Todo
Apuntes
Preguntas
Ejercicios
Exámenes
Otros
Prácticas
publication
chevron_left
chevron_right

examenes

-

Exámenes resueltos

Hay parciales, ordinarios y extraordinarios hechos por pasos y con explicaciones, con esto saque un 7 en la asignatura

Examenes-resueltos.pdf

ejercicios

-

Ejercicios temas 1-8

Ejercicios propuestos de los temas hechos por pasos

Tema8.pdf
Tema7.pdf
Tema6.pdf
Tema5.pdf
Tema4.pdf
Tema3.pdf

He publicado nuevos apuntes de 2º Propagación de Ondas: ResumenCorto.pdf

11 páginas
Anónimo

@Anónimo

apuntes

-

Apuntes Propagación de ondas

He publicado nuevos apuntes de 2º Propagación de Ondas: Apuntes Propagación de ondas

EXAMENES-LAB.pdf

examenes

-

Examenes Propa

He publicado nuevos examenes de 2º Propagación de Ondas: Examenes Propa

ResolucionEnero23V4.pdf
2024.01.22ResolucionGlobalSegundoParcial.pdf

examenes

-

Primer Parcial

He publicado nuevos examenes de 2º Propagación de Ondas: Primer Parcial

2023.11.06-PrimerParcial.pdf
Primerparcialabril2024.pdf

He publicado nuevos ejercicios de 2º Propagación de Ondas: Ejercicios-Tema-8.pdf

10 páginas

He publicado nuevos ejercicios de 2º Propagación de Ondas: Ejercicios-Tema-7.pdf

4 páginas

He publicado nuevos ejercicios de 2º Propagación de Ondas: Ejercicios-Tema-6.pdf

6 páginas

He publicado nuevos ejercicios de 2º Propagación de Ondas: Ejercicios-Tema-5.pdf

6 páginas

He publicado nuevos ejercicios de 2º Propagación de Ondas: Ejercicios-Tema-4.pdf

9 páginas

He publicado nuevos ejercicios de 2º Propagación de Ondas: Ejercicios-Tema-3.pdf

6 páginas

He publicado nuevos ejercicios de 2º Propagación de Ondas: Ejercicios-Tema-2.pdf

9 páginas

He publicado nuevos ejercicios de 2º Propagación de Ondas: Ejercicios-Tema-1.pdf

3 páginas

ejercicios

-

Ejercicios propa

He publicado nuevos ejercicios de 2º Propagación de Ondas: Ejercicios propa

Tema-1-Propa-Ejs.pdf
Tema-2-Propa-Ejs.pdf
Tema-3-propa-ejs.pdf
Tema-4-Propa-ejs.pdf
Tema-6-Propa-Ejs.pdf
Tema-7-Propa-Ejs.pdf

apuntes

-

Ondas

Resúmenes que me hice para estudiar para la convocatoria. Teoría de los temas y de las prácticas.

Propagacion-de-ondas-resumen.pdf
Ondas-resumen-tema-1.pdf
Ondas-resumen-tema-2.pdf
Ondas-resumen-tema-3.pdf
Ondas-resumen-tema-4.pdf
Ondas-resumen-tema-5.pdf

apuntes

-

EJERCICIOS PEI2

He publicado nuevos apuntes de 2º Propagación de Ondas: EJERCICIOS PEI2

EJERCICIOS-SP7.pdf
EJERCICIOS-SP8.pdf
EJERCICIOS-PEI2.pdf

apuntes

-

LABORATORIO

He publicado nuevos apuntes de 2º Propagación de Ondas: LABORATORIO

LABORATORIO-MF.pdf
LABORATORIO-SG.pdf
LABORATORIO-AR.pdf
LABORATORIO-POR.pdf
LABORATORIO-SA.pdf

apuntes

-

EJERCICIOS PEI1

He publicado nuevos apuntes de 2º Propagación de Ondas: EJERCICIOS PEI1

EJERCICIOS-SP2.pdf
EJERCICIOS-SP4.pdf
EJERCICIOS-SP5.pdf
EJERCICIOS-SP6.pdf

apuntes

-

FORMULARIOS

He publicado nuevos apuntes de 2º Propagación de Ondas: FORMULARIOS

FORMULARIO-PEI-1.pdf
FORMULARIO-PEI-2.pdf

He publicado nuevos apuntes de 2º Propagación de Ondas: Resumen-todos-los-temas-con-formulas.pdf

