Todo
Apuntes
Ejercicios
Exámenes
Prácticas
chevron_left
chevron_right

apuntes

-

TEMARIO COMPLETO

He publicado nuevos apuntes de 3º Psicometría: TEMARIO COMPLETO

TEMA-6-TEORIA-DE-RESPUESTA-AL-ITEM.pdf
TEMA-5-ANALISIS-DE-LOS-ITEMS.pdf
TEMA-4-VALIDEZ.pdf
TEMA-3-FIABILIDAD.pdf
TEMA-2-LA-CONSTRUCCION-DE-UN-TEST.pdf
TEMA-1-INTRODUCCION-A-LA-PSICOMETRIA.pdf

He publicado nuevos apuntes de 3º Psicometría: Tema-2-La-construccion-de-un-test.pdf

12 páginas

He publicado nuevos apuntes de 3º Psicometría: TEMA-6-TEORIA-DE-RESPUESTA-AL-ITEM.pdf

4 páginas

He publicado nuevos apuntes de 3º Psicometría: TEMA-5-ANALISIS-DE-LOS-ITEMS.pdf

6 páginas

He publicado nuevos apuntes de 3º Psicometría: TEMA-3-FIABILIDAD.pdf

8 páginas

He publicado nuevos apuntes de 3º Psicometría: TEMA-4-VALIDEZ.pdf

6 páginas

He publicado nuevos apuntes de 3º Psicometría: Tema-1-Introduccion-a-la-psicometria.pdf

7 páginas

He publicado nuevos apuntes de 3º Psicometría: Tema-6-Teoria-de-respuestas-al-item.pdf

6 páginas

He publicado nuevos practicas de 3º Psicometría: Ejercicios-analisis-de-items.pdf

5 páginas

TEST TEMA 4 Y 5 CON RESPUESTAS

4 páginas

He publicado nuevos examenes de 3º Psicometría: TEST-TEMA-4-Y-5.pdf

4 páginas

He publicado nuevos apuntes de 3º Psicometría: Tema-5-Analisis-de-los-items.pdf

11 páginas

He publicado nuevos practicas de 3º Psicometría: Ejercicios-Validez.pdf

5 páginas

He publicado nuevos apuntes de 3º Psicometría: Tema-4-Psicometria.pdf

17 páginas

He publicado nuevos apuntes de 3º Psicometría: Tema-6.TEMA-6

Miniatura no disponible

He publicado nuevos apuntes de 3º Psicometría: Tema-5.TEMA-5

Miniatura no disponible

He publicado nuevos apuntes de 3º Psicometría: Tema-4.TEMA-4

Miniatura no disponible

He publicado nuevos apuntes de 3º Psicometría: TEMA-3.TEMA-3

Miniatura no disponible

He publicado nuevos apuntes de 3º Psicometría: TEMA-2.TEMA-2

Miniatura no disponible

Muy buenos, con gráficas

Miniatura no disponible

Corregidos

2 páginas

Corregidos

2 páginas

Corregidos

4 páginas

Corregidos

3 páginas

Corregidos

4 páginas

apuntes

-

Apuntes Psicometría

He publicado nuevos apuntes de 3º Psicometría: Apuntes Psicometría

Tema-1-Psicometria.pdf
Tema-2-Psicometria.pdf
Tema-3-Psicometria.pdf
Tema-4-Psicometria.pdf
Tema-5-Psicometria.pdf
Tema-6-Psicometria.pdf
Anónimo

@Anónimo

practicas

-

Prácticas todas resueltas

He publicado nuevos practicas de 3º Psicometría: Prácticas todas resueltas

P1.-Fiabilidad-I.pdf
P2.-Fiabilidad-II.pdf
P3.-Indice-kappa.pdf

He publicado nuevos examenes de 3º Psicometría: Examen-prueba-Antonio.pdf

4 páginas

He publicado nuevos examenes de 3º Psicometría: PREGUNTAS-PSICOMETRIA-1.pdf

5 páginas

apuntes

-

RESUMENES +

He publicado nuevos apuntes de 3º Psicometría: RESUMENES +

Tema-1.pdf
Tema-2.pdf
Tema-3.1.pdf
Tema-4-Validez.pdf
Tema-5.pdf
Tema-6.pdf

He publicado nuevos apuntes de 3º Psicometría: APUNTES-PARA-EL-EXAMEN-PRACTICO-DE-PSICOMETRIA.pdf

16 páginas

ejercicios

-

REPASO EXAMEN PRÁCTICAS 2024/2025

He publicado nuevos ejercicios de 3º Psicometría: REPASO EXAMEN PRÁCTICAS 2024/2025

FIABILIDAD-1.pdf
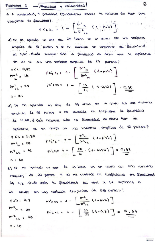
fiabilidad-2.pdf
KAPPA.pdf
Validez.pdf
Anónimo

