Química Analítica II

Todo
Apuntes
Ejercicios
Exámenes
Otros
Prácticas
publication
Test
chevron_left
chevron_right
Anónimo

@Anónimo

examenes

-

Recopilación de Examenes Con Solución

He publicado nuevos examenes de 3º Química Analítica II: Recopilación de Examenes Con Solución

Enero-2025.pdf
Enero-2022.pdf
Enenero-2020.pdf
Julio-2021.pdf

examenes

-

Examenes Laboratorio Con Solución

He publicado nuevos examenes de 3º Química Analítica II: Examenes Laboratorio Con Solución

DICIEMBRE-2014.pdf
ENERO-2015.pdf
ENERO-2019.pdf
JULIO-2019.pdf

recomendacion de apuntes analitica II?

test

-

QA- II- cuestionarios

He publicado nuevos test de 3º Química Analítica II: QA- II- cuestionarios

cuestionario-Tema-1.pdf
cuestionario-Tema-3.pdf

practicas

-

Prácticas 1º cuatri. Nota media: 8,9

nota mínima 8,25. nota máxima 9,8

P3-mercurio-en-ostraCorregida.pdf
P4-zinc-calcio-y-hierro-en-lecheCorregida.pdf
P5-potasio-y-quinina-en-vinoCorregida.pdf
Paractica-2-selenio-en-ostra-informe.pdf
Practica-1-suelo-informe.pdf
Practica-6-acidos-grasos-trans-en-mantequilla.pdf

Resumenes de todas las prácticas

2 páginas

ejercicios

-

QA- II- entregables

He publicado nuevos ejercicios de 3º Química Analítica II: QA- II- entregables

Entregable-2-Tema-2.pdf
Entregable-3-Tema-2.pdf
Entregable-4-Tema-2.pdf
problema-1-Tema-2.pdf
Entregable-5-Tema-2.pdf
Entregable-6-Tema-4.pdf

test

-

Test Química Analítica II

He publicado nuevos test de 3º Química Analítica II: Test Química Analítica II

Test-tema-1-Introduccion-a-las-tecnicas-instrumentales.pdf
Test-tema-2-Tecnicas-opticas-moleculares.pdf

apuntes

-

Apuntes Química Analítica II

He publicado nuevos apuntes de 3º Química Analítica II: Apuntes Química Analítica II

Tema-1-Introduccion-a-las-tecnicas-instrumentales.pdf
Tema-2-Introduccion-a-la-quimiometria.pdf
Tema-3-Introduccion-a-las-tecnicas-opticas-de-analisis-ptndg.pdf
Tema-5-Tecnicas-analiticas-basadas-en-espectroscopia-de-luminiscencia-molecular.pdf
Tema-6-Tecnicas-analiticas-basadas-en-espectroscopia-atomica.pdf
Tema-4-Tecnicas-analiticas-basadas-en-espectroscopia-atomica.pdf
Anónimo

@Anónimo

practicas

-

P1 (INFORME(MUESTRA SUELO))

He publicado nuevos practicas de 3º Química Analítica II: P1 (INFORME(MUESTRA SUELO))

informecuestiones-P1-muestra-suelo.pdf
excel-P1informe-muestra-suelo.xlsx
Anónimo

@Anónimo

practicas

-

P2 (INFORME(OSTRA))

He publicado nuevos practicas de 3º Química Analítica II: P2 (INFORME(OSTRA))

informecuestiones-P2-ostra.pdf
exce-P2informe-ostra.xlsx
Anónimo

@Anónimo

practicas

-

P3 (ostra)

He publicado nuevos practicas de 3º Química Analítica II: P3 (ostra)

hojadecalculoscuestiones-P3-ostra.pdf
excel-P3ostra.xlsx
Anónimo

@Anónimo

practicas

-

P4(leche en polvo)

He publicado nuevos practicas de 3º Química Analítica II: P4(leche en polvo)

hojacalculoscuestiones-P4-leche-en-polvo.pdf
excel-p4.xlsx
Anónimo

@Anónimo

practicas

-

P5 (vino y tónica)

He publicado nuevos practicas de 3º Química Analítica II: P5 (vino y tónica)

hojadecalculoscuestiones-P5-vino-y-tonica.pdf
excel-P5vino-y-tonica.xlsx
Anónimo

@Anónimo

practicas

-

P6 (mantequilla)

