chevron_left
chevron_right
Todo
Apuntes
Ejercicios
Exámenes
Prácticas
publication
Test
Trabajos
chevron_left
chevron_right

He publicado nuevos apuntes de 4º Proyectos: Recopilacion-De-Ejercicios-Examen-Proyectos.pdf

6 páginas

He publicado nuevos apuntes de 4º Proyectos: PROYECTOS-TEORIA-COMPLETA.pdf

38 páginas
Anónimo

@Anónimo

He publicado nuevos examenes de 4º Proyectos: Ejercicios-Examen-Proyectos.pdf

7 páginas

He publicado nuevos apuntes de 4º Proyectos: tema-2.pdf

2 páginas

He publicado nuevos apuntes de 4º Proyectos: tema-1.pdf

3 páginas

He publicado nuevos apuntes de 4º Proyectos: tema-3.pdf

1 página

He publicado nuevos apuntes de 4º Proyectos: tema-4.pdf

3 páginas

He publicado nuevos apuntes de 4º Proyectos: tema-5.pdf

3 páginas

He publicado nuevos apuntes de 4º Proyectos: tema-6.pdf

2 páginas

He publicado nuevos apuntes de 4º Proyectos: tema-7.pdf

4 páginas

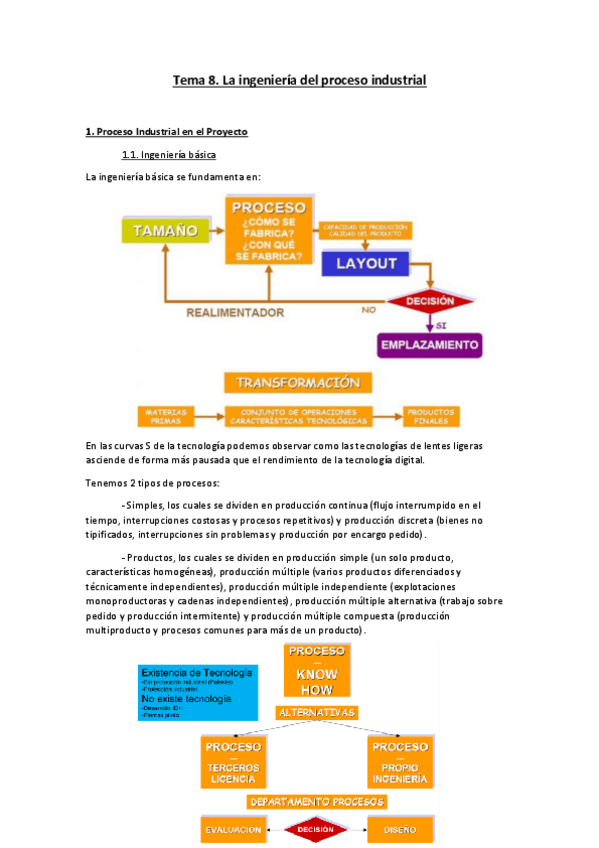
He publicado nuevos apuntes de 4º Proyectos: tema-8.pdf

4 páginas

He publicado nuevos apuntes de 4º Proyectos: tema-9.pdf

3 páginas

He publicado nuevos apuntes de 4º Proyectos: tema-11.pdf

3 páginas

Todo lo que necesitas saber de teoria para el examen

20 páginas

He publicado nuevos apuntes de 4º Proyectos: Ejercicios-Examen-Proyectos.pdf

10 páginas

Descubre las oportunidades que el Colegio Oficial de Ingenieros Industriales de Andalucía Occidental tiene reservadas para ti.

video

He publicado nuevos ejercicios de 4º Proyectos: ProblemaS-Examen.pdf

1 página
Anónimo

@Anónimo

test

-

Proyectos

He publicado nuevos test de 4º Proyectos: Proyectos

Preguntas-tipo-test-3-respuestas-solucion-al-final.pdf
TEORIA-PROYECTOS-resumen-teoria-y-preguntas-tipo-test.pdf

He publicado nuevos practicas de 4º Proyectos: Plantilla-de-resultadosP2.pdf

7 páginas

He publicado nuevos apuntes de 4º Proyectos: mejores-tecnicas-disponibles-en-la-industria-agroalimentaria.pdf

682 páginas

He publicado nuevos apuntes de 4º Proyectos: Implantacion-de-Plantas-Industriales-2014-154095986-1.pdf

112 páginas

He publicado nuevos apuntes de 4º Proyectos: CONSLEG-2007R1234-20090701-ES-TXT-1.pdf

253 páginas

He publicado nuevos apuntes de 4º Proyectos: RIPCIBOEA35159-35168.pdf

10 páginas

He publicado nuevos apuntes de 4º Proyectos: DBSImodif173-2010.pdf

90 páginas

He publicado nuevos apuntes de 4º Proyectos: Correccion-erratas-RD-2267-2004-RSCIEI.pdf

2 páginas

He publicado nuevos apuntes de 4º Proyectos: SUA.pdf

48 páginas

He publicado nuevos apuntes de 4º Proyectos: DocumentoTecnicoAccesibilidadAbril2012.pdf