4 páginas

He publicado nuevos ejercicios de 2º Propagación de Ondas: Ejercicios-propuestos-T2-Soluciones.pdf

5 páginas

He publicado nuevos ejercicios de 2º Propagación de Ondas: Ejercicios-Propuestos-T1.pdf

4 páginas

He publicado nuevos ejercicios de 2º Propagación de Ondas: Ejercicios-Propuestos-T3-Soluciones.pdf

6 páginas

He publicado nuevos ejercicios de 2º Propagación de Ondas: Ejercicios-Propuestos-T6-Soluciones.pdf

5 páginas

He publicado nuevos ejercicios de 2º Propagación de Ondas: Ejercicios-Propuestos-T4-Soluciones.pdf

3 páginas

He publicado nuevos ejercicios de 2º Propagación de Ondas: Ejercicios-Propuestos-T7-Soluciones.pdf

4 páginas

examenes

-

Propagación de Ondas

He publicado nuevos examenes de 2º Propagación de Ondas: Propagación de Ondas

PEI2-24.pdf
PEI2-extra-24.pdf
PEI1-24.pdf

ejercicios

-

Propagación de Ondas

He publicado nuevos ejercicios de 2º Propagación de Ondas: Propagación de Ondas

Tema-2-propa-problemas.pdf
Tema-5-propa-problemas.pdf
Tema-4-propa-problemas.pdf
Tema-3-propa-problemas.pdf

apuntes

-

Propagación de Ondas

He publicado nuevos apuntes de 2º Propagación de Ondas: Propagación de Ondas

Tema-2-propa.pdf
Repaso-propa.pdf
Tema-4-propa.pdf
Tema-5-propa.pdf
Tema-3-propa.pdf

apuntes

-

TEMAS RESUMIDOS ONDAS

He publicado nuevos apuntes de 2º Propagación de Ondas: TEMAS RESUMIDOS ONDAS

T1-ELECTRODINAMICA.pdf
T2-ONDAS-PLANAS-HOMOGENEAS.pdf
T3-REFLEXION-TRANSMISION-REFRACCION-DE-OPHM.pdf
T4-CAMPOS-ELECTROMAGNETICOS-EN-CONDUCTORES.pdf
T5-ONDAS-GUIADAS.pdf
T6-FUNDAMENTOS-DE-RADIACION.pdf

