Todo
Apuntes
Ejercicios
Exámenes
Prácticas
publication
Test
chevron_left
chevron_right

He publicado nuevos examenes de 2º PROGRAMACION 3: Solucion-julio-2019.pdf

6 páginas

practicas

-

Prácticas P3

He publicado nuevos practicas de 2º PROGRAMACION 3: Prácticas P3

Practica-1.pdf
Practica-1.pdf
Practica-2.pdf
Practica-2.pdf
Practica-3.pdf
Practica-3.pdf

examenes

-

SOLUCIÓN ENERO 2025

He publicado nuevos examenes de 2º PROGRAMACION 3: SOLUCIÓN ENERO 2025

Miniatura no disponible
https://wuolah.com/apuntes/programacion-3-2/enero-2025-pdf-11603320?utm_source=wuolah&utm_medium=referral&utm_campaign=file-sharefile&referral=Mga09041
Miniatura no disponible
https://wuolah.com/apuntes/programacion-3-2/enero-2025-pdf-11603320?utm_source=wuolah&utm_medium=referral&utm_campaign=file-sharefile&referral=Mga09041
Miniatura no disponible
prog3-ene25-solucion.tgz
Miniatura no disponible
prog3-ene25-solucion.tgz

He publicado nuevos examenes de 2º PROGRAMACION 3: ENERO 2025.pdf

5 páginas

practicas

-

Enunciados prácticas 2024-2025

He publicado nuevos practicas de 2º PROGRAMACION 3: Enunciados prácticas 2024-2025

Practica1.pdf
Practica1.pdf
Practica2.pdf
Practica2.pdf
Practica6.pdf
Practica6.pdf

examenes

-

Colección preguntas test p3

Sin resolver, resueltas y resueltas con razonamiento

Miniatura no disponible
https://wuolah.com/apuntes/programacion-3-2/super-test-p-3-pdf-11431311?utm_source=wuolah&utm_medium=referral&utm_campaign=file-sharefile&referral=Mga09041
Miniatura no disponible
https://wuolah.com/apuntes/programacion-3-2/super-test-p-3-pdf-11431311?utm_source=wuolah&utm_medium=referral&utm_campaign=file-sharefile&referral=Mga09041
Miniatura no disponible
https://wuolah.com/apuntes/programacion-3-2/recopilacion-preguntas-test-p-3-resolver-pdf-11434026?utm_source=wuolah&utm_medium=referral&utm_campaign=file-sharefile&referral=Mga09041
Miniatura no disponible
https://wuolah.com/apuntes/programacion-3-2/recopilacion-preguntas-test-p-3-resolver-pdf-11434026?utm_source=wuolah&utm_medium=referral&utm_campaign=file-sharefile&referral=Mga09041
Miniatura no disponible
https://wuolah.com/apuntes/programacion-3-2/coleccion-preguntas-test-p-3-resueltas-explicadas-pdf-11435045?utm_source=wuolah&utm_medium=referral&utm_campaign=file-sharefile&referral=Mga09041
Miniatura no disponible
https://wuolah.com/apuntes/programacion-3-2/coleccion-preguntas-test-p-3-resueltas-explicadas-pdf-11435045?utm_source=wuolah&utm_medium=referral&utm_campaign=file-sharefile&referral=Mga09041

He publicado nuevos examenes de 2º PROGRAMACION 3: Coleccion-preguntas-test-p3-resueltas-y-explicadas.pdf

23 páginas

He publicado nuevos examenes de 2º PROGRAMACION 3: Tipo-test-resuelto-y-explicado-julio-2024.pdf

7 páginas

examenes

-

Solución enero 2024 explicada

He publicado nuevos examenes de 2º PROGRAMACION 3: Solución enero 2024 explicada

Solucion-parte-1-test.pdf
Solucion-parte-1-test.pdf
Solucion-problema-1.pdf
Solucion-problema-1.pdf
Solucion-problema-3-explicada.pdf
Solucion-problema-3-explicada.pdf

examenes

-

Enunciado enero 2024 + proyecto base eclipse

He publicado nuevos examenes de 2º PROGRAMACION 3: Enunciado enero 2024 + proyecto base eclipse

Miniatura no disponible
https://wuolah.com/apuntes/programacion-3-2/enero-2024-pdf-11424294?utm_source=wuolah&utm_medium=referral&utm_campaign=file-sharefile&referral=Mga09041
Miniatura no disponible
https://wuolah.com/apuntes/programacion-3-2/enero-2024-pdf-11424294?utm_source=wuolah&utm_medium=referral&utm_campaign=file-sharefile&referral=Mga09041
Miniatura no disponible
prog3-enero24.tgz
Miniatura no disponible
prog3-enero24.tgz

He publicado nuevos examenes de 2º PROGRAMACION 3: Solucion-enero-2023-explicado-completo.pdf

