Psicología clínica II

chevron_left
chevron_right
Todo
Apuntes
Test
chevron_left
chevron_right

He publicado nuevos apuntes de 4º Psicología clínica II: Resumen-repaso-Clinica-2.pdf

15 páginas

apuntes

-

Autocuestionarios

He publicado nuevos apuntes de 4º Psicología clínica II: Autocuestionarios

Autocuestionario-Tema-1.pdf
Autocuestionario-Tema-2.pdf
AUTOCUESTIONARIO-TEMA-3.pdf
Autocuestionario-T4.pdf
Autoevaluacion-T6.pdf

apuntes

-

Apuntes Psicología Clínica 2

He publicado nuevos apuntes de 4º Psicología clínica II: Apuntes Psicología Clínica 2

Tema-1.-Ambitos-de-intervencion-en-psicologia-clinica.pdf
TEMA-2-EVALUACION-CLINICA-E-INTERVENCION-EN-TRASTORNOS-DE-ANSIEDAD.pdf
TEMA-3-EVALUACION-CLINICA-E-INTERVENCION-EN-TRASTORNOS-DEL-ESTADO-DE-ANIMO.pdf
TEMA-4-EVALUACION-CLINICA-E-INTERVENCION-EN-TRASTORNOS-SOMATOFORMES.pdf
TEMA-5-EVALUACION-CLINICA-E-INTERVENCION-EN-ESQUIZOFRENIA-Y-OTROS-TRASTORNOS-PSICOTICOS.pdf
TEMA-6-EVALUACION-CLINICA-E-INTERVENCION-EN-TRASTORNOS-DE-LA-PERSONALIDAD.pdf

apuntes

-

apuntes

He publicado nuevos apuntes de 4º Psicología clínica II: apuntes

T1-CLINICA-II.pdf
T3-CLINICA-2.pdf
T2-CLINICA-2.pdf
T4-CLINICA-2.pdf
T5-CLINICA-2.pdf

He publicado nuevos apuntes de 4º Psicología clínica II: Guia-Pautas-primera-entrevista-clinica-W.pdf

5 páginas

apuntes

-

Apuntes Clínica II

He publicado nuevos apuntes de 4º Psicología clínica II: Apuntes Clínica II

Tema-1.-Clinica-II.pdf

apuntes

-

Psicología Clínica II

He publicado nuevos apuntes de 4º Psicología clínica II: Psicología Clínica II

Tema-1-Ambitos-de-intervencion-en-psicologia-clinica.pdf
Tema-2-Ev.-e-Int.-en-Trastornos-de-ansiedad.pdf
Tema-3-Ev.-e-Int.-en-Trastornos-depresivos.pdf
Tema-4-Ev.-e-Int.-en-Trastornos-somatoformes.pdf
Tema-5-Ev.-e-Int.-en-Trastornos-psicoticos.pdf
Tema-6-Ev.-e-Int.-en-trastornos-de-Personalidad.pdf

apuntes

-

Apuntes Clinica II

He publicado nuevos apuntes de 4º Psicología clínica II: Apuntes Clinica II

Tema-5-Intervencion-en-ezquizofrenia.pdf
Tema-3-Evaluacion-clinica-e-intervencion-en-trastornos-del-estado-de-animo.pdf
Tema-4-Trastornos-somatoformes.pdf
Tema-1-Ambitos-de-intervencion-de-la-psicologia-clinica.pdf
Tema-2-Evaluacion-clinica-e-intervencion-en-trastornos-de-ansiedad.pdf

test

-

Autoevaluaciones

He publicado nuevos test de 4º Psicología clínica II: Autoevaluaciones

Autoevaluacion-tema-1.pdf

apuntes

-

Clínica II

He publicado nuevos apuntes de 4º Psicología clínica II: Clínica II

TEMA-1-CLINICA-II.pdf
TEMA-2-CLINICA-II.pdf
TEMA-3.1-CLINICA-II.pdf
TEMA-3.2-CLINICA-II.pdf
TEMA-4-CLINICA-II.pdf

He publicado nuevos apuntes de 4º Psicología clínica II: Bateria-de-Preguntas-Clinica-II.pdf

14 páginas

apuntes

-

ESQUEMAS CLÍNICA II

son esquemas de los apuntes ;)

ESQUEMA-TEMA-1.pdf
ESQUEMA-TEMA-2.A.pdf
ESQUEMA-TEMA-2.B.pdf
ESQUEMA-TEMA-2.C.pdf
ESQUEMA-TEMA-2.D.pdf
ESQUEMA-TEMA-3.pdf

apuntes

-

CLÍNICA II

He publicado nuevos apuntes de 4º Psicología clínica II: CLÍNICA II

TEMA-2.pdf
TEMA-2.pdf
TEMA-1.pdf
TEMA-2.pdf
TEMA-2.pdf
TEMA-5.pdf

apuntes

-

Psicología Clínica II

He publicado nuevos apuntes de 4º Psicología clínica II: Psicología Clínica II

PCII-Tema-7.pdf
PCII-Tema-1.pdf
PCII-Tema-4.pdf
PCII-Tema-3.pdf
PCII-Tema-2C.pdf
PCII-Tema-2A.pdf

