Química Aplicada a la Biología

Todo
Apuntes
Ejercicios
Exámenes
Otros
Prácticas
publication
Test
Trabajos
chevron_left
chevron_right

ejercicios

-

Seminarios resueltos

He publicado nuevos ejercicios de 1º Química Aplicada a la Biología: Seminarios resueltos

Seminario-1.pdf
Seminario-2.-1-15.pdf
Ejercicio-10-Seminario-7-Parte-2.pdf
Ejercicio-11-Seminario-7-Parte-2.pdf
Ejercicio-12-Seminario-7-Parte-2.pdf
Ejercicios-22-23-26-Seminario-7-Parte-3.pdf

Reactividad

2 páginas

test

-

Cuestionarios "hacer química" con soluciones

He publicado nuevos test de 1º Química Aplicada a la Biología: Cuestionarios "hacer química" con soluciones

Cuestionario-Bloque-3.-Estructura-de-los-compuestos-organicos.pdf
Cuestionario-Bloque-4.-Reactividad.pdf
Cuestionario-Bloque-5.-Hidratos-de-Carbono.pdf
Cuestionario-Bloque-1.-Disoluciones-y-pH.pdf
Cuestionario-Bloque-2.-Redox.pdf

He publicado nuevos ejercicios de 1º Química Aplicada a la Biología: Q-Organica-ejercicios-estereoisomeria-y-reacciones.pdf

10 páginas

examenes

-

Ex Final Ordinario Teoría Enero 2022

Examen resuelto de la final ordinaria de 2022.

Ex-Final-Ordinario-Teoria-Enero-2022.pdf
EXAMEN-QUIMICA-2022-final-ordinaria.pdf

apuntes

-

EJERCICIOS Q. ORGÁNICA E INORGÁNICA

He publicado nuevos apuntes de 1º Química Aplicada a la Biología: EJERCICIOS Q. ORGÁNICA E INORGÁNICA

Inorganica.pdf
Seminario-organica-Tema-7.-Parte-B..pdf
Seminario temas 1 y 2 (inorgánica).pdf
Seminario tema 5 (orgánica).pdf
Seminario tema 6 (orgánica).pdf
Tutoria-de-dudas.pdf

He publicado nuevos examenes de 1º Química Aplicada a la Biología: Quimica-varios-examenes-finales.pdf

7 páginas

Ejercicios del seminario 7 parte 3-azúcares.

13 páginas

Buenas! Tenéis en mi perfil ejercicios resueltos de seminarios de química orgánica y química inorgánica :)

He publicado nuevos apuntes de 1º Química Aplicada a la Biología: Q-Organica-Carbohidratos.pdf

8 páginas

He publicado nuevos apuntes de 1º Química Aplicada a la Biología: Q-Organica-Reacciones.pdf

7 páginas

Ejercicios resueltos completos tema 7 parte 2

16 páginas

Ejercicios resueltos completos, tema 7 parte 1

10 páginas

Buenas! Tenéis en mi perfil ejercicios resueltos de seminarios de química orgánica y química inorgánica :)

apuntes

-

Resúmenes

He publicado nuevos apuntes de 1º Química Aplicada a la Biología: Resúmenes

Resumen-organica-Isomeria.pdf
Resumen-organica-Reactividad.pdf
Resumen-organica-Hidratos-de-Carbono.pdf

He publicado nuevos apuntes de 1º Química Aplicada a la Biología: control 2 (2023) resuelto.pdf

2 páginas

ejercicios

-

1º Parcial Seminarios y Exámenes ejemplo

He publicado nuevos ejercicios de 1º Química Aplicada a la Biología: 1º Parcial Seminarios y Exámenes ejemplo

Seminario-Tema-2-2025-26.pdf
Seminario-Tema-3-2025-26.pdf
Seminario-Tema-4-2025-26.pdf
Control 1 ejemplo de repaso resuelto.pdf
1º Parcial ejemplo de repaso resuelto.pdf
Seminario-Tema-1.pdf

apuntes

-

TODO Química Orgánica

He publicado nuevos apuntes de 1º Química Aplicada a la Biología: TODO Química Orgánica

Tema-7-Parte-A-B-y-C-Tabla-Resumen.pdf
Tema5QuimicaOrganica.pdf
Tema6Isomeria3D.pdf
Tema6TablasVisuales.pdf
Tema7ParteAReactividadOrganica.pdf
Tema7ParteBReactividadOrganica.pdf

