Programación y Diseño Orientado a Objetos

Todo
Apuntes
Ejercicios
Exámenes
Prácticas
Trabajos
chevron_left
chevron_right
Anónimo

@Anónimo

Resumen ayuda para el examen extraordinario de prácticas

5 páginas

trabajos

-

Irrgarten 2025/2026

Prácticas en Java y Ruby, práctica 5 a parte en Java.

Miniatura no disponible
PDOOFINAL.zip

apuntes

-

Apuntes teoria

Apuntes tomados en clase

Diagramas-de-interaccion-secuencia-y-comunicacion.pdf
Apuntes-Herencia-Clae.pdf
Relacion-6-resuelta.pdf
Resumen-Examen-Final.pdf

ejercicios

-

Relacion Herencia Resuelta - PDOO

Relación de ejercicios resuelta en el propio PDF. El documento se centra en la resolución de errores comunes de Java en jerarquías de clases.

resuelta-relacion-herencia.pdf
ejercicio9.txt
ejercicio5.txt
ejercicio4.txt
ejercicio3.txt
ejercicio2.txt

He publicado nuevos apuntes de 2º Programación y Diseño Orientado a Objetos: pdoo-tema-3.pdf

4 páginas

Repaso temas 1 y 2 PDOO

16 páginas

Segundo parcial de prácticas de Juan de Miras.

1 página

apuntes

-

PDOO - 2º ING INF

He publicado nuevos apuntes de 2º Programación y Diseño Orientado a Objetos: PDOO - 2º ING INF

TEMA-1-Conceptos-basicos-de-PDOO.pdf
TEMA-2-Objetos-atributos-metodos-y-constructores.pdf
TEMA-2-Consultores-modificadores-y-elementos-de-agrupacion.pdf
TEMA-2-Diagramas-estructurales.pdf
TEMA-2-Diagramas-de-interaccion.pdf
examencosecha.pdf

ejercicios

-

Relación 6 Herencia Resuelta

He publicado nuevos ejercicios de 2º Programación y Diseño Orientado a Objetos: Relación 6 Herencia Resuelta

relacion-6.pdf
Miniatura no disponible
ejercicio12.java
Miniatura no disponible
ejercicio12.rb
Miniatura no disponible
ejercicio11.java
Miniatura no disponible
ejercicio9.java
Miniatura no disponible
ejercicio5.java

He publicado nuevos apuntes de 2º Programación y Diseño Orientado a Objetos: PDOO-1.pdf

15 páginas

apuntes

-

Resumenes Teoría

He publicado nuevos apuntes de 2º Programación y Diseño Orientado a Objetos: Resumenes Teoría

Resumen-T3-PDOO.pdf
Resumen-T1-y-2-PDOO.pdf

Parcial 2

3 páginas

Examen de A2 2025 de PDOO Prácticas. NO SE ASEGURA QUE ESTÉ BIEN.

Miniatura no disponible
zip

Examen de PDOO, segundo parcial del grupo de A2 de memoria Puntuación: 2 2 1 (5 puntos). Implementar en Java y en Ruby

3 páginas

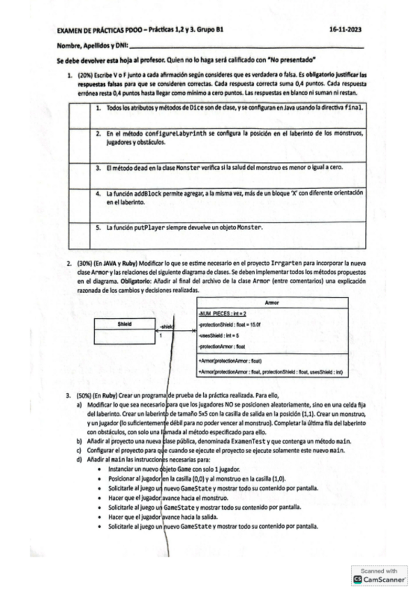
He publicado nuevos examenes de 2º Programación y Diseño Orientado a Objetos: EXAMEN-PRACTICAS-PDOO-IRRGARTEN-B1.pdf

