Química Analítica i Electroanàlisi

chevron_left
chevron_right
Todo
Apuntes
Ejercicios
Exámenes
Prácticas
Test
Trabajos
chevron_left
chevron_right

ejercicios

-

Resolucions detallades d'en Marc

Hola! Aquestes són les resolucions dels exercicis de QAiE, fets amb molt carinyo. Si detecteu errors o voleu fer suggerències, feu-m'ho saber. Aniré actualitzant.

QAiE-T1-Problemes.pdf
QAiE-T2-Problemes.pdf
QAiE-T5-Problemes.pdf
QAiE-T6-Problemes.pdf
QAiE-T7-Problemes.pdf
QAiE-T4-Problemes.pdf

apuntes

-

Apunts d'en Marc

Hola! Aquests són els apunts de Química Analítica i Electroanàlisi, fets amb molt carinyo. Si detecteu errors o voleu fer suggerències, feu-m'ho saber. Aniré actualitzant. DESCARREGUEU EL DOCUMENT, Wuolah fot coses rares i no es veu bé. Si el descarregeu

QAiE-T1-Apunts.pdf
QAiE-T2-Apunts.pdf
QAiE-T3-Apunts.pdf
QAiE-T4-Apunts.pdf
QAiE-T5-Apunts.pdf
QAiE-T6-Apunts.pdf

He publicado nuevos apuntes de 2º Química Analítica i Electroanàlisi: ANALITICA-T13.-POTENCIOMETRIA.pdf

14 páginas

apuntes

-

Resums d'en Marc

He publicado nuevos apuntes de 2º Química Analítica i Electroanàlisi: Resums d'en Marc

QAiE-T7-Resum-den-Marc.pdf
QAiE-T5-Resum-den-Marc.pdf
QAiE-T8--Quali-Resum-den-Marc.pdf
QAiE-T6-Resums-den-Marc.pdf
QAiE-T10-Resum.pdf
QAiE-T11-Resum.pdf

He publicado nuevos ejercicios de 2º Química Analítica i Electroanàlisi: 8.-Activitat-Extra-AE-6.pdf

1 página

He publicado nuevos ejercicios de 2º Química Analítica i Electroanàlisi: 11.-Activitat-Extra-AE-9.pdf

2 páginas

He publicado nuevos ejercicios de 2º Química Analítica i Electroanàlisi: 14.-Activitat-Avaluable-Potenciometria.pdf

2 páginas

He publicado nuevos apuntes de 2º Química Analítica i Electroanàlisi: QUIMICA-ANALITICA-T12.pdf

12 páginas

He publicado nuevos apuntes de 2º Química Analítica i Electroanàlisi: QUIMICA-ANALITICA-I-ELECTROANALISI-T11.pdf

4 páginas

He publicado nuevos apuntes de 2º Química Analítica i Electroanàlisi: QUIMICA-ANALITICA-I-ELECTROANALISI-TERCER-PARCIAL-T10.pdf

5 páginas

He publicado nuevos apuntes de 2º Química Analítica i Electroanàlisi: Analitica-Tema-9-Parte-I.pdf

6 páginas

He publicado nuevos apuntes de 2º Química Analítica i Electroanàlisi: QUIMICA-ANALITICA-I-ELECTROANALISI-TERCER-PARCIAL-PARTE-II.pdf

11 páginas

He publicado nuevos apuntes de 2º Química Analítica i Electroanàlisi: Formulari-2n-parcial.pdf

9 páginas

examenes

-

Materials d'estudi segon parcial

He publicado nuevos examenes de 2º Química Analítica i Electroanàlisi: Materials d'estudi segon parcial

QAiE-Test-P2.pdf
2P-Problemes-model.pdf

He publicado nuevos apuntes de 2º Química Analítica i Electroanàlisi: Exercicis-T8-Gravimetries.pdf

3 páginas

He publicado nuevos apuntes de 2º Química Analítica i Electroanàlisi: Exercicis-T7-Precipitacio.pdf

3 páginas

He publicado nuevos apuntes de 2º Química Analítica i Electroanàlisi: Exercicis-T6-Redox.pdf

7 páginas

He publicado nuevos apuntes de 2º Química Analítica i Electroanàlisi: Exercicis-T4.2-Poliprotics.pdf

6 páginas

He publicado nuevos apuntes de 2º Química Analítica i Electroanàlisi: Exercicis-T5-Complexacio.pdf

4 páginas

He publicado nuevos apuntes de 2º Química Analítica i Electroanàlisi: Esquema-T8-Gravimetries.pdf

2 páginas

He publicado nuevos apuntes de 2º Química Analítica i Electroanàlisi: Esquema-T7-Precipitacio.pdf

1 página

He publicado nuevos apuntes de 2º Química Analítica i Electroanàlisi: Esquema-T6-Redox.pdf

1 página

He publicado nuevos apuntes de 2º Química Analítica i Electroanàlisi: Esquema-T4.2-Poliprotics.pdf

2 páginas

He publicado nuevos apuntes de 2º Química Analítica i Electroanàlisi: Esquema-T5-Complexacio.pdf

2 páginas

He publicado nuevos apuntes de 2º Química Analítica i Electroanàlisi: P6.-Volumetries-redox.pdf

12 páginas

He publicado nuevos apuntes de 2º Química Analítica i Electroanàlisi: P5-Volumetries-de-formacio-de-complexos.pdf

