chevron_left
chevron_right
Todo
Apuntes
Ejercicios
Exámenes
Otros
Prácticas
publication
Test
chevron_left
chevron_right

examenes

-

EXAMENES RESUELTOS 2015-2023

He publicado nuevos examenes de 1º Programación II: EXAMENES RESUELTOS 2015-2023

2015Mayoenun.pdf
2015Mayosol.pdf
2016Julioenun.pdf
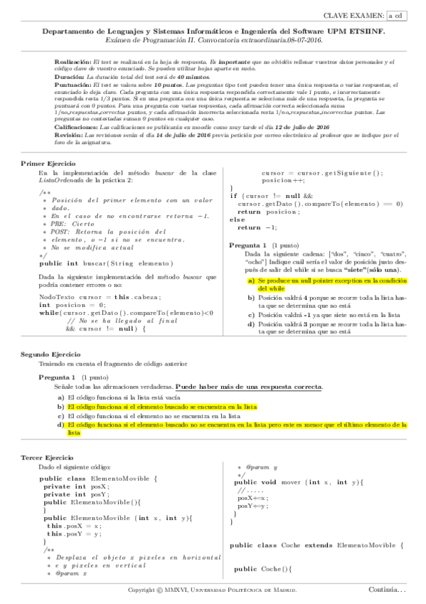
2016Juliosol.pdf
2016Mayo.pdf
2017Mayoenunciado.pdf

Academia Ingeniería Informática Accede sin compromiso a todos los cursos durante septiembre

video

Academia Ingeniería Informática Accede sin compromiso a todos los cursos durante septiembre

video

Apuntes todo programación 2

7 páginas
Anónimo

@Anónimo

He publicado nuevos examenes de 1º Programación II: examen-2025-resuelto.pdf

18 páginas

EXAMENES RESUELTOS 2015-2023

📂 En la carpeta están TODOS los exámenes. Y esta vez vas a por todas. Ya no es un “a ver qué pasa”… Es un “voy a aprobar”. (ง •̀_•́)ง (ง'̀-'́)ง (ง🔥Д🔥)ง 🔥 Has estudiado, has repasado, y aunque haya dudas, hay algo que pesa más: las ganas de superarte. 💡 No tienes que hacerlo perfecto, solo tienes que hacerlo posible. Y lo vas a hacer. Este examen no va a poder contigo. Vas a entrar, vas a darlo todo, y vas a salir con el trabajo hecho. ✨ Porque esta vez no se trata de suerte, se trata de determinación, preparación... y todo lo que ya llevas dentro. Y créeme: con eso, te basta.

Anónimo

@Anónimo

examenes

-

Exámenes

He publicado nuevos examenes de 1º Programación II: Exámenes

Julio24.pdf
Junio23.pdf

examenes

-

Examenes 2024/23

He publicado nuevos examenes de 1º Programación II: Examenes 2024/23

2023junsol.pdf

He publicado nuevos examenes de 1º Programación II: Examenes-2015/2019-con-soluciones.pdf

34 páginas

He publicado nuevos apuntes de 1º Programación II: Conceptos-importantes-para-el-examen-PROGRAMACION-II.pdf

12 páginas

He publicado nuevos apuntes de 1º Programación II: POO.pdf

41 páginas

He publicado nuevos examenes de 1º Programación II: Examenes-de-todos-los-anos.pdf

69 páginas

examenes

-

202405-examen

He publicado nuevos examenes de 1º Programación II: 202405-examen

202405-examen.pdf
202405-examensol.pdf

ejercicios

-

Obstaculos

He publicado nuevos ejercicios de 1º Programación II: Obstaculos

Campo.pdf
Obstaculo.pdf
ObstaculoCircular.pdf
ObstaculoRectangular.pdf

practicas

-

Practica_Ascensor.vhd

He publicado nuevos practicas de 1º Programación II: Practica_Ascensor.vhd

Miniatura no disponible
ascensorcompleto.vhd.txt
Miniatura no disponible
ascensorcompletotb.vhd.txt
Miniatura no disponible
FSMascensor.vhd.txt