24 páginas

apuntes

-

Solución enero 2023 explicada

He publicado nuevos apuntes de 2º PROGRAMACION 3: Solución enero 2023 explicada

Solucion-problema-1.pdf
Solucion-problema-1.pdf
Solucion-problema-3.pdf
Solucion-problema-3.pdf
Solucion-problema-2.pdf
Solucion-problema-2.pdf

He publicado nuevos examenes de 2º PROGRAMACION 3: Colección preguntas test p3 sin resolver.pdf

8 páginas

He publicado nuevos examenes de 2º PROGRAMACION 3: Tipo-test-Enero-2024-resuelto-y-explicado.pdf

10 páginas

He publicado nuevos examenes de 2º PROGRAMACION 3: Examen-P3-Enero-2023-resuelto-y-explicado.pdf

20 páginas

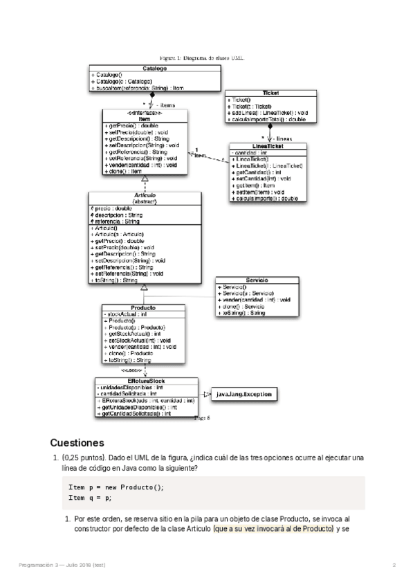
Final C4 Julio 2018, 2.ª parte (test)

5 páginas

apuntes

-

Resúmenes vídeos P3

He publicado nuevos apuntes de 2º PROGRAMACION 3: Resúmenes vídeos P3

Sesion2.pdf
Sesion2.pdf
Sesion-3.pdf
Sesion-3.pdf
Sesion4.pdf
Sesion4.pdf

He publicado nuevos apuntes de 2º PROGRAMACION 3: UML-Y-RELACIONES-EN-JAVA.pdf

4 páginas

He publicado nuevos examenes de 2º PROGRAMACION 3: EXAMEN JULIO 2024 COMPLETO RESUELTO.pdf

14 páginas

He publicado nuevos examenes de 2º PROGRAMACION 3: Test-julio-2024-resuelto-y-explicado.pdf

3 páginas

examenes

-

Examen julio 2023 resuelto

He publicado nuevos examenes de 2º PROGRAMACION 3: Examen julio 2023 resuelto

Examen-julio-2023-Problemas.pdf
Examen-julio-2023-Problemas.pdf
Miniatura no disponible
prog3-julio23.tgz
Miniatura no disponible
prog3-julio23.tgz
Miniatura no disponible
prog3-julio23-solucion.tgz
Miniatura no disponible
prog3-julio23-solucion.tgz

examenes

-

Examen enero 2023 resuelto

He publicado nuevos examenes de 2º PROGRAMACION 3: Examen enero 2023 resuelto

Examen-enero-2023-Problemas.pdf
Examen-enero-2023-Problemas.pdf
Miniatura no disponible
prog3-enero23-solucion.tgz
Miniatura no disponible
prog3-enero23-solucion.tgz
Miniatura no disponible
prog3-enero23-base.tgz
Miniatura no disponible
prog3-enero23-base.tgz

He publicado nuevos examenes de 2º PROGRAMACION 3: Examen-julio-2024-soluciones-problemas.pdf

11 páginas

He publicado nuevos examenes de 2º PROGRAMACION 3: Solucion-enero-2024-explicada.pdf

8 páginas

He publicado nuevos examenes de 2º PROGRAMACION 3: Colección preguntas test p3 resueltas.pdf

8 páginas

Sección de problemas del final de enero de 2021. Incluye una explicación sobre el enlace estático y dinámico para el ejercicio 2.

5 páginas

Resumenes de todos los vídeos de moodle del curso 2024-2025

47 páginas

He publicado nuevos apuntes de 2º PROGRAMACION 3: Frameworks.pdf

3 páginas

examenes

-

Exámenes repaso moodle

He publicado nuevos examenes de 2º PROGRAMACION 3: Exámenes repaso moodle

Enunciados-examenes-moodle.pdf
Enunciados-examenes-moodle.pdf
Miniatura no disponible
prog3-enero23.tgz
Miniatura no disponible
prog3-enero23.tgz
Miniatura no disponible
prog3-enero2022.tgz
Miniatura no disponible
prog3-enero2022.tgz

