Química Aplicada a la Ingeniería Alimentaria

chevron_left
chevron_right
Todo
Apuntes
Ejercicios
Exámenes
Prácticas
chevron_left
chevron_right
Anónimo

@Anónimo

apuntes

-

QUÍMICA APLICADA A LA INGENIERÍA ALIMENTARIA

He publicado nuevos apuntes de 1º Química Aplicada a la Ingeniería Alimentaria: QUÍMICA APLICADA A LA INGENIERÍA ALIMENTARIA

QUIMICA-II-TEMA-1.pdf
QUIMICA-II-TEMA-2.pdf
QUIMICA-II-TEMA-3.pdf
QUIMICA-II-TEMA-4.pdf
QUIMICA-II-TEMA-5.pdf
QUIMICA-II-TEMA-6.pdf

He publicado nuevos apuntes de 1º Química Aplicada a la Ingeniería Alimentaria: TEMA-3-Los-Macronutrientes.pdf

10 páginas

He publicado nuevos apuntes de 1º Química Aplicada a la Ingeniería Alimentaria: TEMA-2-EL-ENLACE-Y-LA-ESTRUCTURA-EN-MOLECULAS-ORGANICAS.pdf

5 páginas

He publicado nuevos apuntes de 1º Química Aplicada a la Ingeniería Alimentaria: TEMA-1-Introduccion-a-la-Quimica-Aplicada.pdf

5 páginas

Apuntes del tema 3 y 4 con esquemas y dibujos para una mayor compresión. Año 24/25

8 páginas

Apuntes del tema 5 con esquemas y dibujos para una mayor compresión. Año 24/25

9 páginas

apuntes

-

CUADERNO QUÍMICA APLIACADA

He publicado nuevos apuntes de 1º Química Aplicada a la Ingeniería Alimentaria: CUADERNO QUÍMICA APLIACADA

1o-PEP-Ejercicios-clase-y-exmanes.pdf
2o-PEP-Ejercicios-clase-y-examenes.pdf

introducción a la quimica alimentaria

2 páginas

examenes

-

EXAMENES_EJERCICIOS

Recopilación de los ejercicios de química aplicada,(la mayoria de los ejecicios caen en los examenes) y tmb examenes de años anteriores, algunos con las soluciones y otros sin las mismas.

EjerciciosT5HdeCresueltos.docx
EjerciciosT6resueltoslipidos.docx
EjerciciosT7resueltosproteinas.docx
Parte-2-pepII.-sol.-59676ac7e940e7d8c999a234d7d88e40c.docx
PEP-I-.Parte-II-23-23-con-solucion3533e9ba24d46edc78c64440e2448fdd.docx
PEP-I.-ParteI-23-24-con-sol.76e2d19dcaed95d4089cd785925c0545.docx

He publicado nuevos apuntes de 1º Química Aplicada a la Ingeniería Alimentaria: tema-1-quimica-aplicada.pdf

2 páginas

He publicado nuevos apuntes de 1º Química Aplicada a la Ingeniería Alimentaria: tema-2-quimica-aplicada.pdf

6 páginas

He publicado nuevos apuntes de 1º Química Aplicada a la Ingeniería Alimentaria: tema-3-quimica-aplicada.pdf

9 páginas

He publicado nuevos examenes de 1º Química Aplicada a la Ingeniería Alimentaria: parcial-marzo2025.pdf

10 páginas

examenes

-

MAYO 2025 2ºPARCIAL

He publicado nuevos examenes de 1º Química Aplicada a la Ingeniería Alimentaria: MAYO 2025 2ºPARCIAL

2oPARCIALQUUIMICAPLICADA2.pdf
2oPARCIALQUIMICAPLICADA.pdf

He publicado nuevos apuntes de 1º Química Aplicada a la Ingeniería Alimentaria: aroma-sabor-color-definitivo.pdf

3 páginas

He publicado nuevos apuntes de 1º Química Aplicada a la Ingeniería Alimentaria: Enzimas-definitivo.pdf

4 páginas
Anónimo

@Anónimo

Cuaderno de química aplicada con ejercicios que se hacen en clase y con exaáenes de otros años resueltos, las preguntas suelen ser las mismas (aprobé)

