Programació Avançada
examenes
-
Programació avançada parcial
He publicado nuevos examenes de 1º Programació Avançada: Programació avançada parcial
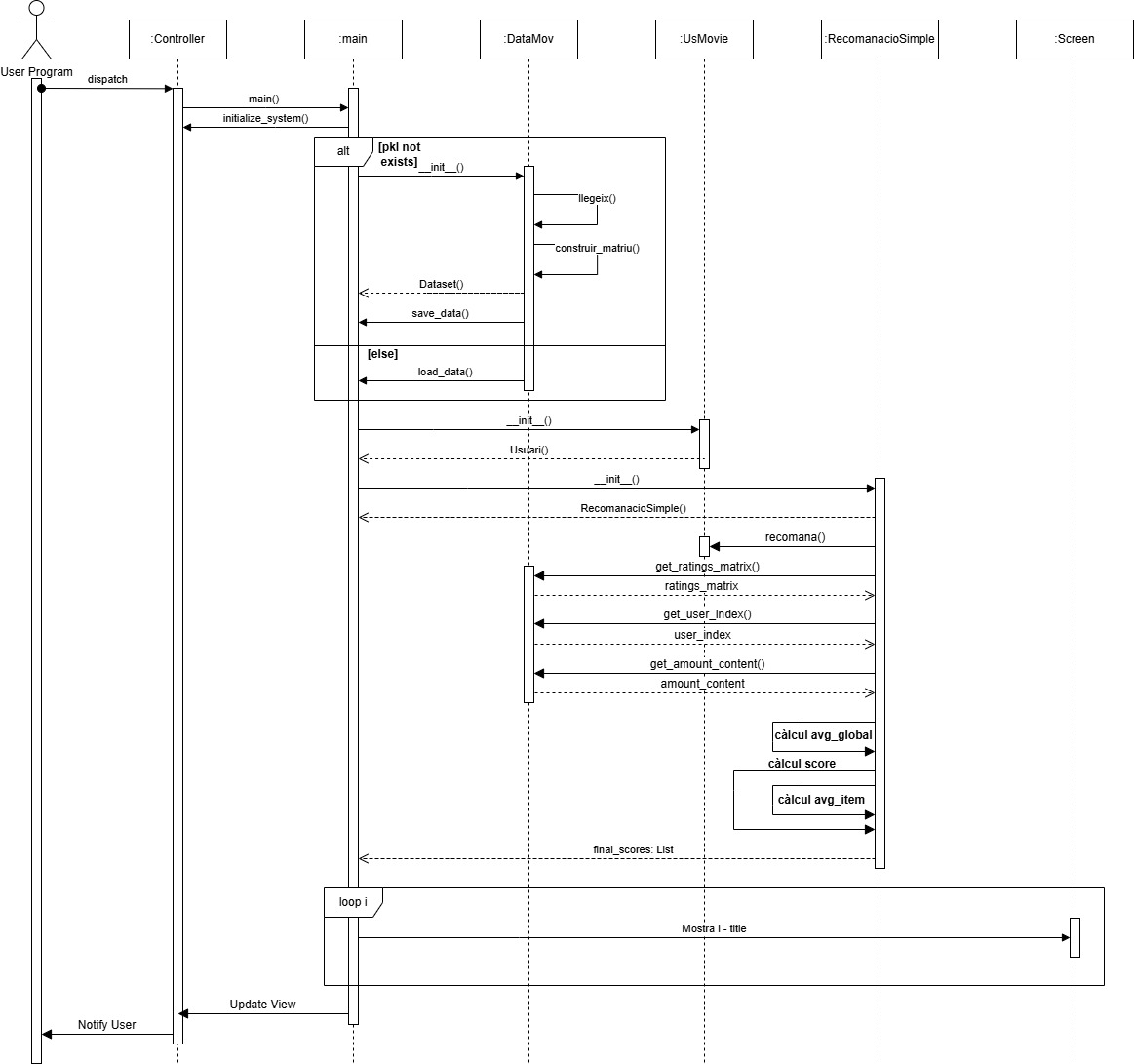
diagrama de sequencies - Projecte PA

He publicado nuevos apuntes de 1º Programació Avançada: Apunts-Programacio-A.pdf
examenes
-
Examen recuperació 2n Parcial
He publicado nuevos examenes de 1º Programació Avançada: Examen recuperació 2n Parcial
examenes
-
Examen recuperacio 1r parcial
He publicado nuevos examenes de 1º Programació Avançada: Examen recuperacio 1r parcial
examenes
-
Examen 2n parcial
He publicado nuevos examenes de 1º Programació Avançada: Examen 2n parcial
He publicado nuevos apuntes de 1º Programació Avançada: ApuntsGRASPPatterns.pdf
He publicado nuevos apuntes de 1º Programació Avançada: ApuntsPrincipisDisseny.pdf
He publicado nuevos apuntes de 1º Programació Avançada: Examen-parcial-1r-Solucio.pdf
He publicado nuevos examenes de 1º Programació Avançada: Examen-parcial-1r-Enunciat.pdf
He publicado nuevos apuntes de 1º Programació Avançada: M2-QUESTIONARI-HERENCIA.pdf
apuntes
-
EXAMENS
He publicado nuevos apuntes de 1º Programació Avançada: EXAMENS
He publicado nuevos examenes de 1º Programació Avançada: Recu-parcial-2-Solucio.pdf
He publicado nuevos examenes de 1º Programació Avançada: Recu-parcial-2-Enunciat.pdf
He publicado nuevos examenes de 1º Programació Avançada: Recu-parcial-1-Solucio.pdf
He publicado nuevos examenes de 1º Programació Avançada: Recu-parcial-1-Enunciat.pdf
He publicado nuevos examenes de 1º Programació Avançada: Validacion-OpenACC+MPI.pdf
He publicado nuevos apuntes de 1º Programació Avançada: GRASP-I-PRINCIPIS-DISSENY.pdf
examenes
-
Examens Parcials
He publicado nuevos examenes de 1º Programació Avançada: Examens Parcials
examenes
-
Recuperació
He publicado nuevos examenes de 1º Programació Avançada: Recuperació
examenes
-
Examens finals
He publicado nuevos examenes de 1º Programació Avançada: Examens finals
He publicado nuevos ejercicios de 1º Programació Avançada: mastermind.docx
