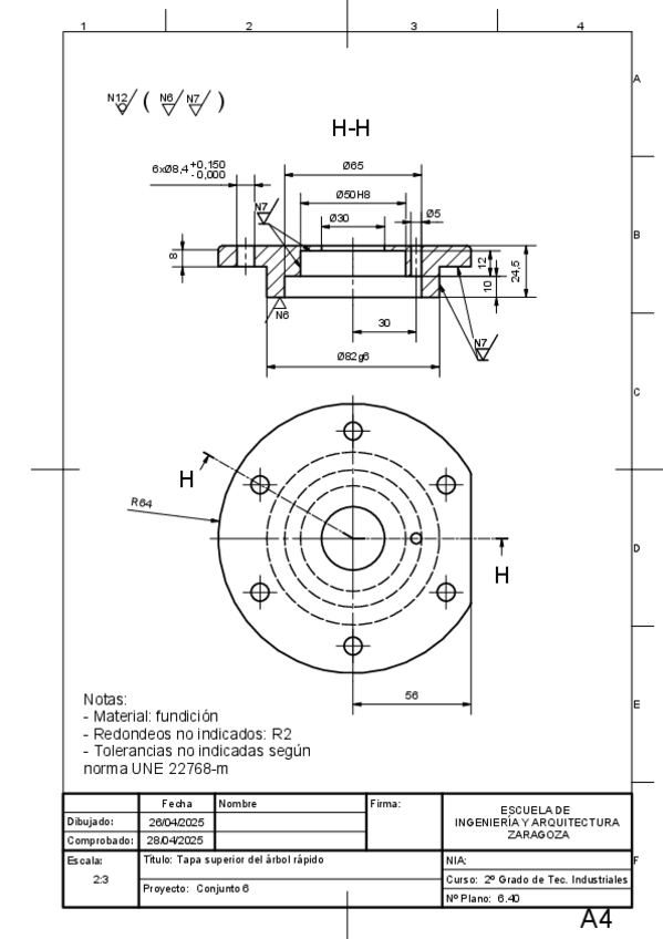
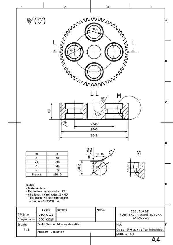
Trabajo conjunto 6

He publicado nuevos trabajos de 2º Procesos de fabricación y dibujo industrial: Trabajo conjunto 6

Memoria-y-lista-de-elementos.pdf
Marcado.pdf
Plano-arbol-lento.pdf
Plano-corona-arbol-lento.pdf
Plano-tapa-superior-arbol-rapido.pdf

He publicado nuevos apuntes de 2º Procesos de fabricación y dibujo industrial: teoria-procesos-entero.pdf

39 páginas

He publicado nuevos examenes de 2º Procesos de fabricación y dibujo industrial: JUNIO-2024-resuelto.pdf

5 páginas

examenes

-

tests

He publicado nuevos examenes de 2º Procesos de fabricación y dibujo industrial: tests

preguntas-clase.pdf
Preguntas-clase-resueltas.pdf
junio-2022.pdf
junio-2022-resueltas.pdf

He publicado nuevos apuntes de 2º Procesos de fabricación y dibujo industrial: test-corregidos-procesos.pdf

8 páginas

He publicado nuevos ejercicios de 2º Procesos de fabricación y dibujo industrial: problemas-diapositivas-procesos.pdf

4 páginas
Anónimo

@Anónimo

He publicado nuevos examenes de 2º Procesos de fabricación y dibujo industrial: Examen-Dibujo-Industrial.pdf

2 páginas

He publicado nuevos apuntes de 2º Procesos de fabricación y dibujo industrial: Dibujo-Industrial-Teoria-Entero.pdf

61 páginas

He publicado nuevos ejercicios de 2º Procesos de fabricación y dibujo industrial: Problemas-Procesos.pdf

6 páginas

He publicado nuevos apuntes de 2º Procesos de fabricación y dibujo industrial: Teoria-Procesos-de-fabricacion.pdf