53 páginas

He publicado nuevos apuntes de 1º Química Aplicada a la Ingeniería Alimentaria: Ejercicios-segundo-parcial-quimica.Ejercicios-de-clase-quimica-segundo-parcial

Miniatura no disponible

Apuntes de clase

Miniatura no disponible

He publicado nuevos examenes de 1º Química Aplicada a la Ingeniería Alimentaria: PEP-I-QAIA-sol.-Marzo-2025.docx

word

PREGUNTAS TIPO TEST EXÁMENES DE QUÍMICA II

3 páginas
Anónimo

@Anónimo

He publicado nuevos apuntes de 1º Química Aplicada a la Ingeniería Alimentaria: T3-Estructura-de-los-lipidos.pdf

4 páginas

He publicado nuevos apuntes de 1º Química Aplicada a la Ingeniería Alimentaria: Tema-2-QUIMICA-APLICADA.pdf

7 páginas

He publicado nuevos apuntes de 1º Química Aplicada a la Ingeniería Alimentaria: Tema-1-Introduccion-a-la-Quimica-aplicada-a-la-ingeneria-alimentaria.pdf

4 páginas

He publicado nuevos apuntes de 1º Química Aplicada a la Ingeniería Alimentaria: Lipidos.pdf

11 páginas

He publicado nuevos apuntes de 1º Química Aplicada a la Ingeniería Alimentaria: Esquema-Isomeria.pdf

7 páginas

He publicado nuevos apuntes de 1º Química Aplicada a la Ingeniería Alimentaria: Resumen-Cinetica-de-reacciones-enzimaticas.pdf

2 páginas

He publicado nuevos apuntes de 1º Química Aplicada a la Ingeniería Alimentaria: Tema-12.-Aditivos-alimentarios.pdf

4 páginas

He publicado nuevos apuntes de 1º Química Aplicada a la Ingeniería Alimentaria: Tema-9.-Vitaminas.pdf

3 páginas

He publicado nuevos apuntes de 1º Química Aplicada a la Ingeniería Alimentaria: Tema-8.-Enzimas.pdf

6 páginas

He publicado nuevos apuntes de 1º Química Aplicada a la Ingeniería Alimentaria: Tema-11.-Aroma-color-y-sabor.pdf

6 páginas

He publicado nuevos apuntes de 1º Química Aplicada a la Ingeniería Alimentaria: Tema-7.-Proteinas.pdf

11 páginas

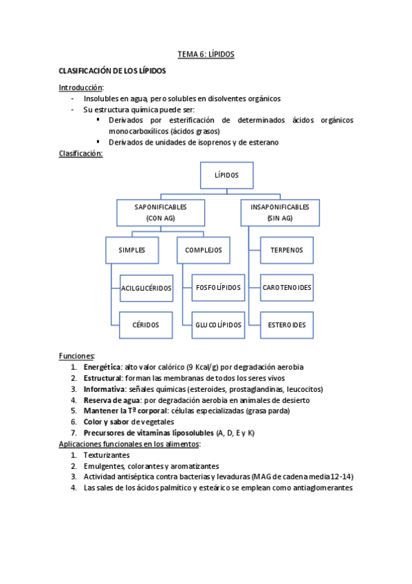
He publicado nuevos apuntes de 1º Química Aplicada a la Ingeniería Alimentaria: Tema-6.-Lipidos.pdf

8 páginas

He publicado nuevos apuntes de 1º Química Aplicada a la Ingeniería Alimentaria: Tema-5.-Los-Carbohidratos-en-los-alimentos.pdf

12 páginas

He publicado nuevos apuntes de 1º Química Aplicada a la Ingeniería Alimentaria: Tema-4-.Actividad-del-Agua.pdf

3 páginas

He publicado nuevos apuntes de 1º Química Aplicada a la Ingeniería Alimentaria: Tema-3-.-Estructura-de-los-Macronutrientes.pdf

10 páginas

He publicado nuevos apuntes de 1º Química Aplicada a la Ingeniería Alimentaria: Tema-2-.-Fundamentos-de-la-Quimica-Organica.pdf

11 páginas

He publicado nuevos apuntes de 1º Química Aplicada a la Ingeniería Alimentaria: Tema-4-Actividad-del-Agua.pdf

