chevron_left
chevron_right
Todo
Apuntes
Exámenes
chevron_left
chevron_right

apuntes

-

RESUMS

He publicado nuevos apuntes de 2º psicologia aplicada a ciencias de la salud: RESUMS

PSICO-UNITAT-1.pdf

apuntes

-

Polete - Resumen (EHEBDS, V.E. Frankl)

He publicado nuevos apuntes de 2º psicologia aplicada a ciencias de la salud: Polete - Resumen (EHEBDS, V.E. Frankl)

Polete-Resumen-EHEBDS-V.pdf

examenes

-

EXAMENES PSICO

He publicado nuevos examenes de 2º psicologia aplicada a ciencias de la salud: EXAMENES PSICO

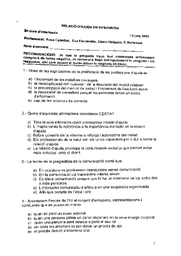
examen3.pdf
examen-2018-1.docx
examen.pdf
examen2.pdf

examenes

-

examenes psico

He publicado nuevos examenes de 2º psicologia aplicada a ciencias de la salud: examenes psico

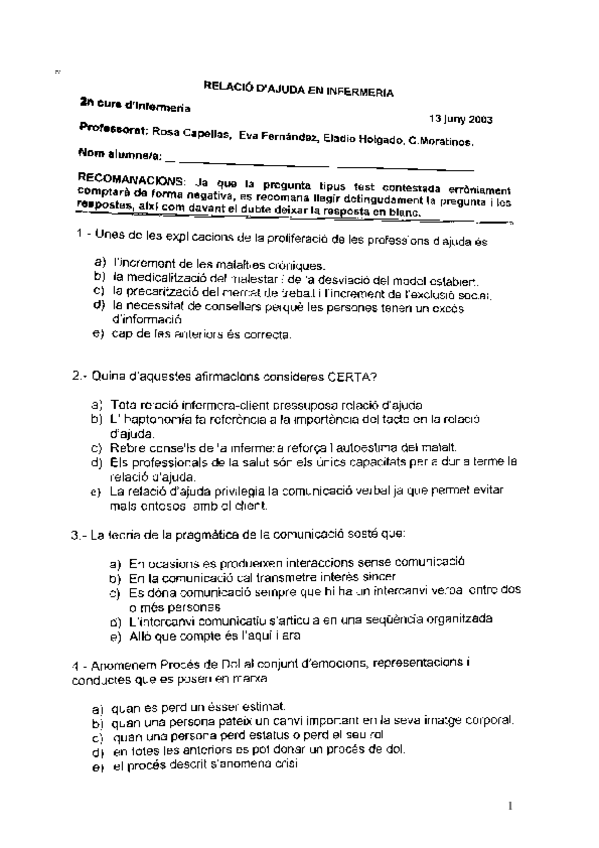
examen2.pdf
examen.pdf
examen3.pdf
¡Estás al día!

¡Estás al día!

Has visto todos los archivos