Química Analítica I

Todo
Apuntes
Ejercicios
Exámenes
Otros
Prácticas
Test
Trabajos
chevron_left
chevron_right

ejercicios

-

Ejercicios Analítica I

He publicado nuevos ejercicios de 2º Química Analítica I: Ejercicios Analítica I

Ejercicios-Tema-1.pdf
Ejercicios-Tema-3-Tipo-examen.pdf
Explicacion-de-especies-alcalinas.pdf
Ejercicios-Tema-4-volumetrias-acido-base.pdf
Problemas-Tema-4-de-examen.pdf
Problemas-de-examen-tema-4-2.pdf

examenes

-

EXAMENES 2024-2025 Con Solución

He publicado nuevos examenes de 2º Química Analítica I: EXAMENES 2024-2025 Con Solución

Parcial-2-Cuatri-2024-2025.pdf
Final-2024-2025.pdf

He publicado nuevos ejercicios de 2º Química Analítica I: Problemas-Tema-3.pdf

23 páginas

He publicado nuevos apuntes de 2º Química Analítica I: Apuntes-Tema-5.pdf

5 páginas

He publicado nuevos apuntes de 2º Química Analítica I: Apuntes-Tema-4.pdf

6 páginas

He publicado nuevos apuntes de 2º Química Analítica I: Apuntes Tema-3.pdf.pdf

7 páginas

He publicado nuevos apuntes de 2º Química Analítica I: Tema-2.pdf

4 páginas

He publicado nuevos apuntes de 2º Química Analítica I: Tema-1.pdf

1 página
Anónimo

@Anónimo

apuntes

-

Informes y hojas de datos (9)

He publicado nuevos apuntes de 2º Química Analítica I: Informes y hojas de datos (9)

Hoja-de-datos-2.pdf
Hoja-de-datos-3.pdf
Hoja-de-datos-4.pdf
Hoja-de-datos-5.pdf
Informe-practica-1.pdf
Informe-practica-6.pdf

apuntes

-

Todas las practicas de laboratorio

TODAS LAS PRACTICAS DE LABORATORIO CON NOTA MEDIA DE 9.

Practica-2-Hoja-de-datos.pdf
Memoria-practica-1.pdf
Memoria-Practica-6.pdf
Practica-3-hoja-de-datos.pdf
Practica-4-hoja-de-datos.pdf
Practica-5-Hoja-de-datos..pdf

He publicado nuevos apuntes de 2º Química Analítica I: EJERCICIOS-ANALITICA-I-2-CUATRI.pdf

51 páginas

practicas

-

Prácticas - Analítica I

He publicado nuevos practicas de 2º Química Analítica I: Prácticas - Analítica I

Practica-4.pdf
Practica-6.pdf

ejercicios

-

Ejercicios C 1 cuatri

Ejercicios entregables Temas 1-6

Ejercicio-C-T6.pdf
Ejercico-C-T5.pdf
Ejercicio-C-T4.pdf
Ejercicio-C-T3.pdf
Ejercicio-C-T1.pdf

He publicado nuevos apuntes de 2º Química Analítica I: teoria-segundo-parcial.pdf

2 páginas

ejercicios

-

ejercicios resueltos primer parcial

He publicado nuevos ejercicios de 2º Química Analítica I: ejercicios resueltos primer parcial

ejercicios-tema-3-resueltos.pdf
ejercicios-tema-4-resueltos.pdf
ejercicios-tema-5-resueltos.pdf
ejercicios-tema-6-resueltos.pdf

examenes

-

Química Analítica I- recopilación exámenes

He publicado nuevos examenes de 2º Química Analítica I: Química Analítica I- recopilación exámenes

2023-Final-extraordinaria.pdf
2022-Final-ordinaria.pdf
2022-Final-extraordinaria.pdf
2021-Final-ordinaria.pdf
2021-Final-extraordinaria.pdf
2015-Final-extraordinaria.pdf

He publicado nuevos examenes de 2º Química Analítica I: Final-ordinaria-204-2025.pdf

4 páginas

He publicado nuevos examenes de 2º Química Analítica I: 2-cuatri-parcial-2025.pdf