examenes

-

Examenes Resueltos 2023

Enunciados y soluciones - Examenes Resueltos 2023

2023-Enunciado.pdf

examenes

-

Examenes Resueltos 2021 Extraordinaria

Enunciados y soluciones - Examenes Resueltos desde 2020 a 2022

2021-Extraordinaria-Solucion.pdf
Anónimo

@Anónimo

He publicado nuevos examenes de 1º Programación II: Junio-2023-SOL.pdf

2 páginas
Anónimo

@Anónimo

He publicado nuevos examenes de 1º Programación II: Junio-22.23.pdf

4 páginas

apuntes

-

Practica III - 22.23

He publicado nuevos apuntes de 1º Programación II: Practica III - 22.23

Biblioteca.pdf
Comic.pdf

practicas

-

Practica II - 22.23

He publicado nuevos practicas de 1º Programación II: Practica II - 22.23

Gen.pdf
LifeHistory.pdf

practicas

-

Practica I - 22.23

He publicado nuevos practicas de 1º Programación II: Practica I - 22.23

Monomio.pdf
Polinomio.pdf
Principal.pdf
Anónimo

@Anónimo

examenes

-

Examenes Programacion 2

He publicado nuevos examenes de 1º Programación II: Examenes Programacion 2

2021examenjulioPlayOff.pdf
2022julioPolinomios.pdf
2022julioPolinomiosSolucion.pdf
Anónimo

@Anónimo

practicas

-

Practicas resueltas + Explicacion

He publicado nuevos practicas de 1º Programación II: Practicas resueltas + Explicacion

enunciadoalmacenEE0.pdf
SolucionAlmacen.pdf

examenes

-

Exámenes resueltos programación II

He publicado nuevos examenes de 1º Programación II: Exámenes resueltos programación II

Enunciado-3-201806.pdf
Soluciones-3-201806SOL.pdf
Enunciado-4-201905-nt2-problema.pdf
Soluciones-4-201905-nt2-problema-SOL.pdf
Enunciado-5-practico201705.pdf
Soluciones-5-practico201705-SOL.pdf
Anónimo

@Anónimo

examenes

-

Programacion 2

Examenes Programacion 2

2021examenjunsol.pdf
2021-06sol.pdf
2020-06-PII.pdf
2020-06-PIISOL.pdf
Anónimo

@Anónimo

ejercicios

-

Ejercicios variados

He publicado nuevos ejercicios de 1º Programación II: Ejercicios variados

P3GestionCitas.pdf
P1IntervaloFechasENUN.pdf
P1IntervaloFechasSOL.pdf
EjercicioMenuPersona.pdf
Anónimo

@Anónimo

apuntes

-

Todos los apuntes / Transpas

He publicado nuevos apuntes de 1º Programación II: Todos los apuntes / Transpas

T2Coleccionesacotadasobjetos.pdf
T3ProgramacionModular.pdf
T4Introduccion-a-los-TADs.pdf
T5HerenciaPolimorfismo.pdf
T6Excepciones.pdf
T7Genercios-en-Java.pdf

He publicado nuevos practicas de 1º Programación II: Practica-Vacunacion.pdf

5 páginas

examenes

-

Exámenes Programación II

He publicado nuevos examenes de 1º Programación II: Exámenes Programación II

Abril16.pdf
Julio15.pdf
Julio162.pdf
Julio16.pdf
Junio18.pdf
Junio20.pdf

He publicado nuevos apuntes de 1º Programación II: ApuntesyExamen.pdf

25 páginas

He publicado nuevos apuntes de 1º Programación II: 3.pdf

18 páginas

He publicado nuevos apuntes de 1º Programación II: 2.pdf

9 páginas

He publicado nuevos apuntes de 1º Programación II: 1.pdf

9 páginas

examenes

-

Junio 2022 Programación 2 SOLUCIONADO

He publicado nuevos examenes de 1º Programación II: Junio 2022 Programación 2 SOLUCIONADO

2022jun-sol.pdf
2022jun.pdf

He publicado nuevos examenes de 1º Programación II: Coleccion-de-examenes-resueltos.pdf

7 páginas

He publicado nuevos practicas de 1º Programación II: vacunar.java

Miniatura no disponible

He publicado nuevos apuntes de 1º Programación II: Apuntes-Programacion-ll.pdf

9 páginas

He publicado nuevos examenes de 1º Programación II: Examen-01-06-2021-resuelto-.pdf

4 páginas

He publicado nuevos examenes de 1º Programación II: Examen-27-05-2019-resuelto-.pdf

4 páginas

He publicado nuevos apuntes de 1º Programación II: apuntesprograII.pdf

16 páginas

He publicado nuevos examenes de 1º Programación II: Examen-01-06-2018-resuelto.pdf