He publicado nuevos apuntes de 1º Química Aplicada a la Biología: control 2 (2025) resuelto.pdf

1 página

He publicado nuevos apuntes de 1º Química Aplicada a la Biología: resumen-primer-parcial-quimica.pdf

9 páginas
Anónimo

@Anónimo

He publicado nuevos apuntes de 1º Química Aplicada a la Biología: Quimica-tema-5.pdf

20 páginas

apuntes

-

Resumen cinética

He publicado nuevos apuntes de 1º Química Aplicada a la Biología: Resumen cinética

image.jpg
image.jpg
Anónimo

@Anónimo

apuntes

-

Resumen redox

He publicado nuevos apuntes de 1º Química Aplicada a la Biología: Resumen redox

image.jpg
image.jpg
Anónimo

@Anónimo

apuntes

-

Apuntes ácido base

Apuntes con los que saqué un 10 en el parcial

image.jpg
image.jpg

He publicado nuevos apuntes de 1º Química Aplicada a la Biología: Quimica-Redox-Pasos-en-medio-acido-y-basico.pdf

2 páginas

He publicado nuevos apuntes de 1º Química Aplicada a la Biología: Quimica-Pasos-al-anadir-HCL-o-NAOH.pdf

1 página

He publicado nuevos apuntes de 1º Química Aplicada a la Biología: Quimica-Pasos-de-la-presion-osmotica.pdf

1 página

He publicado nuevos apuntes de 1º Química Aplicada a la Biología: Quimica-Pasos-en-disolucion-tampon.pdf

1 página

He publicado nuevos apuntes de 1º Química Aplicada a la Biología: Formulario-Quimica-Acido-Base.pdf

1 página

He publicado nuevos apuntes de 1º Química Aplicada a la Biología: examen parcial 2023 resuelto.pdf

6 páginas

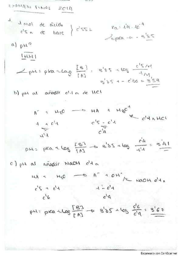
He publicado nuevos examenes de 1º Química Aplicada a la Biología: Examen-final-Quimica-2014.pdf

5 páginas

He publicado nuevos examenes de 1º Química Aplicada a la Biología: Examen-final-Quimica-2011.pdf

4 páginas
Anónimo

@Anónimo

Sin corregir

12 páginas

ejercicios

-

Seminarios resueltos

He publicado nuevos ejercicios de 1º Química Aplicada a la Biología: Seminarios resueltos

seminario-tema-1-resuelto.pdf
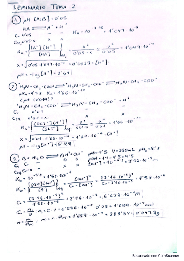
seminario-tema-2-resuelto.pdf
seminario-tema-5-resuelto.pdf

apuntes

-

teoría segundo cuatri

He publicado nuevos apuntes de 1º Química Aplicada a la Biología: teoría segundo cuatri

resumen-TODO-reactividad.pdf
tema-5.pdf
tema-6.pdf
tema-7.pdf

He publicado nuevos apuntes de 1º Química Aplicada a la Biología: MEMORIA-PRACTICAS-QUIMICA-1o.pdf

20 páginas
Anónimo

@Anónimo

He publicado nuevos apuntes de 1º Química Aplicada a la Biología: QUIMICA-ESTRUCURA-ATOMICA-TEMA-1.pdf

5 páginas

apuntes

-

resúmenes con todo y formularios

Formularios con lo más importante, esquemas y resúmenes completos de toda la asignatura. Perfecto para repasar todos los contenidos antes del examen.

formulario-completo.pdf
resumen-quimica.pdf
reactividad-resumen.pdf

He publicado nuevos apuntes de 1º Química Aplicada a la Biología: Reacciones-Quimica-Organica.pdf

10 páginas

apuntes

-

SEMINARIOS QUÍMICA RESUELTOS

He publicado nuevos apuntes de 1º Química Aplicada a la Biología: SEMINARIOS QUÍMICA RESUELTOS

SEMINARIO-1-QUIMICA-RESUELTO.pdf
SEMINARIO-2-QUIMICA-RESUELTO.pdf
SEMINARIO-3-QUIMICA-RESUELTO.pdf
SEMINARIO-4-QUIMICA-RESUELTO.pdf
SEMINARIO-5-QUIMICA-RESUELTO.pdf
SEMINARIO-6-QUIMICA-RESUELTO.pdf

He publicado nuevos examenes de 1º Química Aplicada a la Biología: Parcial-1-2024-Quimica-CORREGIDO.pdf

2 páginas

ejercicios

-

Cuestionarios Estudiar Química ACTUALIZADOS

Incluye las respuestas de TODOS los cuestionarios del apartado "Estudiar Química" más recientes. Algunas preguntas están repetidas.