1 página

apuntes

-

Apuntes completos

He publicado nuevos apuntes de 2º Química Analítica I: Apuntes completos

Primer-cuatri.pdf
Segundo-cuatri.pdf
Anónimo

@Anónimo

He publicado nuevos examenes de 2º Química Analítica I: examen-final-ordinario-2025.pdf

4 páginas

apuntes

-

Formulario 1º Cuatri - Química Analítica I

He publicado nuevos apuntes de 2º Química Analítica I: Formulario 1º Cuatri - Química Analítica I

Formulario-Tema-3.pdf
Formulario-Tema-4.pdf

examenes

-

Examenes resueltos 1º Cuatri - Química Analítica I

He publicado nuevos examenes de 2º Química Analítica I: Examenes resueltos 1º Cuatri - Química Analítica I

Primer-parcial-2020-corregido.pdf
Primer-parcial-2021-corregido.pdf

ejercicios

-

Ejercicios resueltos 1º Cuatri - Química Analítica I

He publicado nuevos ejercicios de 2º Química Analítica I: Ejercicios resueltos 1º Cuatri - Química Analítica I

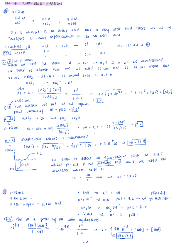
Tema-3.-Equilibrio-acido-base-de-especies-poliproticas.pdf
Tema-4.-Volumetrias-acido-base.pdf
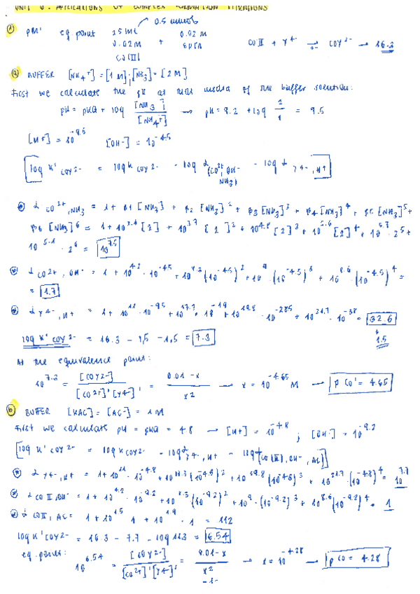
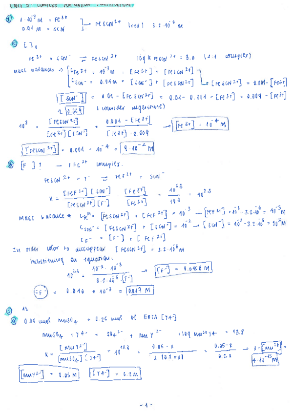
Tema-5.-Equilibrio-formacion-de-complejos.pdf
Tema-6.-Volumetrias-de-formacion-de-complejos.pdf

apuntes

-

Resúmenes 1º Cuatri - Química Analítica I

He publicado nuevos apuntes de 2º Química Analítica I: Resúmenes 1º Cuatri - Química Analítica I

Resumen-Equilibrio-acido-base.pdf
Resumen-Equilibrio-y-Volumetrias-ML.pdf

ejercicios

-

Ejercicios 1º cuatri

He publicado nuevos ejercicios de 2º Química Analítica I: Ejercicios 1º cuatri

Problemas-Tema-3.pdf
Problemas-Tema-4.pdf
Problemas-Tema-5.pdf

He publicado nuevos apuntes de 2º Química Analítica I: Resumen-Teoria-Laboratorio.pdf

11 páginas

practicas

-

Hojas de datos

He publicado nuevos practicas de 2º Química Analítica I: Hojas de datos

Hoja-de-datos.-Practica-1.pdf
Hoja-de-datos.-Pratica-2.pdf
Hoja-de-datos.-Pratica-3.pdf
Hoja-de-datos.-Pratica-4.pdf
Hoja-de-datos.-Pratica-5.pdf
Hoja-de-datos.-Pratica-6.pdf
Anónimo

@Anónimo

He publicado nuevos examenes de 2º Química Analítica I: EXAMEN de Laboratorio-Analitica.pdf