5 páginas

examenes

-

Examenes Prácticas Prácticas 4-5

He publicado nuevos examenes de 2º Programación y Diseño Orientado a Objetos: Examenes Prácticas Prácticas 4-5

Segundo-Parcial-Practicas-2023.pdf
Segundo-Parcial-Practicas-2022.pdf
Segundo-Parcial-Practicas-2024-Ruby.pdf
Segundo-Parcial-Practicas-2024-Java.pdf

Examen parcial oficial de PDOO A2 Noviembre 2025

2 páginas

Código en Java y Ruby con el examen resuelto del 12 de noviembre de 2025. Calificación: 9,5. Cambiar en Java y Ruby, método Información, la cadena de Asignatura "getDatos()" por una variable resEst= getDatos(); res+= resEst ; El bucle en vez de Estudiante

Miniatura no disponible
zip

Examen parcial 2025 P1 P2 P3. Lo recuerdo de memoria pero es más o menos eso.

1 página

apuntes

-

Parcial Parcial Prácticas 1-3 2023 G.B1

He publicado nuevos apuntes de 2º Programación y Diseño Orientado a Objetos: Parcial Parcial Prácticas 1-3 2023 G.B1

pdooparcialpracticas2023b1.pdf
Miniatura no disponible
2023B1java.zip
Miniatura no disponible
2023B1ruby.zip

He publicado nuevos examenes de 2º Programación y Diseño Orientado a Objetos: SOLUCION-EXAMEN-PARCIAL-1-PDOO-PRACTICAS-B1.pdf

5 páginas

apuntes

-

Parcial Prácticas 2021 P1-3

PDF con los títulos de los ejercicios + ejemplo de resolución del programa pedido tanto en ruby como en java

Examen-PDOO-Practicas-1-3-2021.pdf
Miniatura no disponible
2021java.zip
Miniatura no disponible
2021ruby.zip

examenes

-

Parciales prácticas 1-3 PDOO

He publicado nuevos examenes de 2º Programación y Diseño Orientado a Objetos: Parciales prácticas 1-3 PDOO

Examen-PDOO-practica-1-2024.pdf
Examen-PDOO-practica-1-2021.pdf
Examen-PDOO-practica-1-2023.pdf
Examen-Practicas-2023-Modificacion-Irrgarten.pdf
Examen2-PDOO-practica-1-2023.pdf

practicas 1-3 (modulo 1) Irrgarten en Java

Miniatura no disponible
zip

Practicas 1-3 (modulo 1) IRRGARTEN

Miniatura no disponible
zip

He publicado nuevos practicas de 2º Programación y Diseño Orientado a Objetos: Apuntes-practicas-4-y-5.pdf

6 páginas

examenes

-

Exámenes PDOO

He publicado nuevos examenes de 2º Programación y Diseño Orientado a Objetos: Exámenes PDOO

2022-Ordinaria.pdf

De las enseñanzas del maestro Amoji no Bushi, guía para la comprensión de los objetos en POO

4 páginas

He publicado nuevos apuntes de 2º Programación y Diseño Orientado a Objetos: Tema-3.pdf

13 páginas

apuntes

-

TEMAS TEORIA PDOO

He publicado nuevos apuntes de 2º Programación y Diseño Orientado a Objetos: TEMAS TEORIA PDOO

TEMA-1-CONCEPTOS-BASICOS-DE-PDOO.pdf
TEMA-2.pdf
TEMA3-UML.pdf
07-UML.-DIAGRAMAS-DE-INTERACCION.pdf
08-HERENCIA.pdf
09-ESPECIFICADORES-DE-ACCESO-VISIBILIDAD.pdf

examenes

-

Parciales temas 1 y 2 resueltos

He publicado nuevos examenes de 2º Programación y Diseño Orientado a Objetos: Parciales temas 1 y 2 resueltos