ejercicios

-

BOLETINES RESUELTOS

He publicado nuevos ejercicios de 2º Propagación de Ondas: BOLETINES RESUELTOS

BOLETIN-1.pdf
BOLETIN-2.pdf
BOLETIN-3.pdf
BOLETIN-4.pdf
BOLETIN-5.pdf
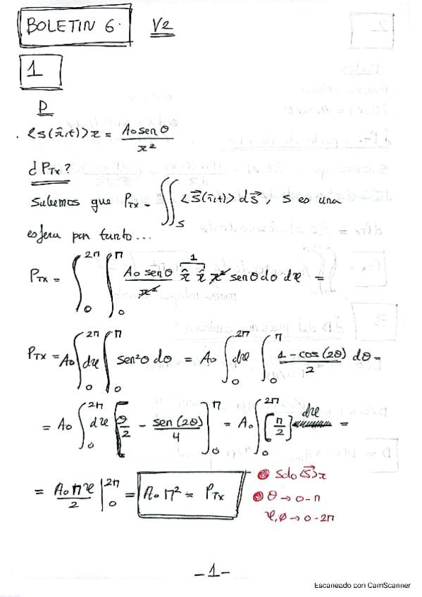
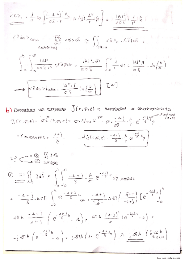
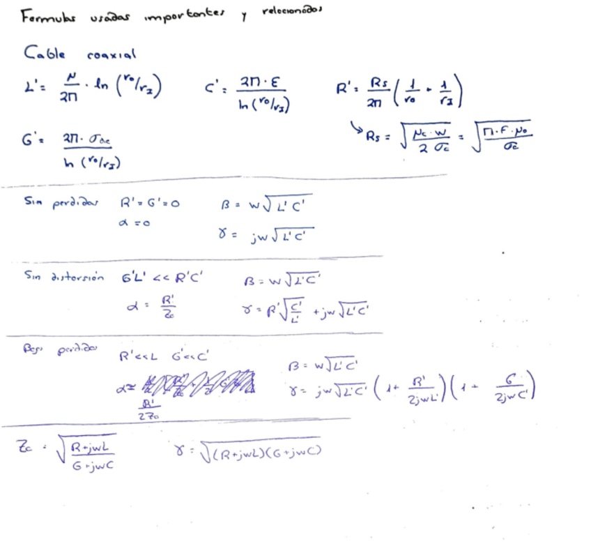
BOLETIN-6.pdf

practicas

-

PRACTICAS RESUELTAS

He publicado nuevos practicas de 2º Propagación de Ondas: PRACTICAS RESUELTAS

PRACTICA-1.pdf
PRACTICA-2.pdf
PRACTICA-3.pdf
PRACTICA-4.pdf
RESPUESTAS-P3.pdf
RESPUESTAS-P4.pdf

He publicado nuevos apuntes de 2º Propagación de Ondas: CHULETARIO-PRIMER-PARCIAL-PROPA-1.pdf

4 páginas

apuntes

-

TEORÍA SEGUNDO PARCIAL ONDAS

He publicado nuevos apuntes de 2º Propagación de Ondas: TEORÍA SEGUNDO PARCIAL ONDAS

TEMA-3.-2-PARTE.-Incidencia-oblicua.pdf
TEMA-4.-Campos-electromagneticos-en-conductores.pdf
TEMA-5.-Ondas-guiadas.pdf
TEMA-6.-Fundamentos-de-radiacion.pdf
TEMA-7.-Introduccion-a-la-radiopropagacion.pdf

He publicado nuevos apuntes de 2º Propagación de Ondas: CHULETARIO-Parcial-1.pdf

2 páginas

He publicado nuevos apuntes de 2º Propagación de Ondas: Chuletario-Segundo-Parcial.pdf

2 páginas
Anónimo

@Anónimo

He publicado nuevos examenes de 2º Propagación de Ondas: Primer-parcial-2025.pdf

6 páginas

apuntes

-

Apuntes PROPA

He publicado nuevos apuntes de 2º Propagación de Ondas: Apuntes PROPA

Tema-8-PROPA.pdf
Tema-7-PROPA.pdf
Tema-6-PROPA.pdf
Tema-5-PROPA.pdf
Tema-4-PROPA.pdf
Tema-3-PROPA.pdf

He publicado nuevos apuntes de 2º Propagación de Ondas: IMPORTANTE-BOLETINES(2o Parcial).pdf

