QUÍMICA ANALÍTICA

chevron_left
chevron_right
Todo
Apuntes
Ejercicios
Exámenes
chevron_left
chevron_right

Formulario de todos los temas de Química Analítica

5 páginas

He publicado nuevos examenes de 2º QUÍMICA ANALÍTICA: Tercer-parcial-complejos.pdf

1 página

He publicado nuevos examenes de 2º QUÍMICA ANALÍTICA: Segundo-parcial-grav-precip.pdf

3 páginas

He publicado nuevos ejercicios de 2º QUÍMICA ANALÍTICA: Problemes-Redox.pdf

17 páginas

He publicado nuevos ejercicios de 2º QUÍMICA ANALÍTICA: Problemes-Precipitacio.pdf

10 páginas

He publicado nuevos ejercicios de 2º QUÍMICA ANALÍTICA: Problemes-Gravimetria.pdf

4 páginas

He publicado nuevos ejercicios de 2º QUÍMICA ANALÍTICA: Problemes-Complexos.pdf

18 páginas

He publicado nuevos ejercicios de 2º QUÍMICA ANALÍTICA: Problemes-Acidesa.pdf

9 páginas

He publicado nuevos examenes de 2º QUÍMICA ANALÍTICA: Primer-parcial-acido-base.pdf

2 páginas

He publicado nuevos apuntes de 2º QUÍMICA ANALÍTICA: Indicadors-Solubilitat.pdf

6 páginas

He publicado nuevos apuntes de 2º QUÍMICA ANALÍTICA: Indicadors-acid-base.pdf

5 páginas

examenes

-

Exámenes resueltos química analítica

He publicado nuevos examenes de 2º QUÍMICA ANALÍTICA: Exámenes resueltos química analítica

enero-2024-QA-resuelto.pdf
julio-2019-QA-resuelto.pdf

ejercicios

-

Problemas resueltos sólidos inorgánicos inglés

He publicado nuevos ejercicios de 2º QUÍMICA ANALÍTICA: Problemas resueltos sólidos inorgánicos inglés

IS-U1-Solved-Probs.pdf
IS-U2-Solved-Probs.pdf
IS-U3-Solved-Probs.pdf
IS-U4-Solved-Probs.pdf

ejercicios

-

Ejercicios resueltos química analítica caste y valen

He publicado nuevos ejercicios de 2º QUÍMICA ANALÍTICA: Ejercicios resueltos química analítica caste y valen

Ejercicios-resueltos-acido-base-caste.pdf
Ejercicios-resueltos-acido-base-valen.pdf
Problemas-resueltos-complejos-valen.pdf
Ejercicios-resueltos-gravimetrias-caste-parte-1.pdf
Ejercicios-resueltos-gravimetrias-caste-parte-2.pdf
Ejercicios-resueltos-precipitacion-caste.pdf

He publicado nuevos apuntes de 2º QUÍMICA ANALÍTICA: EJERCICIOS-PRECIPITACION-G.CASTELLANO.pdf

6 páginas

He publicado nuevos apuntes de 2º QUÍMICA ANALÍTICA: EJERCICIOS-REDOX-G.CASTELLANO.pdf

21 páginas

He publicado nuevos apuntes de 2º QUÍMICA ANALÍTICA: EJERCICIOS-GRAVIMETRIAS-G.CASTELLANO.pdf

11 páginas

He publicado nuevos apuntes de 2º QUÍMICA ANALÍTICA: EJERCICIOS-FORMACION-DE-COMPLEJOS-G.CASTELLANO.pdf

10 páginas

He publicado nuevos apuntes de 2º QUÍMICA ANALÍTICA: EJERCICIOS-ACIDO-BASE-G.CASTELLANO.pdf

12 páginas

He publicado nuevos apuntes de 2º QUÍMICA ANALÍTICA: ESQUEMAS-TEMAS-CASTELLANO-ANALITICA.pdf

8 páginas

He publicado nuevos apuntes de 2º QUÍMICA ANALÍTICA: EXAMEN-PRACTICAS-ANALITICA-JULIO-2024.pdf

1 página

He publicado nuevos apuntes de 2º QUÍMICA ANALÍTICA: Examen-ANALITICA-ENERO-2025.pdf

1 página

He publicado nuevos apuntes de 2º QUÍMICA ANALÍTICA: Examen-PRACTICAS-ANALITICA-2025.pdf

1 página

apuntes

-

Esquemas

Esquemas temas

Esquema-Tema-4.pdf
Esquema-Tema-3.pdf

examenes

-

Examenes enero 2025

He publicado nuevos examenes de 2º QUÍMICA ANALÍTICA: Examenes enero 2025

examen-final.jpg
examen-practicas.jpg
Anónimo

@Anónimo

He publicado nuevos examenes de 2º QUÍMICA ANALÍTICA: EXAMENES-RESUELTOS.pdf

29 páginas
Anónimo

@Anónimo

He publicado nuevos ejercicios de 2º QUÍMICA ANALÍTICA: PROBLEMAS-RESUELTOS-TODOS-LOS-TEMAS-20232024.pdf

74 páginas

examenes

-

Examenes 2023-2024 Química Analítica

He publicado nuevos examenes de 2º QUÍMICA ANALÍTICA: Examenes 2023-2024 Química Analítica

ExamenPracticasQuimicaAnalitica2023-2024.jpeg.jpg
ExamenFinalQuimicaAnalitica2023-2024.Parte2.jpeg.jpg
ExamenFinalQuimicaAnalitica2023-2024.Parte1.jpeg.jpg

examenes

-

Exámenes corregidos

He publicado nuevos examenes de 2º QUÍMICA ANALÍTICA: Exámenes corregidos

2014-Julio-Resuelto.docx
2015-Enero-Resuelto.pdf
2015-Julio-Resuelto.pdf
2016-Enero-Resuelto.pdf
2016-Julio-Resuelto.pdf
2017-Enero-resuelto.pdf
Anónimo