1 página
Anónimo

@Anónimo

He publicado nuevos apuntes de 2º Química Analítica I: Tema-3-academia.pdf

7 páginas

He publicado nuevos examenes de 2º Química Analítica I: Soluciones-2o-parcial-2025.pdf

Miniatura no disponible
10 páginas

He publicado nuevos apuntes de 2º Química Analítica I: Apuntes-EXAMEN-Laboratorio.pdf

7 páginas

practicas

-

Informes LABORATORIO

Informes P1 y P6 labo

Informe-Leche-P6.pdf
Informe-Kjeldahl-P1.pdf

He publicado nuevos practicas de 2º Química Analítica I: Hoja-de-datosLaboratorio-Analitica-1.pdf

19 páginas

ejercicios

-

Ejercicios Química Analítica I - 2º cuatri

He publicado nuevos ejercicios de 2º Química Analítica I: Ejercicios Química Analítica I - 2º cuatri

Ejercicios-tema-7.pdf
Ejercicios-tema-8.pdf

apuntes

-

Apuntes 2º cuatri

He publicado nuevos apuntes de 2º Química Analítica I: Apuntes 2º cuatri

Tema-7.-Precipitacion.pdf
Tema-8.-Redox.pdf

ejercicios

-

Ejercicios Resueltos 2º Cuatri - Química Analítica I

He publicado nuevos ejercicios de 2º Química Analítica I: Ejercicios Resueltos 2º Cuatri - Química Analítica I

Equilibrios-de-precipitacion-Completo.pdf
Volumetrias-de-precipitacion-Completo.pdf
Equilibrios-RedOx-Completo.pdf
Volumetrias-RedOx-Completo.pdf
Gravimetrias-de-precipitacion-Completo.pdf

He publicado nuevos examenes de 2º Química Analítica I: Segundo-examen-parcial-QAI-2016.pdf

1 página

He publicado nuevos examenes de 2º Química Analítica I: Segundo-examen-parcial-QAI-2024.pdf

2 páginas

apuntes

-

EJERCICIOS TEMA 8

He publicado nuevos apuntes de 2º Química Analítica I: EJERCICIOS TEMA 8

EJERCICIOS-REDOX.pdf
EJERCICIOS-VOLUMETRIAS-REDOX.pdf

apuntes

-

TEORÍA 2DO CUATRI

He publicado nuevos apuntes de 2º Química Analítica I: TEORÍA 2DO CUATRI

TEMA-7.pdf
TEMA-8.pdf

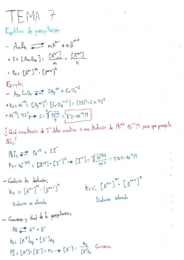
Apuntes detallados de: EQUILIBRIO DE PRECIPITACIÓN Y SUS APLICACIONES

8 páginas

apuntes

-

Apuntes 2º Parcial - Química Analítica I

He publicado nuevos apuntes de 2º Química Analítica I: Apuntes 2º Parcial - Química Analítica I

Tema-7.-Equilibrios-de-precipitacion-Completo.pdf
Tema-8.-Equilibrios-Redox-Completo.pdf

apuntes

-

Informes y hojas de datos

He publicado nuevos apuntes de 2º Química Analítica I: Informes y hojas de datos

Informe-Practica-1.pdf
Hoja-de-datos-practica-2.pdf
Hoja-de-datos-practica-3.pdf
Hoja-de-datos-practica-4.pdf
Hoja-de-datos-practica-5.pdf
Informe-Practica-6.pdf

apuntes

-

EJERCICIOS TEMA 7

He publicado nuevos apuntes de 2º Química Analítica I: EJERCICIOS TEMA 7

GRAVIMETRIAS.pdf
PRECIPITACION.pdf
VOLUMETRIAS-DE-PRECIPITACION.pdf

He publicado nuevos apuntes de 2º Química Analítica I: Informe-practica-1.pdf

13 páginas

He publicado nuevos apuntes de 2º Química Analítica I: Informe-practica-6.pdf

10 páginas

He publicado nuevos apuntes de 2º Química Analítica I: Hoja-de-datos-5.pdf

7 páginas

He publicado nuevos apuntes de 2º Química Analítica I: Hoja-de-datos-4.pdf

7 páginas

He publicado nuevos apuntes de 2º Química Analítica I: Hoja-de-datos-2.pdf

6 páginas

He publicado nuevos apuntes de 2º Química Analítica I: Hoja-de-datos-3.pdf

7 páginas

apuntes

-

Apuntes Química Analítica I - 2º cuatri

He publicado nuevos apuntes de 2º Química Analítica I: Apuntes Química Analítica I - 2º cuatri

