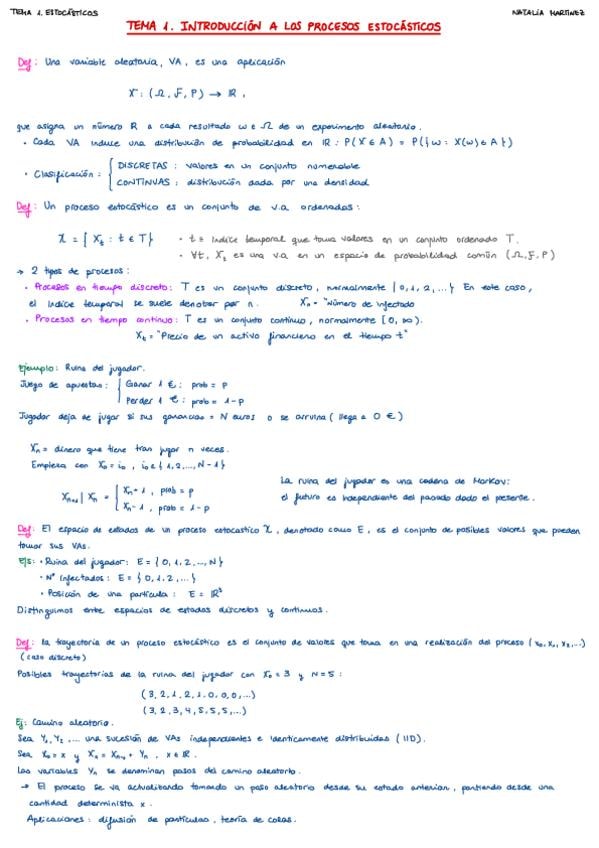
Todo
Apuntes
Ejercicios
Exámenes
Otros
Trabajos
chevron_left
chevron_right

He publicado nuevos apuntes de 4º Procesos Estocásticos: TEMA-2.-CADENAS-MARKOV-TIEMPO-DISCRETO.pdf

5 páginas

He publicado nuevos apuntes de 4º Procesos Estocásticos: TEMA-5.-MOV.BROWNIANO.pdf

2 páginas

He publicado nuevos apuntes de 4º Procesos Estocásticos: TEMA-4.-MARTINGALAS.pdf

3 páginas

He publicado nuevos apuntes de 4º Procesos Estocásticos: TEMA-3.-CMTC.pdf

5 páginas

He publicado nuevos apuntes de 4º Procesos Estocásticos: TEMA-1.-INTRO-PROCESOS-ESTOCASTICOS.pdf

1 página

apuntes

-

Esquemas

He publicado nuevos apuntes de 3º Procesos Estocásticos: Esquemas

Esquema DTMC.pdf.pdf

apuntes

-

Apuntes por temas

He publicado nuevos apuntes de 3º Procesos Estocásticos: Apuntes por temas

Cadenas de Markov en tiempo discreto.pdf.pdf

He publicado nuevos ejercicios de 3º Procesos Estocásticos: ejercicios-entrega-tema-1.pdf

2 páginas

ejercicios

-

Hojas de ejercicios

He publicado nuevos ejercicios de 3º Procesos Estocásticos: Hojas de ejercicios

Hoja-0.pdf
Hoja-1.pdf
Hoja-2.pdf
Hoja-3.pdf
1.-Cadenas-de-Markov-en-tiempo-discreto.pdf
2.-Cadenas-de-Markov-en-tiempo-continuo.pdf

He publicado nuevos ejercicios de 3º Procesos Estocásticos: Hoja-2.pdf

17 páginas

He publicado nuevos ejercicios de 3º Procesos Estocásticos: Ejercicios-yo.pdf

11 páginas

He publicado nuevos apuntes de 3º Procesos Estocásticos: Tema-3.pdf.pdf

18 páginas

He publicado nuevos apuntes de 3º Procesos Estocásticos: Tema-2.pdf.pdf

15 páginas

He publicado nuevos ejercicios de 3º Procesos Estocásticos: Hoja-3.pdf.pdf

10 páginas

He publicado nuevos apuntes de 3º Procesos Estocásticos: Modelo-SIS.pdf

2 páginas

He publicado nuevos apuntes de 3º Procesos Estocásticos: Resumen-Tema-1-con-teoria.pdf

5 páginas

He publicado nuevos apuntes de 3º Procesos Estocásticos: Resumen-Tema-2-con-teoria.pdf

5 páginas

He publicado nuevos examenes de 3º Procesos Estocásticos: Ejercicios-para-el-examen.pdf

14 páginas

He publicado nuevos apuntes de 3º Procesos Estocásticos: Resumen-Tema-3-con-teoria.pdf

5 páginas

He publicado nuevos examenes de 3º Procesos Estocásticos: Ordinaria-2023-2024.pdf

10 páginas

He publicado nuevos examenes de 3º Procesos Estocásticos: Extraordinaria-2023-2024.pdf

8 páginas

He publicado nuevos examenes de 3º Procesos Estocásticos: Ordinaria-2022-2023.pdf

6 páginas

He publicado nuevos examenes de 3º Procesos Estocásticos: Extraordinaria-2022-2023.pdf

2 páginas

He publicado nuevos apuntes de 3º Procesos Estocásticos: Resumen todo.pdf

20 páginas

Temas 1 y 2 completos. Tema 3 primera parte.