apuntes

-

Clínica II

He publicado nuevos apuntes de 4º Psicología clínica II: Clínica II

Tema-1.pdf
Tema-2.pdf
Tema-2.pdf
Tema-3.pdf
Tema-2.pdf
Tema-7.pdf

He publicado nuevos apuntes de 4º Psicología clínica II: HIPOCONDRIA.pdf

16 páginas

He publicado nuevos apuntes de 4º Psicología clínica II: ANSIEDAD-SOCIAL.pdf

11 páginas

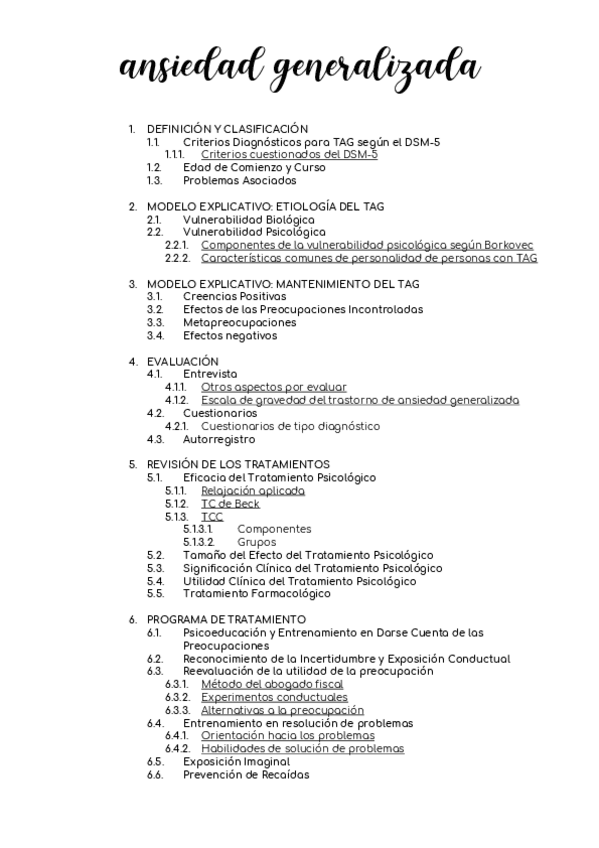
He publicado nuevos apuntes de 4º Psicología clínica II: TRASTORNO-DE-ANSIEDAD-GENERALIZADA.pdf

13 páginas

apuntes

-

Apuntes completos + preguntas

He publicado nuevos apuntes de 4º Psicología clínica II: Apuntes completos + preguntas

T5-Clinica-II.pdf
T2-Clinica-II.pdf
T6-ESQUEMA.pdf
T3-Clinica-II.pdf
BATERIA-DE-PREGUNTAS-PSICOLOGIA-CLINICA-2.pdf
T4-Clinica-II.pdf

apuntes

-

Fobias específicas

He publicado nuevos apuntes de 4º Psicología clínica II: Fobias específicas

Fobias-especificas.pdf

apuntes

-

Psicología clínica ll

He publicado nuevos apuntes de 4º Psicología clínica II: Psicología clínica ll

PERSONALIDAD.pdf
ESQUIZOFRENIA-Y-T-PSICOTICOS.pdf
T1-CLINICA.pdf
Anónimo

@Anónimo

He publicado nuevos apuntes de 4º Psicología clínica II: TRASTORNOS-DE-ANSIEDAD.pdf

45 páginas
Anónimo

@Anónimo

He publicado nuevos apuntes de 4º Psicología clínica II: DEPRESION.pdf

21 páginas
Anónimo

@Anónimo

He publicado nuevos apuntes de 4º Psicología clínica II: HIPOCONDRIA.pdf

10 páginas

apuntes

-

Psicología Clínica II

He publicado nuevos apuntes de 4º Psicología clínica II: Psicología Clínica II

Tema-5.pdf
Tema-3.pdf
Tema-2.pdf
Tema-6.pdf
Tema-4.pdf
Anónimo

@Anónimo

apuntes

-

Clínica

He publicado nuevos apuntes de 4º Psicología clínica II: Clínica

DEPRESION.pdf
HIPOCONDRIA.pdf
TRASTORNOS-DE-ANSIEDAD.pdf
Anónimo

@Anónimo

apuntes

-

Apuntes Psicología clínica II

He publicado nuevos apuntes de 4º Psicología clínica II: Apuntes Psicología clínica II

Tema 3 Tratamiento para la depresión.pdf
Tema 3 Modelos explicativos de la depresión.pdf
Tema 2 Tratamiento TAG.pdf
Tema 2 Etiología y mantenimiento TAG.pdf
Tema 3 Esquema tratamiento depresión.pdf
Tema 1 Tratamientos con apoyo empírico para diferentes trastornos en adultos.pdf

apuntes

-

Tema 4

He publicado nuevos apuntes de 4º Psicología clínica II: Tema 4

Evaluación clínica e intervención en los T. Somatoformes.pdf
Trastornos somatoformes.pdf
Resumen tema 4 psicologia clínica II.pdf

He publicado nuevos apuntes de 4º Psicología clínica II: Resumen tema 5 psicologia clínica II.pdf

10 páginas

apuntes

-

tema 2

He publicado nuevos apuntes de 4º Psicología clínica II: tema 2

Práctica 2.pdf
Tema 2. Evaluación e intervención en trastornos de ansiedad-completo.pdf

apuntes

-

tema 1

He publicado nuevos apuntes de 4º Psicología clínica II: tema 1

Tema 1.pdf
Práctica 1.pdf
Tema 1. Resumen.pdf
Tratamientos psicológicos adulto e infantil-SEPCyS-2002.pdf
Carrobles(1).pdf
psicología clínica y psicología sanitaria.pdf

libro

492 páginas

apuntes

-

tema 6

He publicado nuevos apuntes de 4º Psicología clínica II: tema 6

Violencia impulsividad e ira-.pdf
Tema 6. Resumen.pdf

He publicado nuevos apuntes de 4º Psicología clínica II: Tema 3. completo.pdf

66 páginas
¡Estás al día!

¡Estás al día!

Has visto todos los archivos