17 páginas

He publicado nuevos ejercicios de 2º Procesos de fabricación y dibujo industrial: Problemas-Procesos-de-fabricacion.pdf

5 páginas

He publicado nuevos ejercicios de 2º Procesos de fabricación y dibujo industrial: TEST-RESUELTOS--PROBLEMAS.pdf

45 páginas

He publicado nuevos ejercicios de 2º Procesos de fabricación y dibujo industrial: Problemas-procesos.pdf

4 páginas

Todo lo que puede caer

10 páginas

He publicado nuevos apuntes de 2º Procesos de fabricación y dibujo industrial: Dibujo-Industrial-DEFINITIVO.pdf

10 páginas

He publicado nuevos apuntes de 2º Procesos de fabricación y dibujo industrial: TABLA-RESUMEN-PROCESOS.pdf

6 páginas

trabajos

-

Trabajo Dibujo Conjunto 3

He publicado nuevos trabajos de 2º Procesos de fabricación y dibujo industrial: Trabajo Dibujo Conjunto 3

Croquis piezas.pdf
Memoria.pdf

apuntes

-

TRABAJO DIBUJO INDUSTRIAL

He publicado nuevos apuntes de 2º Procesos de fabricación y dibujo industrial: TRABAJO DIBUJO INDUSTRIAL

LISTA-DE-ELEMENTOS.pdf
MEMORIA.pdf
CROQUIS-PIEZAS.pdf

He publicado nuevos apuntes de 2º Procesos de fabricación y dibujo industrial: Formulario-Dibujo-Industrial.pdf

2 páginas

He publicado nuevos apuntes de 2º Procesos de fabricación y dibujo industrial: Apuntes-Dibujo-Industrial.pdf

12 páginas

He publicado nuevos ejercicios de 2º Procesos de fabricación y dibujo industrial: Ejercicios-Engranajes.pdf

3 páginas

He publicado nuevos ejercicios de 2º Procesos de fabricación y dibujo industrial: Ejercicios-Arboles.pdf

5 páginas

He publicado nuevos ejercicios de 2º Procesos de fabricación y dibujo industrial: Ejercicios-Cajetin.pdf

3 páginas

He publicado nuevos apuntes de 2º Procesos de fabricación y dibujo industrial: Formulario-Procesos.pdf

1 página

He publicado nuevos apuntes de 2º Procesos de fabricación y dibujo industrial: Apuntes-Y-Ejercicios-Procesos.pdf

26 páginas

apuntes

-

Informes procesos

812

Informe-1.pdf
Informe-3.pdf

ejercicios

-

Conjuntos resueltos dibujo

He publicado nuevos ejercicios de 2º Procesos de fabricación y dibujo industrial: Conjuntos resueltos dibujo

Nombre-De-Piezas.pdf
Conjunto4.pdf
Conjunto6.pdf
Resolucion-Conjunto-3.pdf
Conjunto8.pdf

He publicado nuevos apuntes de 2º Procesos de fabricación y dibujo industrial: Problemas-Tipo-Procesos.pdf

14 páginas

apuntes

-

Apuntes importantes dibujo

He publicado nuevos apuntes de 2º Procesos de fabricación y dibujo industrial: Apuntes importantes dibujo

Apuntes-para-el-examen.pdf
Cosas-Importantes.pdf

He publicado nuevos apuntes de 2º Procesos de fabricación y dibujo industrial: Estudio-procesos de fabricación.pdf

18 páginas
Anónimo

@Anónimo

He publicado nuevos apuntes de 2º Procesos de fabricación y dibujo industrial: Apuntes-dibujo-industrial.pdf

13 páginas
Anónimo

@Anónimo

He publicado nuevos apuntes de 2º Procesos de fabricación y dibujo industrial: Formulario-para-problemas-procesos.pdf

2 páginas
Anónimo

@Anónimo

He publicado nuevos apuntes de 2º Procesos de fabricación y dibujo industrial: Apuntes-procesos-todos-los-temas.pdf