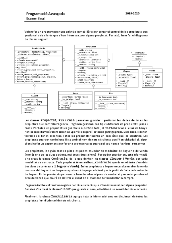
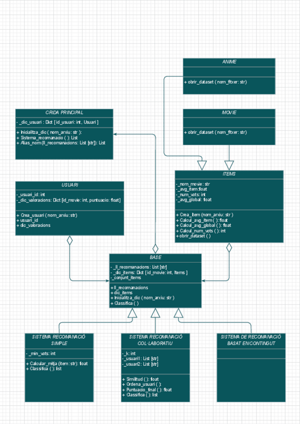
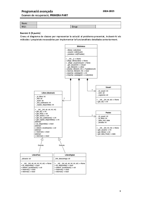
He publicado nuevos trabajos de 1º Programació Avançada: uml-final-projecte.pdf
He publicado nuevos trabajos de 1º Programació Avançada: uml-parcial-exemple.pdf
apuntes
-
Repàs FP - Solucions d'alguns dels exercicis
He publicado nuevos apuntes de 1º Programació Avançada: Repàs FP - Solucions d'alguns dels exercicis
He publicado nuevos apuntes de 1º Programació Avançada: GRASP-PATTERNS.pdf
He publicado nuevos ejercicios de 1º Programació Avançada: CARONTE-Exercici-6-2023.pdf
He publicado nuevos apuntes de 1º Programació Avançada: PA-resum-final.pdf
ejercicios
-
CARONTE - Exercici 8
He publicado nuevos ejercicios de 1º Programació Avançada: CARONTE - Exercici 8
ejercicios
-
CARONTE - Exercici 6
He publicado nuevos ejercicios de 1º Programació Avançada: CARONTE - Exercici 6
ejercicios
-
CARONTE - Exercici5
He publicado nuevos ejercicios de 1º Programació Avançada: CARONTE - Exercici5
ejercicios
-
CARONTE -Exercici1-Joc de la Oca
He publicado nuevos ejercicios de 1º Programació Avançada: CARONTE -Exercici1-Joc de la Oca
ejercicios
-
CARONTE - Repas Fonaments Prog
He publicado nuevos ejercicios de 1º Programació Avançada: CARONTE - Repas Fonaments Prog
examenes
-
Examen Final Versió2
He publicado nuevos examenes de 1º Programació Avançada: Examen Final Versió2
examenes
-
Examen Final Versió1
He publicado nuevos examenes de 1º Programació Avançada: Examen Final Versió1
He publicado nuevos examenes de 1º Programació Avançada: examenrecuperacioexercicis.pdf
examenes
-
Examen de prova
He publicado nuevos examenes de 1º Programació Avançada: Examen de prova
He publicado nuevos apuntes de 1º Programació Avançada: Design-patterns.pdf
He publicado nuevos examenes de 1º Programació Avançada: Enunciat-Examen-Final-Primer-Parcial.pdf
He publicado nuevos examenes de 1º Programació Avançada: Enunciat-Segon-Parcial.pdf
He publicado nuevos examenes de 1º Programació Avançada: Enunciat-Primer-Parcial.pdf
¡Estás al día!
Has visto todos los archivos