Test-sobre-disoluciones-y-pH.pdf
Test-sobre-conceptos-generales-y-redox.pdf
Test-sobre-estructura-de-los-compuestos-organicos.pdf
Test-sobre-reacciones-de-los-compuestos-organicos.pdf
Test-sobre-hidratos-de-carbono.pdf

Enunciados al inicio del documento, seguidos de la resolución de los ejercicios.

52 páginas

Enunciados al inicio del documento, seguidos de la resolución de los ejercicios. Incluye formulario de los distintos temas.

41 páginas

He publicado nuevos apuntes de 1º Química Aplicada a la Biología: Ejercicios-de-Q.organica-resueltos-y-explicados.pdf

12 páginas

He publicado nuevos apuntes de 1º Química Aplicada a la Biología: control diciembre 2023 resuelto.pdf

3 páginas

He publicado nuevos apuntes de 1º Química Aplicada a la Biología: examen final 2025.pdf.pdf

1 página

Apuntes de formulación con los que obtuve una Matricula de Honor

3 páginas

He publicado nuevos apuntes de 1º Química Aplicada a la Biología: Memoria-practicas-de-quimica.pdf

10 páginas

apuntes

-

Todo Quimica

He publicado nuevos apuntes de 1º Química Aplicada a la Biología: Todo Quimica

Tema7c.pdf
Tema-6-1.pdf
RESUMEN-TEMA-7B.pdf
Tema-5.pdf
Tema-4.pdf
Tema-2-Acido-Base.pdf

He publicado nuevos apuntes de 1º Química Aplicada a la Biología: Formularios-inorganica.pdf

5 páginas

apuntes

-

Resúmenes química

He publicado nuevos apuntes de 1º Química Aplicada a la Biología: Resúmenes química

Tema-1.-Estructura-atomica-y-molecular..pdf
Tema-2.-Acidos-y-bases..pdf
Tema-3.-Reacciones-redox..pdf
Tema-4.-Cinetica-quimica..pdf
Tema-5.-Quimica-organica..pdf
Tema-6.-Isomeria-organica..pdf

ejercicios

-

Seminarios

He publicado nuevos ejercicios de 1º Química Aplicada a la Biología: Seminarios

Seminario-Tema-1.pdf
Seminario-Tema-2.pdf
Seminario-Tema-3.pdf
Seminario-Tema-4.pdf
Seminario-Tema-5.pdf
Seminario-Tema-6.pdf
Anónimo

@Anónimo

He publicado nuevos apuntes de 1º Química Aplicada a la Biología: Organica-desde-0.pdf

12 páginas
Anónimo

@Anónimo

He publicado nuevos apuntes de 1º Química Aplicada a la Biología: Formulas-todos-los-temas.pdf

5 páginas
Anónimo

@Anónimo

He publicado nuevos practicas de 1º Química Aplicada a la Biología: Memoria-practica-quimica.pdf

11 páginas

apuntes

-

Teoría Química Aplicada a la Biología

He publicado nuevos apuntes de 1º Química Aplicada a la Biología: Teoría Química Aplicada a la Biología

TEMA-4-Cinetica-quimica.pdf
TEMA-5-Introduccion-a-la-quimica-organica.pdf
TEMA-6-Estereoisomeria.pdf
TEMA-7-Reactividad-de-compuestos-organicos.pdf
TEMA-1-Introduccion.pdf
TEMA-2-Acidos-y-Bases.pdf

He publicado nuevos apuntes de 1º Química Aplicada a la Biología: examen parcial química 2024.pdf

1 página

apuntes

-

Química orgánica

He publicado nuevos apuntes de 1º Química Aplicada a la Biología: Química orgánica

TEMA-5.pdf
TEMA-6.pdf
TEMA-7.pdf

apuntes

-

cuestionarios estudiar química

He publicado nuevos apuntes de 1º Química Aplicada a la Biología: cuestionarios estudiar química

IMG3551.pdf
IMG3559.pdf
IMG3562.pdf
IMG3669.pdf
png2pdf.pdf
png2pdf-2.pdf