Todo
Apuntes
Exámenes
chevron_left
chevron_right

apuntes

-

Parcial 2

He publicado nuevos apuntes de 3º Procesos de Separación: Parcial 2

6.-Drying-of-solids.pdf
7.-Crystallisation.pdf
8.-Adsorption-Ion-Exchange-and-Chromatography.pdf
Drying-kinetics.docx
Miniatura no disponible
Psychrometic-chrt.pptx
31.pdf

apuntes

-

Parcial 1

He publicado nuevos apuntes de 3º Procesos de Separación: Parcial 1

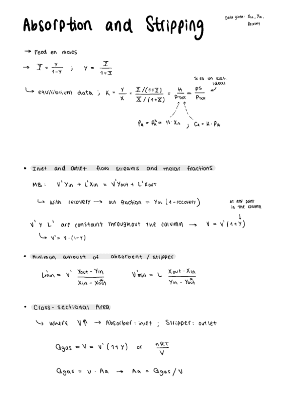
2.-Absorption-and-Stripping.pdf
2.2.-Billet-Leva-data.pdf
3.-Binary-Distillation.pdf
4.-Liquid-Liquid-Extraction.pdf
4.2.-equilibrium.pdf
5.-Leaching.pdf

He publicado nuevos apuntes de 3º Procesos de Separación: HOW-TO-Problems-1st-midterm.pdf

11 páginas

He publicado nuevos apuntes de 3º Procesos de Separación: teoria-repaso-2-midterm.pdf

21 páginas

apuntes

-

SP - Esquema Leaching

He publicado nuevos apuntes de 3º Procesos de Separación: SP - Esquema Leaching

SP-Esquema-Leaching.pdf
SP-Esquema-Abs-and-Stripping.pdf
SP-Esquema-Distillation.pdf
SP-Esquema-Crystallisation.pdf
SP-Esquema-Drying.pdf
SP-Esquema-L-L-extraction.pdf

apuntes

-

Equations

He publicado nuevos apuntes de 3º Procesos de Separación: Equations

2nd-MD-equations.pdf
1st-MD-equations.pdf

He publicado nuevos apuntes de 3º Procesos de Separación: SP-Teoria-del-segundo-parcial.pdf

37 páginas

He publicado nuevos apuntes de 3º Procesos de Separación: SP-Teoria-primer-parcial.pdf

37 páginas

He publicado nuevos examenes de 3º Procesos de Separación: Examenes-separation-processes-parte-2.pdf

12 páginas

He publicado nuevos examenes de 3º Procesos de Separación: Examenes-separation-processes-parte-1.pdf

12 páginas
¡Estás al día!

¡Estás al día!

Has visto todos los archivos