Tema-7-Equilibrio-de-precipitacion-y-aplicaciones.-Volumetrias-de-precipitacion-y-gravimetrias.pdf
Tema-8-Equilibrio-de-oxidacion-reduccion-y-aplicaciones-de-las-volumetrias-de-oxidacion-reduccion.pdf

examenes

-

Exámenes laboratorio QAI

He publicado nuevos examenes de 2º Química Analítica I: Exámenes laboratorio QAI

Ex-Lab-QAI-marzo-2024.pdf
Ex-Lab-QAI-marzo-2023-grupos-ACE.pdf
Ex-Lab-QAI-marzo-2023-grupos-BDF.pdf
Ex-Lab-QAI-marzo-2022-grupos-ACE.pdf
Ex-Lab-QAI-marzo-2022-grupos-BDF.pdf
Ex-Lab-QAI-marzo-2021-grupos-ACE.pdf

examenes

-

Examenes laboratorio corregidos

He publicado nuevos examenes de 2º Química Analítica I: Examenes laboratorio corregidos

6-04-2018.pdf
Examen-ordinaria-2024-solucionado.pdf
Ordinaria-2023-grupo-BD-y-F.pdf
6-04-2017-grupos-AC-y-E.pdf
6-04-2017-grupos-BD-y-F.pdf
25-03-2019-grupos-AC-y-E.pdf

practicas

-

INFORMES LABORATORIO QUÍMICA ANALÍTICA CORREGIDOS CURSO 2024/2025

INFORMES DE LAB. Q.A CON NOTA

CHAT-GPT-P1.pdf
CHAT-GPT-P2.pdf
Determinacion-de-nitrogeno-proteico-en-harina-por-el-metodo-Kjeldahl-PRACTICA-1.pdf
Practica-2-Determinacion-de-vitamina-C-en-preparados-farmaceuticos-mediante-valoracion-redox.pdf

He publicado nuevos practicas de 2º Química Analítica I: Resumen-examen-laboratorio-quimica-analitica-I.pdf

7 páginas

He publicado nuevos apuntes de 2º Química Analítica I: resumen-examen-lab-QAI.pdf

3 páginas

practicas

-

Informes analítica

He publicado nuevos practicas de 2º Química Analítica I: Informes analítica

Practica-1-Metodo-Kjeldahl.pdf
Practica-2-Vitamina-C.pdf
Practica-3-Dureza-del-Agua.pdf
Practica-4-Valoracion-potenciometrica.pdf
Practica-5-Niquel-en-un-acero.pdf
Practica-6-Determinacion-de-calcio-en-leche.pdf

practicas

-

Laboratorio Química Analítica I - Hojas de datos e informes

He publicado nuevos practicas de 2º Química Analítica I: Laboratorio Química Analítica I - Hojas de datos e informes

Informe-practica-1.pdf
Informe-practica-6.pdf
Hoja-de-datos-practica-2.pdf
Hoja-de-datos-practica-3.pdf
Hoja-de-datos-practica-4.pdf
Hoja-de-datos-practica-5.pdf

He publicado nuevos apuntes de 2º Química Analítica I: TRABAJO-ARGENTOMETRIA.pdf

3 páginas

practicas

-

Química Analítica I- laboratorio

He publicado nuevos practicas de 2º Química Analítica I: Química Analítica I- laboratorio

cuestiones-P2.pdf
cuestiones-P3.pdf
cuestiones-P4.pdf
cuestiones-P5.pdf
informe-P1.pdf
informe-P6.pdf