chevron_left
chevron_right
Todo
Apuntes
Exámenes
chevron_left
chevron_right

He publicado nuevos examenes de 4º Proyectos I: ExamenResueltoMedioAmbiente-1.pdf

3 páginas

He publicado nuevos examenes de 4º Proyectos I: ExamenResueltoAnalisisEconomico-1.pdf

4 páginas

apuntes

-

Temas bien hechos

He publicado nuevos apuntes de 4º Proyectos I: Temas bien hechos

Tema-3.pdf
Tema-6.pdf
Tema-5.pdf
Tema-4.pdf
Tema-2.pdf
Tema-1.pdf

apuntes

-

Resumenenes proyecto 1

He publicado nuevos apuntes de 4º Proyectos I: Resumenenes proyecto 1

TEMA-4.pdf
TEMA-3.pdf
TEMA-1.pdf
TEMA-2.pdf

apuntes

-

Resumen completo

He publicado nuevos apuntes de 4º Proyectos I: Resumen completo

Problema-examen-2016-2017.pdf
Tema-1.pdf
Tema-2.pdf
Tema-3.pdf
Tema7.pdf
Tema-9.pdf

He publicado nuevos apuntes de 4º Proyectos I: PREGUNTAS-EXAMEN-TEORIA-PROYECTOS-1.pdf

13 páginas

apuntes

-

Apuntes Teoría Completos

He publicado nuevos apuntes de 4º Proyectos I: Apuntes Teoría Completos

TEMA-7.pdf
TEMA-I.pdf
TEMA-17.pdf
TEMA-13.pdf
TEMA-10.pdf
TEMA-14.pdf

apuntes

-

Resúmenes Completos Teoría PI

He publicado nuevos apuntes de 4º Proyectos I: Resúmenes Completos Teoría PI

TEMA-1-LA-INGENIERIA-DE-PROYECTOS-Y-SU-ORGANIZACION.pdf
TEMA-10-TIPOLOGIAS-DE-ARQUITECTURAS-BASICAS-DE-EDIFICIOS-Y-CONSTRUCCIONES.pdf
TEMA-3-NORMALIZACION-REGLAMENTOS-Y-LEGISLACION.pdf
TEMA-9-METODOLOGIA-DEL-LAY-OUT.pdf
TEMA-2-EL-PROYECTO-Y-EL-PROCESO-PROYECTUAL.pdf
TEMA-6-INGENIERIA-SOSTENIBLE-SOCIAL-AMBIENTAL-Y-ECONOMICA.pdf

He publicado nuevos apuntes de 4º Proyectos I: Proyectos1-Todaslaspracticas.pdf

53 páginas

He publicado nuevos apuntes de 4º Proyectos I: apuntes completos proyectos I.pdf

43 páginas

He publicado nuevos apuntes de 4º Proyectos I: tabla resumen ventajas distribucion planta.jpg

Imagen

examenes

-

Examen Resuelto Enero 2015

He publicado nuevos examenes de 4º Proyectos I: Examen Resuelto Enero 2015

P2a Examen Enero 2015.pdf
P2b Examen Enero 2015.pdf
P2c Examen Enero 2015.pdf
P1 Examen Enero 2015.pdf

He publicado nuevos examenes de 4º Proyectos I: P1 Examen Junio 2016.pdf

4 páginas

He publicado nuevos examenes de 4º Proyectos I: P3 Examen Junio 2015.pdf

2 páginas

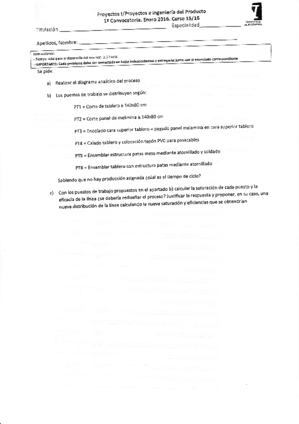
He publicado nuevos examenes de 4º Proyectos I: P1 Examen Enero 2016.pdf

4 páginas

He publicado nuevos examenes de 4º Proyectos I: P1 Examen Diciembre 2015.pdf

3 páginas

examenes

-

Examen Resuelto Diciembre 2016

He publicado nuevos examenes de 4º Proyectos I: Examen Resuelto Diciembre 2016

P2 Examen Diciembre 2016.pdf
P3 Examen Diciembre 2016.pdf

examenes

-

Examen Resuelto Septiembre 2016

He publicado nuevos examenes de 4º Proyectos I: Examen Resuelto Septiembre 2016

P1 Examen Septiembre 2016.pdf
P2 Examen Septiembre 2016.pdf
P4 Examen Septiembre 2016.pdf
P3 Examen Septiembre 2016.pdf
¡Estás al día!

¡Estás al día!

Has visto todos los archivos