He publicado nuevos practicas de 3º Química Analítica II: P6 (mantequilla)

hojadecalculoscuestiones-P6-mantequilla.pdf
excel-P6-mantequilla.xlsx
Anónimo

@Anónimo

practicas

-

P7 (vino)

He publicado nuevos practicas de 3º Química Analítica II: P7 (vino)

hojacalculoscuestionesP7vino.pdf
Excel-P7vino.xlsx
Anónimo

@Anónimo

practicas

-

Hojas de datos laboratorio

He publicado nuevos practicas de 3º Química Analítica II: Hojas de datos laboratorio

Practica-3-Cadmio-en-sedimentos.pdf
Practica-4-Cinc-y-calcio-en-leche.pdf
Practica-5-Potasio-en-vino-y-quinina-en-tonica-1.pdf
Practica-6-Acidos-grasos-trans-en-mantequilla-1.pdf
Practica-7-FeII-en-vino.pdf
Informe-Practica-1.pdf
Anónimo

@Anónimo

practicas

-

Informes Labo

He publicado nuevos practicas de 3º Química Analítica II: Informes Labo

Practica-5-potasio-en-vino-y-quinina-en-tonica.pdf
Practica-1-Determinacion-del-fosforo-en-suelo.pdf
Practica-2-Determinacion-del-selenio-en-ostra.pdf
Practica-3-Mercurio-en-ostra.pdf
Practica-7-FeII-y-FeIII-en-vino.pdf

ejercicios

-

Entregables Química Analítica II

He publicado nuevos ejercicios de 3º Química Analítica II: Entregables Química Analítica II

Entregable-1-Problema-1-tema-2.pdf
Entregable-2.pdf
Entregable-3.pdf
Entregable-4.pdf
Entregable-5.pdf
Entregable-6.pdf

practicas

-

INFORMES y HOJAS DE CÁLCULO COMPLETOS

He publicado nuevos practicas de 3º Química Analítica II: INFORMES y HOJAS DE CÁLCULO COMPLETOS

Practica-7.-FeII-y-FeIII-en-vino.pdf
Practica-6.-acidos-grasos-trans-en-mantequilla.pdf
Practica-5.-potasio-en-vino-y-quinina-en-tonica.pdf
Practica-4.-zinc-calcio-y-hierro-en-leche.pdf
Practica-3.-mercurio-en-ostra.pdf
Practica-2.-selenio-en-ostra.pdf

apuntes

-

Apuntes

He publicado nuevos apuntes de 3º Química Analítica II: Apuntes

TEMA-3-Introduccion-a-las-tecnicas-opticas-de-analisis..pdf
Tema-5.-Espectroscopia-de-emision-molecular.pdf

He publicado nuevos apuntes de 3º Química Analítica II: Tema-5.2-Quimioluminiscencia.pdf

3 páginas

apuntes

-

Temario completo

He publicado nuevos apuntes de 3º Química Analítica II: Temario completo

TEMA-3.pdf
TEMA-4.pdf
TEMA-5.pdf
TEMA-6.pdf
TEMA-7.pdf

He publicado nuevos apuntes de 3º Química Analítica II: Tema-5-Fotoluminiscencia.pdf

7 páginas

practicas

-

INFORMES Y HOJAS DE DATOS

He publicado nuevos practicas de 3º Química Analítica II: INFORMES Y HOJAS DE DATOS

Informe-P1-QA2.pdf
Informe-P2-QA2.pdf
Hoja-de-datos-P3.pdf
Hoja-de-datos-P4.pdf
Hoja-de-datos-P5.pdf
Hoja-de-datos-P6.pdf

He publicado nuevos apuntes de 3º Química Analítica II: Tema-4-Espectroscopía.pdf.pdf

15 páginas

He publicado nuevos apuntes de 3º Química Analítica II: Tema-3-Introduccion-a-las-tecnicas-opticas-de-analisis.pdf

11 páginas

practicas

-

Informes y hojas de datos (nota: 9,3)

He publicado nuevos practicas de 3º Química Analítica II: Informes y hojas de datos (nota: 9,3)