@Anónimo

examenes

-

EXÁMENES 2023

He publicado nuevos examenes de 2º QUÍMICA ANALÍTICA: EXÁMENES 2023

Examen-final-2023.pdf
Examen-practicas-2023.pdf
Anónimo

@Anónimo

He publicado nuevos examenes de 2º QUÍMICA ANALÍTICA: Examen-Recuperacion-2023.pdf

1 página

He publicado nuevos apuntes de 2º QUÍMICA ANALÍTICA: Tema-5.-Valoraciones-Redox.pdf

49 páginas

He publicado nuevos apuntes de 2º QUÍMICA ANALÍTICA: Ejercicios-resueltos.pdf

72 páginas

He publicado nuevos apuntes de 2º QUÍMICA ANALÍTICA: Tema-4.-Valoraciones-Complexometricas.pdf

35 páginas

He publicado nuevos apuntes de 2º QUÍMICA ANALÍTICA: Tema-2.-Valoraciones-Acido-Base.pdf

70 páginas

He publicado nuevos apuntes de 2º QUÍMICA ANALÍTICA: Tema-3.-Valoraciones-de-Precipitacion.pdf

16 páginas

He publicado nuevos apuntes de 2º QUÍMICA ANALÍTICA: Tema-1.-Gravimetria.pdf

24 páginas

He publicado nuevos examenes de 2º QUÍMICA ANALÍTICA: 21-22-Examen-de-practicas.pdf

1 página

He publicado nuevos examenes de 2º QUÍMICA ANALÍTICA: 21-22-Final-Julio.pdf

1 página

He publicado nuevos apuntes de 2º QUÍMICA ANALÍTICA: examen-redox-parcial-2021-e0m.pdf

1 página

ejercicios

-

Ejercicios química analítica

He publicado nuevos ejercicios de 2º QUÍMICA ANALÍTICA: Ejercicios química analítica

Ejercicios-Volumetrias-de-formacion-de-complejos-RESUELTOS-quimica-analitica.pdf
Ejercicios-de-precipitacion-formacion-de-complejos-RESUELTOS-quimica-analitica.pdf
Ejercicios-Volumetrias-acido-base-RESUELTOS-quimica-analitica.pdf
Ejercicios-gravimetrias-RESUELTOS-quimica-analitica.pdf

examenes

-

Exámenes analitica

He publicado nuevos examenes de 2º QUÍMICA ANALÍTICA: Exámenes analitica

Examen-julio-2013.pdf
Controles-canals-17-18-1.pdf
Examen-enero-2014.pdf
Examen-final-solucion.pdf
Examen-25012017-resolt.pdf
Examen-final-julio-2014.pdf

examenes

-

Exámenes analítica

He publicado nuevos examenes de 2º QUÍMICA ANALÍTICA: Exámenes analítica

enero-2016-grupo-1.pdf
Enero-2017-grupo-1.pdf

examenes

-

Exámenes laboratorio

He publicado nuevos examenes de 2º QUÍMICA ANALÍTICA: Exámenes laboratorio

Examen-laboratorio-junio-2017.pdf
Examen-laboratorio-2013.pdf
Examen-laboratorio-enero-2016.pdf
Examen-laboratorio-diciembre-2015.pdf
Examen-laboratorio.pdf
Anónimo

@Anónimo

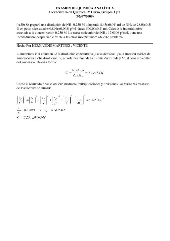
He publicado nuevos examenes de 2º QUÍMICA ANALÍTICA: Hecho-Por-HERNANDIS-MARTINEZ.docx

word

apuntes

-

examen resuelto

He publicado nuevos apuntes de 2º QUÍMICA ANALÍTICA: examen resuelto

EXAMEN-4-6-2010.bmp
Problema-6.bmp
Problema-2-por-hernandis.bmp
Problema-3-por-hernandis.bmp
Problema-3.bmp
Problema-1.bmp
Anónimo

@Anónimo

examenes

-

examenes quimica analitica

He publicado nuevos examenes de 2º QUÍMICA ANALÍTICA: examenes quimica analitica

Examen-de-analitica-14-diciembre-2006-RESUELTO.doc
Examen-de-analitica-1-Julio-2011-RESUELTO.doc
Examen-de-analitica-02-Julio-2009-RESUELTO.doc
Examen-de-analitica-8-Junio-2007-RESUELTO.doc
Examen-de-analitica-10-Junio-2006-8-2-examenes.doc
Anónimo

@Anónimo

examenes

-

exámenes resueltos

He publicado nuevos examenes de 2º QUÍMICA ANALÍTICA: exámenes resueltos

IMG8333.jpg
IMG8330.jpg
IMG8334.jpg
IMG8332.jpg
IMG8327.jpg
IMG8331.jpg
Anónimo

@Anónimo

examenes

-

exámenes resueltos

He publicado nuevos examenes de 2º QUÍMICA ANALÍTICA: exámenes resueltos

QA2v.docx
QA3v.docx
QA1v.docx
ExQA190111r.docx
ExQA180629v.docx
Anónimo

@Anónimo

examenes

-

exámenes resueltos

He publicado nuevos examenes de 2º QUÍMICA ANALÍTICA: exámenes resueltos

ExQA180125v.docx
C1vr.docx
ExQA170628v.docx
C3r.docx
ExQA160628v.docx
ExQA160114v.docx
¡Estás al día!

¡Estás al día!

Has visto todos los archivos