9 páginas

He publicado nuevos apuntes de 2º Química Analítica i Electroanàlisi: P4.-Volumetria-acid-base-2a-part.pdf

6 páginas

He publicado nuevos apuntes de 2º Química Analítica i Electroanàlisi: T4.-Volumetria-acid-base-2a-part.pdf

6 páginas

He publicado nuevos ejercicios de 2º Química Analítica i Electroanàlisi: AE-3.pdf

2 páginas

He publicado nuevos ejercicios de 2º Química Analítica i Electroanàlisi: AE-10.pdf

2 páginas

He publicado nuevos ejercicios de 2º Química Analítica i Electroanàlisi: AE-9.pdf

1 página

He publicado nuevos ejercicios de 2º Química Analítica i Electroanàlisi: AE-8.pdf

2 páginas

He publicado nuevos ejercicios de 2º Química Analítica i Electroanàlisi: AE6.pdf

1 página

He publicado nuevos ejercicios de 2º Química Analítica i Electroanàlisi: AE-11.pdf

4 páginas

He publicado nuevos ejercicios de 2º Química Analítica i Electroanàlisi: AE-7.pdf

1 página

He publicado nuevos ejercicios de 2º Química Analítica i Electroanàlisi: AE-1.pdf

2 páginas

He publicado nuevos ejercicios de 2º Química Analítica i Electroanàlisi: AE-2.pdf

2 páginas

He publicado nuevos ejercicios de 2º Química Analítica i Electroanàlisi: AE-5.pdf

1 página

Respostes + explicació

4 páginas

He publicado nuevos examenes de 2º Química Analítica i Electroanàlisi: Preguntes-examens-test.pdf

2 páginas

He publicado nuevos apuntes de 2º Química Analítica i Electroanàlisi: Evi-electroanalisi.pdf

1 página

He publicado nuevos practicas de 2º Química Analítica i Electroanàlisi: Informe-practica-7.pdf

7 páginas

He publicado nuevos practicas de 2º Química Analítica i Electroanàlisi: Informe-Practica-8.pdf

13 páginas

He publicado nuevos practicas de 2º Química Analítica i Electroanàlisi: Informe-practica-1.pdf

9 páginas

Informes de casi todas las prácticas de química analítica

10 páginas
Anónimo

@Anónimo

He publicado nuevos test de 2º Química Analítica i Electroanàlisi: Evi-electroquimica.pdf

1 página

examenes

-

Evidencias resueltas electroquimica

He publicado nuevos examenes de 2º Química Analítica i Electroanàlisi: Evidencias resueltas electroquimica

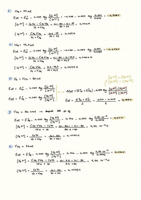
07f96ed1-843c-4afb-b83b-afd2999a95dd.jpeg
dd5e6123-58d8-4d55-96ee-cd5119dbb267.jpeg
51fa423b-22de-45bf-8543-8ee1fb8745b4.jpeg
424695d8-b4d4-492f-a405-a74cc79203d4.jpeg
0de90f5f-fba8-4971-895e-82e6ff42b21b.jpeg
02eb70d6-81c1-48cb-a920-0c77fb9296d7.jpeg

ejercicios

-

Problemes QAIE T1-T8

He publicado nuevos ejercicios de 2º Química Analítica i Electroanàlisi: Problemes QAIE T1-T8

PROBLEMES-T7-QAIE.pdf
PROBLEMES-T6-QAIE.pdf
PROBLEMES-T2i3-QAIE.pdf
PROBLEMES-T5-QAIE.pdf
PROBLEMES-T8-QAIE.pdf
PROBLEMES-T4-QAIE.pdf

He publicado nuevos apuntes de 2º Química Analítica i Electroanàlisi: activitats-extra-part-mireia.zip

Miniatura no disponible
zip

He publicado nuevos apuntes de 2º Química Analítica i Electroanàlisi: T1-T4a-primer-parcial.pdf

12 páginas

He publicado nuevos apuntes de 2º Química Analítica i Electroanàlisi: T5-Volumetries-de-formacio-de-complexos.pdf

7 páginas

He publicado nuevos apuntes de 2º Química Analítica i Electroanàlisi: Tema-5-Volumetrias-de-formacion-de-complejos.pdf

8 páginas

He publicado nuevos apuntes de 2º Química Analítica i Electroanàlisi: Tema-4b-Valoraciones-Poliproticos.pdf

7 páginas

He publicado nuevos apuntes de 2º Química Analítica i Electroanàlisi: ANALITICA-TEMA-4-b.pdf

4 páginas

He publicado nuevos apuntes de 2º Química Analítica i Electroanàlisi: P.4.-Volumetria-acid-base.pdf

15 páginas

He publicado nuevos apuntes de 2º Química Analítica i Electroanàlisi: T.4.-Volumetria-acid-base.pdf

7 páginas

para practicar preguntas de indicadores

5 páginas

examenes

-

Materials d'estudi primer parcial

Hola! Aquí penjaré un qüestionari, les evidències fetes fins al moment i preguntes d'exàmens d'anys anteriors resoltes per a pugueu estudiar.

QAiE-Test-1P.pdf
NO-RESOLTS-1P-Problemes-model-UAB.pdf
Evidencies-Primer-Parcial.pdf

practicar para el examen

14 páginas

He publicado nuevos apuntes de 2º Química Analítica i Electroanàlisi: ANALITICA-TEMA-3-ANALITICA.pdf

5 páginas