Practica-1.pdf
Practica-2-corregida.pdf
Practica-3-corregida.pdf
Practica-4-corregida.pdf
Practica-5-corregida.pdf
Practica-6.pdf

apuntes

-

ANALITICA II

Apuntes, formulas y ejemplos de ejercicios

TEMA-2.-PARTE-1.-APUNTES-Y-EJEMPLOS-DE-EJERCICIOS.pdf
TEMA-2.-PARTE-2.-APUNTES-Y-EJEMPLOS-DE-EJERCICIOS.pdf

He publicado nuevos ejercicios de 3º Química Analítica II: English-questionaire.pdf

2 páginas

practicas

-

Informes y Hojas de datos Laboratorio Química Analítica II

He publicado nuevos practicas de 3º Química Analítica II: Informes y Hojas de datos Laboratorio Química Analítica II

Informe-Practica-1-Determinacion-de-fosfor-por-espectroscopia-de-absorcion-molecular-UV-vis-en-una-muestra-de-suelo.pdf
Informe-Practica-2-DETERMINACION-DE-SELENIO-POR-ESPECTROSCOPIA-DE-ABSORCION-ATOMICA-CON-GENERACION-DE-HIDRUROS-EN-UNA-MUESTRA-DE-OSTRA.pdf
Practica-3-Mercurio-en-ostra.pdf
Practica-4-Zinc-Calcio-y-Hierro-en-leche.pdf
Practica-5-Potasio-en-vino-y-Quinina-en-tonica.pdf
Practica-6-Acidos-grasos-trans-en-mantequilla.pdf

He publicado nuevos apuntes de 3º Química Analítica II: Formulario-tema-2.pdf

2 páginas

apuntes

-

Ejercicios y entregas corregidos

He publicado nuevos apuntes de 3º Química Analítica II: Ejercicios y entregas corregidos

Ejercicio-entregable.pdf
ejercicios-tema-1.pdf
ejercicios-tema-2.pdf

He publicado nuevos apuntes de 3º Química Analítica II: Teoria-de-laboratorio-examen.pdf

10 páginas

He publicado nuevos apuntes de 3º Química Analítica II: Examen-tipo-test-corregido.pdf

3 páginas

He publicado nuevos apuntes de 3º Química Analítica II: Temario-completo.pdf

29 páginas

examenes

-

Exámenes parciales resueltos

He publicado nuevos examenes de 3º Química Analítica II: Exámenes parciales resueltos

Parcial-2021.pdf
Parcial-2020.pdf
Parcial-2019.pdf
Parcial-2018.pdf
Parcial-2025.pdf
Anónimo

@Anónimo

He publicado nuevos examenes de 3º Química Analítica II: Examen-enero-2025.pdf

4 páginas

He publicado nuevos apuntes de 3º Química Analítica II: Teoria-Completa.pdf

18 páginas

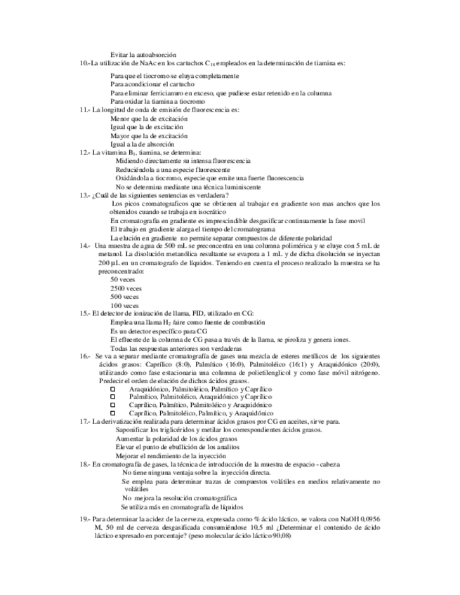
He publicado nuevos practicas de 3º Química Analítica II: CUESTIONES-EXAMEN-LABORATORIO-QAII.pdf