Parcial-2022-resuelto-t1-y-t2.pdf
Examen-teoria-PDOO-resuelto-modelo-tipo.pdf

Resumen Tema 2

13 páginas

Resúmen Tema 1

1 página

He publicado nuevos examenes de 2º Programación y Diseño Orientado a Objetos: ParcialT1yT2Nuria.pdf

2 páginas

apuntes

-

Chuletas PDOO

Lo hice para un examen de practicas xd

Chuletario-java.pdf
Chuletario-ruby.pdf
Anónimo

@Anónimo

He publicado nuevos apuntes de 2º Programación y Diseño Orientado a Objetos: parcial2practicas.pdf

2 páginas
Anónimo

@Anónimo

He publicado nuevos apuntes de 2º Programación y Diseño Orientado a Objetos: parcial1practicas.pdf

1 página

He publicado nuevos ejercicios de 2º Programación y Diseño Orientado a Objetos: Ejercicio-clase-PDOO-Especificadores-acceso.pdf

4 páginas

ejercicios

-

Ejercicio básico (Alumno, Profesor, Asignatura)

Ejercicio básico resuelto en java

Miniatura no disponible
ejercicioBasico.zip
Ejercicio-basico-completo.pdf

He publicado nuevos apuntes de 2º Programación y Diseño Orientado a Objetos: Tema1-PDOO.pdf

2 páginas

apuntes

-

EXAMEN 2022 PDOO

He publicado nuevos apuntes de 2º Programación y Diseño Orientado a Objetos: EXAMEN 2022 PDOO

EXAMEN-2022-PDOO.pdf

apuntes

-

EXAMEN PRÁCTICAS PDOO

He publicado nuevos apuntes de 2º Programación y Diseño Orientado a Objetos: EXAMEN PRÁCTICAS PDOO

EXAMEN-PRACTICAS.pdf

apuntes

-

EXAMEN PRÁCTICAS BLOQUE 2-RUBY

He publicado nuevos apuntes de 2º Programación y Diseño Orientado a Objetos: EXAMEN PRÁCTICAS BLOQUE 2-RUBY

Miniatura no disponible
GameCharacter.rb
Miniatura no disponible
GameState.rb
Miniatura no disponible
Labyrinth.rb
Miniatura no disponible
LabyrinthCharacter.rb
Miniatura no disponible
Monster.rb
Miniatura no disponible
MonsterTrained.rb

apuntes

-

EXAMEN PRÁCTICAS BLOQUE 2-JAVA

He publicado nuevos apuntes de 2º Programación y Diseño Orientado a Objetos: EXAMEN PRÁCTICAS BLOQUE 2-JAVA

Miniatura no disponible
MainGUI.java
Miniatura no disponible
Team.java
Miniatura no disponible
Weapon.java
Miniatura no disponible
WeaponCarDeck.java
Miniatura no disponible
CarDeck.java
Miniatura no disponible
CombatElement.java

apuntes

-

EXAMEN PRÁCTICAS BLOQUE 1-RUBY

He publicado nuevos apuntes de 2º Programación y Diseño Orientado a Objetos: EXAMEN PRÁCTICAS BLOQUE 1-RUBY

Miniatura no disponible
Dice.rb
Miniatura no disponible
Directions.rb
Miniatura no disponible
examentest.rb
Miniatura no disponible
Game.rb
Miniatura no disponible
GameCharacter.rb
Miniatura no disponible
GameState.rb

apuntes

-

EXAMEN PRÁCTICAS BLOQUE 1-JAVA

He publicado nuevos apuntes de 2º Programación y Diseño Orientado a Objetos: EXAMEN PRÁCTICAS BLOQUE 1-JAVA

Miniatura no disponible
TextUI.java
Miniatura no disponible
main.java
Miniatura no disponible
Armor.java
Miniatura no disponible
Dice.java
Miniatura no disponible
Directions.java
Miniatura no disponible
Game.java