8 páginas

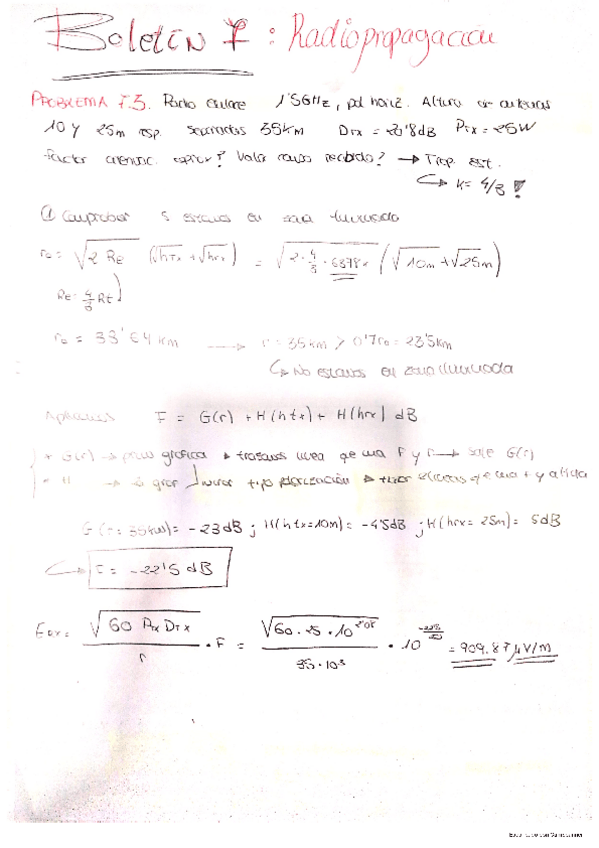
He publicado nuevos apuntes de 2º Propagación de Ondas: BOLETIN-7-RES.pdf

5 páginas

He publicado nuevos apuntes de 2º Propagación de Ondas: BOLETIN-6-RES.pdf

8 páginas

He publicado nuevos apuntes de 2º Propagación de Ondas: BOLETIN-TEMA-5.pdf

4 páginas

He publicado nuevos ejercicios de 2º Propagación de Ondas: BOLETIN-RES-TEMA4.pdf

10 páginas

He publicado nuevos apuntes de 2º Propagación de Ondas: Tema-5-Ondas-Guiadas.pdf

7 páginas

He publicado nuevos apuntes de 2º Propagación de Ondas: Tema-3-Reflexion-Transmision-Y-Refraccion-De-OPH-2.pdf

13 páginas

He publicado nuevos apuntes de 2º Propagación de Ondas: Tema-4-Campos-Electromagneticos-En-Conductores.pdf

7 páginas

apuntes

-

apuntes

He publicado nuevos apuntes de 2º Propagación de Ondas: apuntes

resumenes-tema-1.pdf
resumenes-tema-2.pdf
resumenes-tema-3.pdf
tema-4-ondas.pdf

He publicado nuevos apuntes de 2º Propagación de Ondas: Problema-1-Marzo-2024-Resuelto.pdf

2 páginas

He publicado nuevos apuntes de 2º Propagación de Ondas: Teoria-Tema-1-Y-2.pdf

4 páginas
Anónimo

@Anónimo

He publicado nuevos apuntes de 2º Propagación de Ondas: finalmayoespanolv3.0sol21-1.pdf

6 páginas
Anónimo

@Anónimo

He publicado nuevos apuntes de 2º Propagación de Ondas: FinalMayo201711.pdf

6 páginas
Anónimo

@Anónimo

He publicado nuevos apuntes de 2º Propagación de Ondas: EnunciadoPEI2Junio2023Castellano.pdf

8 páginas

He publicado nuevos apuntes de 2º Propagación de Ondas: mayo-sol.pdf

9 páginas
Anónimo

@Anónimo

He publicado nuevos apuntes de 2º Propagación de Ondas: Ondaespaciojunio201811.pdf

1 página
Anónimo

@Anónimo

He publicado nuevos apuntes de 2º Propagación de Ondas: 2024-pei-resuelta.pdf

10 páginas

He publicado nuevos apuntes de 2º Propagación de Ondas: Importante-primer-parcial-formulario.pdf

3 páginas

apuntes

-

Apuntes

He publicado nuevos apuntes de 2º Propagación de Ondas: Apuntes

Tema-2-Ondas-Planas-Homogeneas.pdf
Tema-1-Introduccion-A-La-Electrodinamica.pdf
Tema-3-Reflexion-Transmision-Y-Refraccion-De-OPH.pdf

He publicado nuevos examenes de 2º Propagación de Ondas: 23-24 1Parcial.pdf

1 página

He publicado nuevos apuntes de 2º Propagación de Ondas: Formulario + TIPS 1Parcial.pdf

3 páginas