3 páginas

He publicado nuevos examenes de 1º Programación II: 2021-06.pdf

8 páginas
Anónimo

@Anónimo

examenes

-

Exámenes con solución

He publicado nuevos examenes de 1º Programación II: Exámenes con solución

201905-nt2-problema.pdf
201806SOL.pdf
201905-nt2-problema-SOL.pdf
201806.pdf
Anónimo

@Anónimo

apuntes

-

Apuntes

He publicado nuevos apuntes de 1º Programación II: Apuntes

06-transpas-modeliza.pdf
05-transpas-nombres.pdf
03-transpas-clases.pdf
02-transpas-objetos.pdf
01-transpas-enmarcha.pdf
09-transpas-indices.pdf
Anónimo

@Anónimo

apuntes

-

Diapositivas

He publicado nuevos apuntes de 1º Programación II: Diapositivas

T6HerenciaPolimorfismo.pdf
T5Pruebasdeprogramas.pdf
T4Problemas-con-TADs.pdf
T11ClasesyObjetos.pdf
T12ClasesyObjetos.pdf
T3ProgramacionModular.pdf

examenes

-

todos los exámenes con soluciones

He publicado nuevos examenes de 1º Programación II: todos los exámenes con soluciones

SolucionesExamenpracticomayo2016.pdf
examenEEJuliosol.pdf
EnunciadoMayo2015.pdf
SolucionesJulio2016.pdf
SolucionesMayo2015.pdf
SolucionesExamenpracticomayo2015.pdf

He publicado nuevos examenes de 1º Programación II: examenes.zip

Miniatura no disponible
zip

apuntes

-

apuntesss

He publicado nuevos apuntes de 1º Programación II: apuntesss

04-ejercicios-castillos.pdf
02-transpas-objetos.pdf
01-transpas-enmarcha.pdf
06-transpas-modeliza.pdf
11-transpas-tads.pdf
10-transpas-pilas.pdf

examenes

-

Segundo Parcial-2021-SOLUCIONADO

He publicado nuevos examenes de 1º Programación II: Segundo Parcial-2021-SOLUCIONADO

2021examenjun.pdf
2021examenjunsol.pdf

examenes

-

Segundo Parcial con SOLUCIONES-20182019

He publicado nuevos examenes de 1º Programación II: Segundo Parcial con SOLUCIONES-20182019

2018-ENUNCIADO.pdf
2019-SOLUCION.pdf
2018-SOLUCION.pdf
2019-ENUNCIADO.pdf

examenes

-

EXAMENES FINALES con SOLUCIÓN

He publicado nuevos examenes de 1º Programación II: EXAMENES FINALES con SOLUCIÓN

201905-nt2-problema-SOL.pdf
201806.pdf
201806SOL.pdf
201905-nt2-problema.pdf
Anónimo

@Anónimo

examenes

-

Examenes Explicados

He publicado nuevos examenes de 1º Programación II: Examenes Explicados

T2Coleccionesacotadasobjetos.pdf
enunciadoalmacenEE0.pdf
EnunciadoEE1CuentaCorriente.pdf

He publicado nuevos apuntes de 1º Programación II: Programacion-2.zip

Miniatura no disponible
zip
Anónimo

@Anónimo

He publicado nuevos examenes de 1º Programación II: Enunciado-Segundo-Parcial.pdf

3 páginas
Anónimo

@Anónimo

He publicado nuevos examenes de 1º Programación II: Examen-segundo-parcialPLANTILLA.pdf

3 páginas
Anónimo

@Anónimo

He publicado nuevos examenes de 1º Programación II: Examen-primer-parcialPLANTILLA.pdf

6 páginas
Anónimo

@Anónimo

He publicado nuevos apuntes de 1º Programación II: examenes.pdf

19 páginas
Anónimo

@Anónimo

He publicado nuevos apuntes de 1º Programación II: examenes.pdf

52 páginas

examenes

-

Exámenes resueltos Parcial 2

He publicado nuevos examenes de 1º Programación II: Exámenes resueltos Parcial 2

EnunciadoExamenpracticomayo2015.pdf
Solucionesabril2016.pdf
Progra2Parcial22019Solucion.pdf
SolucionesExamenpracticomayo2016.pdf
SolucionesExamenpracticomayo2015.pdf
Programacion2TestJunio18.pdf