7 páginas

practicas

-

Exámenes Laboratorio

He publicado nuevos practicas de 3º Química Analítica II: Exámenes Laboratorio

Enero-2015.pdf
Julio-2019-241215101111.pdf
2014241214130129.pdf
Enero-2019241214193242.pdf

apuntes

-

Resúmenes

He publicado nuevos apuntes de 3º Química Analítica II: Resúmenes

Resumen-Tema-1241206190537.pdf
Resumen-T2241206190211.pdf
Resumen-Instrumentacion.pdf

examenes

-

Exámenes

He publicado nuevos examenes de 3º Química Analítica II: Exámenes

Junio-2022-250115175746.pdf
examen-2021-enero-250111110921.pdf
Enero-2022250110121603.pdf
Examen-Junio-2023QA-II-B250114203113.pdf
Enero-2019250115175617.pdf
Enero-2020250115175701.pdf

apuntes

-

Informes, hojas de datos y excels con nota

He publicado nuevos apuntes de 3º Química Analítica II: Informes, hojas de datos y excels con nota

calculo-practica-1.xlsx
calculos-practica-2.xlsx
calculos-practica-3.xlsx
calculos-practica-4.xlsx
calculos-practica-6.xlsx
calculos-practica-7.xlsx

apuntes

-

Exámenes (preguntas T.2)

He publicado nuevos apuntes de 3º Química Analítica II: Exámenes (preguntas T.2)

Examen-Campus-1-preguntas-T.2.pdf
Examen-Clase.pdf
Examen-Campus-2-preguntas-T.2.pdf
Anónimo

@Anónimo

examenes

-

colección exámenes corregidos

He publicado nuevos examenes de 3º Química Analítica II: colección exámenes corregidos

Examen-2021.pdf
Examen-2020.pdf
Wxamen-2019.pdf
Miniatura no disponible
Examen-2018.pdf
Examen-2017.pdf
Examen-2016.pdf

He publicado nuevos examenes de 3º Química Analítica II: Control-T.1.pdf

1 página

He publicado nuevos examenes de 3º Química Analítica II: Control-T.4-Y-T.5.pdf

2 páginas

apuntes

-

Apuntes para examen parcial

He publicado nuevos apuntes de 3º Química Analítica II: Apuntes para examen parcial

Tema-7.pdf
Temas-3-a-7.pdf

He publicado nuevos apuntes de 3º Química Analítica II: APUNTES-TEMA-4.pdf

4 páginas

He publicado nuevos apuntes de 3º Química Analítica II: APUNTES-TEMA-3.pdf

2 páginas

apuntes

-

Apuntes teoría

He publicado nuevos apuntes de 3º Química Analítica II: Apuntes teoría

TEMA-1.pdf

examenes

-

Exámenes Laboratorio

He publicado nuevos examenes de 3º Química Analítica II: Exámenes Laboratorio

Examen-1.pdf
Examen-3.pdf
Examen-2.pdf
Examen-4.pdf

He publicado nuevos apuntes de 3º Química Analítica II: Practicas-Laboratorio.pdf

14 páginas

He publicado nuevos examenes de 3º Química Analítica II: EXAMEN-LABORATORIO-JULIO-2019.pdf

4 páginas

He publicado nuevos apuntes de 3º Química Analítica II: apuntes-para-examen-lab..pdf

6 páginas

examenes

-

EXAMENES LABORATORIO RESUELTOS

He publicado nuevos examenes de 3º Química Analítica II: EXAMENES LABORATORIO RESUELTOS

DICIEMBRE-2014.pdf
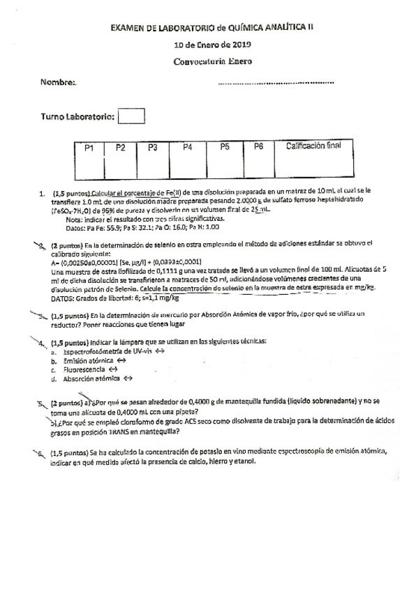
ENERO-2019.pdf
ENERO-2015.pdf

He publicado nuevos examenes de 3º Química Analítica II: RESUMEN-EXAMEN-LABORATORIO.pdf

16 páginas

practicas

-

informes y hojas de datos

He publicado nuevos practicas de 3º Química Analítica II: informes y hojas de datos

p3-hoja-de-datos.pdf
p4-hoja-de-datos.pdf
p5-hoja-de-datos.pdf
p6-hoja-de-datos.pdf
p7-hoja-de-datos.pdf
p1-informe.pdf