32 páginas
Anónimo

@Anónimo

He publicado nuevos apuntes de 3º Procesos Estocásticos: Apuntes-en-R.R

Anónimo

@Anónimo

He publicado nuevos apuntes de 3º Procesos Estocásticos: Apuntes.pdf

21 páginas
Anónimo

@Anónimo

He publicado nuevos ejercicios de 3º Procesos Estocásticos: Relacion-Tema-2.pdf

12 páginas
Anónimo

@Anónimo

He publicado nuevos ejercicios de 3º Procesos Estocásticos: Relacion-Tema-1.pdf

9 páginas
Anónimo

@Anónimo

He publicado nuevos ejercicios de 3º Procesos Estocásticos: Ejemplos-tema-3.pdf

13 páginas
Anónimo

@Anónimo

He publicado nuevos ejercicios de 3º Procesos Estocásticos: Ejemplos-tema-4.pdf

17 páginas
Anónimo

@Anónimo

He publicado nuevos examenes de 3º Procesos Estocásticos: Parcial-T2.pdf

9 páginas
Anónimo

@Anónimo

He publicado nuevos examenes de 3º Procesos Estocásticos: Parcial-T3.pdf

9 páginas
Anónimo

@Anónimo

He publicado nuevos examenes de 3º Procesos Estocásticos: Parcial-T4.pdf

7 páginas

He publicado nuevos apuntes de 3º Procesos Estocásticos: PH-y-SIS-RESUMEN-EXTENSO.pdf

23 páginas
Anónimo

@Anónimo

He publicado nuevos apuntes de 3º Procesos Estocásticos: phmaximo.pdf

1 página
Anónimo

@Anónimo

He publicado nuevos apuntes de 3º Procesos Estocásticos: ejemplosclasetema2.pdf

13 páginas
Anónimo

@Anónimo

Examenes resueltos por temas

81 páginas

He publicado nuevos examenes de 4º Procesos Estocásticos: Examen-de-Procesos-Estocasticos.pdf

1 página

He publicado nuevos ejercicios de 4º Procesos Estocásticos: Parte-1.-Ejercicios-resueltos.pdf

13 páginas

He publicado nuevos ejercicios de 4º Procesos Estocásticos: Parte-2.-Ejercicios-resueltos.pdf

14 páginas
Anónimo

@Anónimo

He publicado nuevos ejercicios de 4º Procesos Estocásticos: Soluciones-Relacion-3.pdf

22 páginas
Anónimo

@Anónimo

He publicado nuevos ejercicios de 4º Procesos Estocásticos: Soluciones-Relacion-2.pdf

17 páginas
Anónimo

@Anónimo

He publicado nuevos ejercicios de 4º Procesos Estocásticos: Soluciones-Relacion-1.pdf

20 páginas

He publicado nuevos ejercicios de 3º Procesos Estocásticos: Hoja-3.pdf

50 páginas

ejercicios

-

Hoja 2

He publicado nuevos ejercicios de 3º Procesos Estocásticos: Hoja 2

Hoja-2.pdf
Hoja-2-M-M-c.pdf

ejercicios

-

Hoja 1

He publicado nuevos ejercicios de 3º Procesos Estocásticos: Hoja 1

Hoja-1-Parte-1.pdf
Hoja-1-Parte-2.pdf

examenes

-

EXÁMENES Y EJERCICIOS RESUELTOS

He publicado nuevos examenes de 3º Procesos Estocásticos: EXÁMENES Y EJERCICIOS RESUELTOS

EJERCICIOS-RESUELTOS-50-Y-81.pdf
EXAMEN-2-JUNIO-2023-RESUELTO.pdf
EXAMEN-6-MAYO-2025.pdf
EXAMEN-21-JUNIO-2024-RESUELTO.pdf
EXAMEN-26-MAYO-2025.pdf

He publicado nuevos apuntes de 4º Procesos Estocásticos: examenpejulio24resuelto.pdf

10 páginas

He publicado nuevos ejercicios de 4º Procesos Estocásticos: Ejercicios-Ordinaria.pdf

43 páginas

He publicado nuevos apuntes de 4º Procesos Estocásticos: Apuntes-PE.pdf

6 páginas

He publicado nuevos apuntes de 4º Procesos Estocásticos: Procesos-Estocasticos.pdf

67 páginas

He publicado nuevos examenes de 4º Procesos Estocásticos: RESUELTO-Examen-Ordinario-24.pdf

7 páginas

ejercicios

-

Relaciones Resueltas 23/24

He publicado nuevos ejercicios de 4º Procesos Estocásticos: Relaciones Resueltas 23/24

Relacion-1.1.pdf
Relacion-1.2.pdf
Relacion-2.pdf
Relacion-3.pdf
Relacion-4.pdf
Anónimo

@Anónimo

He publicado nuevos apuntes de 2º Procesos Estocásticos: IMG1271.HEIC

Miniatura no disponible
Anónimo

@Anónimo

He publicado nuevos examenes de 2º Procesos Estocásticos: IMG1270.HEIC

Miniatura no disponible

apuntes

-

Procesos Estocásticos

He publicado nuevos apuntes de 4º Procesos Estocásticos: Procesos Estocásticos

1.-Introduction-To-Stochastic-Processes.pdf
2.-Discrete-Time-Markov-Chains-DTMC.pdf
3.-Poisson-Processes.pdf
4.-Continuous-Time-Markov-Chains.pdf
5.-Brownian-Motion-And-Gaussian-Processes.pdf

He publicado nuevos apuntes de 3º Procesos Estocásticos: VARIABLES-PH.pdf

4 páginas

He publicado nuevos apuntes de 3º Procesos Estocásticos: PROBLEMA-DE-LA-RUINA.pdf

3 páginas

He publicado nuevos apuntes de 3º Procesos Estocásticos: Hoja-3-SOLUCIONES.pdf

9 páginas