3 páginas

He publicado nuevos apuntes de 1º Química Aplicada a la Ingeniería Alimentaria: Hidratos-de-Carbono-Proteinas-y-Lipidos.pdf

8 páginas

He publicado nuevos apuntes de 1º Química Aplicada a la Ingeniería Alimentaria: Esquema-Reacciones-Quimicas.pdf

3 páginas

He publicado nuevos apuntes de 1º Química Aplicada a la Ingeniería Alimentaria: Esquema-Grupos-Funcionales.pdf

5 páginas

He publicado nuevos apuntes de 1º Química Aplicada a la Ingeniería Alimentaria: Tema-5-Almidones-Modificados.pdf

8 páginas

He publicado nuevos apuntes de 1º Química Aplicada a la Ingeniería Alimentaria: Tema-5-Polisacaridos.pdf

4 páginas

He publicado nuevos apuntes de 1º Química Aplicada a la Ingeniería Alimentaria: Tema-2-Enlace-y-estructura-en-las-moleculas-organicas.pdf

4 páginas

He publicado nuevos apuntes de 1º Química Aplicada a la Ingeniería Alimentaria: Ejercicios-tema-5-hidratos.pdf

7 páginas

He publicado nuevos apuntes de 1º Química Aplicada a la Ingeniería Alimentaria: Quimica-alimentaria-entero.pdf

95 páginas

He publicado nuevos apuntes de 1º Química Aplicada a la Ingeniería Alimentaria: resumenes-tema-5-12.pdf

52 páginas

He publicado nuevos apuntes de 1º Química Aplicada a la Ingeniería Alimentaria: TEMA-2-REACTIVIDAD.pdf

11 páginas

He publicado nuevos apuntes de 1º Química Aplicada a la Ingeniería Alimentaria: Esquema-Quimica-Organica.pdf

4 páginas
Anónimo

@Anónimo

He publicado nuevos apuntes de 1º Química Aplicada a la Ingeniería Alimentaria: tema-8-enzima-en-los-alimetos.pdf

6 páginas
Anónimo

@Anónimo

apuntes

-

Resumen temas segundo parcial

He publicado nuevos apuntes de 1º Química Aplicada a la Ingeniería Alimentaria: Resumen temas segundo parcial

Resumen-temas-segundo-parcial.pdf

apuntes

-

Problemas resueltos

He publicado nuevos apuntes de 1º Química Aplicada a la Ingeniería Alimentaria: Problemas resueltos

Solucion-cuestiones-tema-3.pdf
Cuestiones-tema-2-resueltos-1-3.pdf
Ejercicios-tema-6-lipidos.pdf
Ejercicios-de-aditivos-resueltos-2-1.pdf
Ejercicios-vit.-y-minerales-7.pdf
Ejercicios-resueltos-de-enzimas.pdf
Anónimo

@Anónimo

examenes

-

Exámenes Resueltos

He publicado nuevos examenes de 1º Química Aplicada a la Ingeniería Alimentaria: Exámenes Resueltos

Marzo-2022.pdf
Mayo-2022.pdf
Junio-2022-Parte-1.pdf
Junio-2022-Parte-2.pdf
Julio-2022.pdf
Abril-2021-PARTE-1-Y-2.pdf

He publicado nuevos apuntes de 1º Química Aplicada a la Ingeniería Alimentaria: Apuntes-tema-11.pdf

6 páginas

He publicado nuevos apuntes de 1º Química Aplicada a la Ingeniería Alimentaria: Apuntes-tema-12.pdf

5 páginas

He publicado nuevos apuntes de 1º Química Aplicada a la Ingeniería Alimentaria: Apuntes-tema-8.pdf

7 páginas

He publicado nuevos apuntes de 1º Química Aplicada a la Ingeniería Alimentaria: Apuntes-tema-10.pdf

4 páginas

He publicado nuevos apuntes de 1º Química Aplicada a la Ingeniería Alimentaria: Apuntes-tema-9.pdf

6 páginas

He publicado nuevos apuntes de 1º Química Aplicada a la Ingeniería Alimentaria: Apuntes-tema-4.pdf

4 páginas

He publicado nuevos apuntes de 1º Química Aplicada a la Ingeniería Alimentaria: Apuntes-tema-7.pdf

10 páginas