chevron_left
chevron_right
Todo
Ejercicios
Prácticas
chevron_left
chevron_right
Anónimo

@Anónimo

ejercicios

-

Ejercicios practica de aula

He publicado nuevos ejercicios de 4º Pruebas y Despliegue de Software: Ejercicios practica de aula

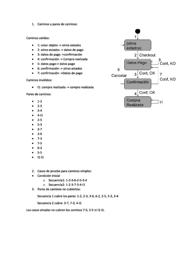
caminos-tienda-virtual.pdf
Enunciado-1-Impuiestos.pdf
Enunciado-1-Impuestos-Resuelto.pdf
Enunciado-1-Impuestos-Arbol-de-clasificacion-completo.pdf
Anónimo

@Anónimo

practicas

-

Practicas de laboratorio

He publicado nuevos practicas de 4º Pruebas y Despliegue de Software: Practicas de laboratorio

Ejemplo-practica-triangulo.pdf
¡Estás al día!

¡Estás al día!

Has visto todos los archivos