186 páginas

He publicado nuevos apuntes de 4º Proyectos: 5.-Planificacion-y-programacion-del-proyecto.pdf

58 páginas

He publicado nuevos apuntes de 4º Proyectos: 4.-Definicion-del-alcance-del-proyecto1.pdf

Miniatura no disponible
22 páginas

He publicado nuevos apuntes de 4º Proyectos: 3.-Estudios-Previos1.pdf

67 páginas

He publicado nuevos apuntes de 4º Proyectos: 2.-Documentos-de-un-proyecto-tecnico.pdf

67 páginas

He publicado nuevos apuntes de 4º Proyectos: 1.-Introduccion-GITIGIQ.pdf

45 páginas

He publicado nuevos apuntes de 4º Proyectos: 6.-Mediciones-y-Presupuesto.pdf

72 páginas

He publicado nuevos apuntes de 4º Proyectos: Ejercicios-PROYECTOS_examen.pdf

14 páginas

He publicado nuevos apuntes de 4º Proyectos: Resumen-teoria-proyectos.pdf

18 páginas

He publicado nuevos apuntes de 4º Proyectos: PREGUNTAS-DE-EXAMEN-PROYECTOS.pdf

23 páginas

He publicado nuevos apuntes de 4º Proyectos: CUESTIONES-EXAMEN-2022-2023.pdf

4 páginas

practicas

-

Prácticas 1 y 2 (memoria e informe)

He publicado nuevos practicas de 4º Proyectos: Prácticas 1 y 2 (memoria e informe)

proyectosp1memoriavwuolah.pdf
proyectosp2informevwuolah.pdf

He publicado nuevos apuntes de 4º Proyectos: MemoriaPRACTICA.pdf

5 páginas

He publicado nuevos practicas de 4º Proyectos: Practicas-de-Gant.pdf

7 páginas

examenes

-

Cuestiones de exámenes y teoría completa

He publicado nuevos examenes de 4º Proyectos: Cuestiones de exámenes y teoría completa

Cuestiones-de-examen.pdf
Resumen-Teoria.pdf

practicas

-

Práctica 2

He publicado nuevos practicas de 4º Proyectos: Práctica 2

Informe-Comparacion.pdf
Enunciado.pdf
Miniatura no disponible
Practica-2.rar

He publicado nuevos examenes de 4º Proyectos: 50-Cuestiones-de-Examen-Resueltas.pdf

pdf

He publicado nuevos apuntes de 4º Proyectos: RESUMEN-PROYECTOS.pdf

pdf

examenes

-

Cuestiones RESUELTAS y TEORÍA

He publicado nuevos examenes de 4º Proyectos: Cuestiones RESUELTAS y TEORÍA

Cuestiones-de-examen.pdf
Resumen-Teoria.pdf

practicas

-

Práctica 1

He publicado nuevos practicas de 4º Proyectos: Práctica 1

Memoria.pdf
Enunciado.pdf

apuntes

-

Apuntes de teoria de todos los temas

He publicado nuevos apuntes de 4º Proyectos: Apuntes de teoria de todos los temas

4.pdf
1.pdf
2.pdf
5.pdf
7.pdf
3.pdf
Anónimo

@Anónimo

apuntes

-

Cuestiones y ejercicios

¡Todo lo necesario para aprobar! Es una recopilación de todos los documentos anteriores (salvo teoría desarrollada), así que deja de marearte.

Ejercicios-de-proyectos.pdf
Cuestiones-de-examen.pdf
Preguntas-desarrolladas.pdf

He publicado nuevos apuntes de 4º Proyectos: 50-CUESTiONES-RESUELTAS.pdf

12 páginas

apuntes

-

Exámenes y Tests de proyectos

He publicado nuevos apuntes de 4º Proyectos: Exámenes y Tests de proyectos

PREGUNTAS-DE-TEORIA-DE-PROYECTOS-RESUELTAS-1.pdf
PREGUNTAS-DE-TEORIA-DE-PROYECTOS-RESUELTAS.pdf
Miniatura no disponible
Examenes.zip
Miniatura no disponible
Examenes-proyecto.zip

He publicado nuevos apuntes de 4º Proyectos: TEORIA.pdf

1 página

He publicado nuevos apuntes de 4º Proyectos: NuevoDocumento-2020-01-26-15.pdf

4 páginas

He publicado nuevos apuntes de 4º Proyectos: NuevoDocumento-2020-01-26-15.pdf

6 páginas

He publicado nuevos examenes de 4º Proyectos: 2.jpg

Imagen

He publicado nuevos examenes de 4º Proyectos: 1.jpg

Imagen

He publicado nuevos examenes de 4º Proyectos: 1.jpg

Imagen

He publicado nuevos examenes de 4º Proyectos: 3.jpg

Imagen

apuntes

-

Las 25 preguntas que no vienen en ev

He publicado nuevos apuntes de 4º Proyectos: Las 25 preguntas que no vienen en ev

IMG20200121195211.jpg
IMG20200121195049.jpg

apuntes

-

Respuestas examen proyectos

He publicado nuevos apuntes de 4º Proyectos: Respuestas examen proyectos

Respuestas-examen-proyectos.pdf
problemas-preguntas-de-proyectos-.pdf