@Anónimo

He publicado nuevos practicas de 3º Psicometría: Apuntes-Examen-Practicas.pdf

10 páginas

He publicado nuevos apuntes de 3º Psicometría: Tema-2-psicometria-resumido.pdf

3 páginas

He publicado nuevos apuntes de 3º Psicometría: Tema-1-psicometria-resumido.pdf

3 páginas

He publicado nuevos apuntes de 3º Psicometría: Tema-6-psicometría resumido.pdf

2 páginas

He publicado nuevos apuntes de 3º Psicometría: Tema-5-Psicometria-resumido.pdf

6 páginas

He publicado nuevos apuntes de 3º Psicometría: Tema-4-psicometria-resumido.pdf

5 páginas
Anónimo

@Anónimo

apuntes

-

APUNTES PSICOMETRIA

He publicado nuevos apuntes de 3º Psicometría: APUNTES PSICOMETRIA

TEMA-1-P.pdf
TEMA-2-P.pdf
TEMA-6-P.pdf

He publicado nuevos apuntes de 3º Psicometría: Tema-3-Psicometria-Resumido.pdf

10 páginas
Anónimo

@Anónimo

He publicado nuevos apuntes de 3º Psicometría: P-resumenes-tema-1-y-2.pdf

7 páginas

apuntes

-

Psicometría

He publicado nuevos apuntes de 3º Psicometría: Psicometría

Tema-1-P.pdf
Tema-2-P.pdf
Anónimo

@Anónimo

practicas

-

Prácticas todas

He publicado nuevos practicas de 3º Psicometría: Prácticas todas

Ejercicio-estadistico-MH.pdf
Practica-1-Fiabilidad.pdf
Practica-2-Fiabilidad.pdf
Practica-3-validez.pdf
Practica-4-analisis-de-items.pdf

He publicado nuevos apuntes de 3º Psicometría: Analisis-de-items-ejercicios-hechos.pdf

2 páginas

He publicado nuevos apuntes de 3º Psicometría: formulario-1-1.pdf

6 páginas

He publicado nuevos apuntes de 3º Psicometría: Validez-1.pdf

2 páginas
Anónimo

@Anónimo

He publicado nuevos apuntes de 3º Psicometría: PruebaEntrenamientoPsicometria2021.pdf

3 páginas
Anónimo

@Anónimo

apuntes

-

Psicometría

PWP + notas de clase

TEMA-1-INTRODUCCION-A-LA-PSICOMETRIA.pdf
Tema-4-VALIDEZ.pdf
TEMA-5-ANALISIS-DE-LOS-ITEMS.pdf
TEMA-6-Teoria-de-respuesta-al-item.pdf
TEMA-2-LA-CONSTRUCCION-DE-UN-TETS.pdf
Anónimo

@Anónimo

He publicado nuevos apuntes de 3º Psicometría: EXAMEN-PSICOMETRIA-2022-2023.pdf

3 páginas

He publicado nuevos examenes de 3º Psicometría: PRUEBA-DE-ASISTENCIA-PSICOMETRÍA-2023.pdf

8 páginas

apuntes

-

Psicometría

He publicado nuevos apuntes de 3º Psicometría: Psicometría

TEMA-3-FIABILIDAD.pdf
TEMA-4-Validez.pdf
TEMA-5-ANALISIS-DE-LOS-ITEMS.pdf
TEMA-1-Introduccion-a-la-psicometria.pdf
TEMA-2-La-construccion-de-un-test.pdf
TEMA-6-Teoria-de-Respuesta-al-Item.pdf
Anónimo

@Anónimo

He publicado nuevos apuntes de 3º Psicometría: EJERCICIOS-DE-ANALISIS-DE-ITEMS.pdf

3 páginas

apuntes

-

Psicometría

He publicado nuevos apuntes de 3º Psicometría: Psicometría

Ejercicio-Psiometria-Estadistico-MH.pdf
Fiabilidad-2.pdf
Fiabilidad1.pdf
Problemas-items.pdf
Variabilidad-1.pdf

practicas

-

Prácticas de psicometría explicadas detalladamente

He publicado nuevos practicas de 3º Psicometría: Prácticas de psicometría explicadas detalladamente

Practica-1-Fiabilidad.pdf
Practica-2Fiabilidad-II.pdf
Practica-3Validez.pdf
Practica-4Analisis-de-items.pdf
Anónimo

@Anónimo

He publicado nuevos apuntes de 3º Psicometría: EJERCICIOS-VALIDEZ.pdf

4 páginas

Practicas 2. Ejercicios resueltos

4 páginas
Anónimo

@Anónimo

He publicado nuevos apuntes de 3º Psicometría: EJERCICIOS-DE-FIABILIDAD-2.pdf

5 páginas

He publicado nuevos apuntes de 3º Psicometría: Fiabilidad-1.pdf

3 páginas
Anónimo

@Anónimo

He publicado nuevos apuntes de 3º Psicometría: EJERCICIOS-FIABILIDAD-1.pdf

3 páginas
Anónimo

@Anónimo

He publicado nuevos apuntes de 3º Psicometría: EJEMPLO-DE-PREGUNTAS-DEL-EXAMEN-DE-PSICOMETRIA-2.pdf

3 páginas