49 páginas

He publicado nuevos apuntes de 2º Procesos de fabricación y dibujo industrial: Llevar al examen dibujo.pdf

10 páginas

He publicado nuevos apuntes de 2º Procesos de fabricación y dibujo industrial: Formulario procesos.pdf

3 páginas

He publicado nuevos ejercicios de 2º Procesos de fabricación y dibujo industrial: Problemas resueltos Procesos.pdf

9 páginas
Anónimo

@Anónimo

examenes

-

Problemas de examen procesos con soluciones

He publicado nuevos examenes de 2º Procesos de fabricación y dibujo industrial: Problemas de examen procesos con soluciones

Enunciado.pdf
Soluciones.pdf

He publicado nuevos apuntes de 2º Procesos de fabricación y dibujo industrial: CamScanner-01-07-2023-13.05.pdf

1 página

He publicado nuevos practicas de 2º Procesos de fabricación y dibujo industrial: Guion-P3-Soldadura.pdf

5 páginas
Anónimo

@Anónimo

apuntes

-

Recopilación preguntas procesos con soluciones

He publicado nuevos apuntes de 2º Procesos de fabricación y dibujo industrial: Recopilación preguntas procesos con soluciones

Resolucion.pdf
PDF-sin-resolver.pdf

He publicado nuevos examenes de 2º Procesos de fabricación y dibujo industrial: PROBLEMAS-PROCESOS-JUNIO-2022.pdf

4 páginas

He publicado nuevos ejercicios de 2º Procesos de fabricación y dibujo industrial: PROBLEMAS-DIAPOSITIVAS.pdf

13 páginas

He publicado nuevos apuntes de 2º Procesos de fabricación y dibujo industrial: Proceos-de-fabricacion-tema-1.1.pdf

5 páginas

He publicado nuevos apuntes de 2º Procesos de fabricación y dibujo industrial: Procesos-de-deformacion.-Tema-1.pdf

6 páginas

He publicado nuevos apuntes de 2º Procesos de fabricación y dibujo industrial: Tema-soldadura.pdf

15 páginas

He publicado nuevos apuntes de 2º Procesos de fabricación y dibujo industrial: Tema-2-procesos-de-deformacion.pdf

12 páginas

He publicado nuevos apuntes de 2º Procesos de fabricación y dibujo industrial: Ejemplos-test-2023.pdf

5 páginas
Anónimo

@Anónimo

He publicado nuevos trabajos de 2º Procesos de fabricación y dibujo industrial: Trabajo asignatura.pdf

42 páginas

He publicado nuevos apuntes de 2º Procesos de fabricación y dibujo industrial: ComoHacerEngranajes.pdf

4 páginas

He publicado nuevos apuntes de 2º Procesos de fabricación y dibujo industrial: FORMULARIO-PROCESOS-DE-FABRICACION.pdf

2 páginas

He publicado nuevos ejercicios de 2º Procesos de fabricación y dibujo industrial: PROBLEMAS-PROCESOS-DE-FABRICACION.pdf

5 páginas
Anónimo

@Anónimo

practicas

-

Informes de prácticas_Procesos

He publicado nuevos practicas de 2º Procesos de fabricación y dibujo industrial: Informes de prácticas_Procesos

DEFORMACION.pdf
MOLDEO.pdf
SOLDADURA.pdf

He publicado nuevos apuntes de 2º Procesos de fabricación y dibujo industrial: Apuntes-examen-dibujo.pdf

10 páginas

apuntes

-

Teoría - PROCESOS

He publicado nuevos apuntes de 2º Procesos de fabricación y dibujo industrial: Teoría - PROCESOS

MODULO-2.pdf
MODULO-1.pdf
MODULO-1.pdf
MODULO-0.pdf
MODULO-3.pdf

He publicado nuevos apuntes de 2º Procesos de fabricación y dibujo industrial: FORMULARIO PARA EXAMEN DIBUJO

12 páginas