He publicado nuevos apuntes de 2º PROGRAMACION 3: GENERICIDAD-Y-REFLEXION.pdf

5 páginas

He publicado nuevos apuntes de 2º PROGRAMACION 3: PRINCIPIOS-STUPID.pdf

2 páginas

He publicado nuevos apuntes de 2º PROGRAMACION 3: PRINCIPIOS-SOLID.pdf

2 páginas

He publicado nuevos examenes de 2º PROGRAMACION 3: ENERO-2021-PROBLEMA-1-EXPLICADO.pdf

4 páginas

He publicado nuevos examenes de 2º PROGRAMACION 3: ENERO-2022-PROBLEMA-1-EXPLICADO.pdf

5 páginas

He publicado nuevos examenes de 2º PROGRAMACION 3: Ejercicios de examen-2022-2021-resueltos-y-explicados.pdf

14 páginas

He publicado nuevos ejercicios de 2º PROGRAMACION 3: Ejercicio-de-dibujar-memoria-programacion-3-resuelto.pdf

3 páginas

He publicado nuevos examenes de 2º PROGRAMACION 3: EXAMEN ENERO 2024.pdf

7 páginas

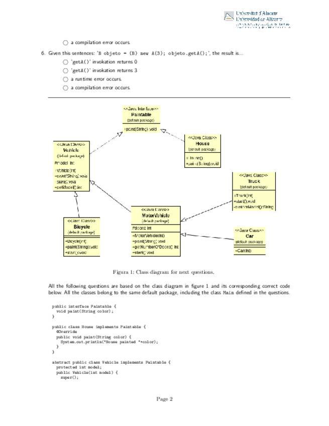
Final C2 Enero 2019, 2.ª parte (test)

7 páginas

He publicado nuevos examenes de 2º PROGRAMACION 3: ENERO-2021-PROBLEMA-2-EXPLICADO.pdf

3 páginas

He publicado nuevos examenes de 2º PROGRAMACION 3: Solucion-enero-2019.pdf

7 páginas

He publicado nuevos examenes de 2º PROGRAMACION 3: Examen-Enero-2022.pdf

5 páginas

He publicado nuevos examenes de 2º PROGRAMACION 3: Exam-January-2022.pdf

5 páginas

He publicado nuevos examenes de 2º PROGRAMACION 3: prog3-questions-ene19-en.pdf

7 páginas

He publicado nuevos examenes de 2º PROGRAMACION 3: prog3jul2019-questions-en.pdf

7 páginas

He publicado nuevos examenes de 2º PROGRAMACION 3: prog3-cuestiones-jul18-en.pdf

8 páginas

examenes

-

Soluciones cuestionarios

He publicado nuevos examenes de 2º PROGRAMACION 3: Soluciones cuestionarios

UD-3.pdf
UD-3.pdf
UD-5.pdf
UD-5.pdf
UD-4.pdf
UD-4.pdf

ejercicios

-

P3 Exercises

He publicado nuevos ejercicios de 2º PROGRAMACION 3: P3 Exercises

Session2.pdf
Session2.pdf
Session-4.pdf
Session-4.pdf
Session-3.pdf
Session-3.pdf

ejercicios

-

Ejercicios P3

He publicado nuevos ejercicios de 2º PROGRAMACION 3: Ejercicios P3

Sesion-2.pdf
Sesion-2.pdf
Sesion-4.pdf
Sesion-4.pdf
Sesion-3.pdf
Sesion-3.pdf

He publicado nuevos examenes de 2º PROGRAMACION 3: January-2021-problems.pdf

3 páginas

He publicado nuevos apuntes de 2º PROGRAMACION 3: UD5-plantilla-memoria-JVM.pdf

1 página

practicas

-

Prácticas 24/25

He publicado nuevos practicas de 2º PROGRAMACION 3: Prácticas 24/25

Practica-2.pdf
Practica-2.pdf

He publicado nuevos practicas de 2º PROGRAMACION 3: Test-JUnit-practica-2.pdf

10 páginas

apuntes

-

Test JUnit prácticas

En esta carpeta hay test JUnit que he montado para probar los códigos de las prácticas, con más de 90% de coverage

PressureWheelExceptionPreTest.pdf
PressureWheelExceptionPreTest.pdf
WheelPreTest.pdf
WheelPreTest.pdf
TyreTypePreTest.pdf
TyreTypePreTest.pdf

apuntes

-

Practices 2024 2025 EN

He publicado nuevos apuntes de 2º PROGRAMACION 3: Practices 2024 2025 EN

FirstAssignment.pdf
FirstAssignment.pdf
SecondAssignment.pdf
SecondAssignment.pdf

He publicado nuevos examenes de 2º PROGRAMACION 3: Examen-enero-2021.pdf

4 páginas

He publicado nuevos apuntes de 2º PROGRAMACION 3: Resumen-teoria-P3.pdf

22 páginas
Anónimo

@Anónimo

He publicado nuevos test de 2º PROGRAMACION 3: U.D.8-Polimorfismo-II-genericidad-y-reeflexion.pdf

2 páginas