QUÍMICA DE LAS DISOLUCIONES

chevron_left
chevron_right
Todo
Apuntes
Ejercicios
Prácticas
chevron_left
chevron_right

He publicado nuevos apuntes de 2º QUÍMICA DE LAS DISOLUCIONES: Tema-5-Problemas-Tecnicas-Instrumentales-2.pdf

9 páginas

He publicado nuevos apuntes de 2º QUÍMICA DE LAS DISOLUCIONES: Tema-4-Otros-equilibrios.pdf

7 páginas

practicas

-

Prácticas-Diciembre

He publicado nuevos practicas de 2º QUÍMICA DE LAS DISOLUCIONES: Prácticas-Diciembre

Practica-3-Clorofilas.docx
Practica-4-Yodometria.docx
Anónimo

@Anónimo

Examen química disoluciones

2 páginas
Anónimo

@Anónimo

Examen química

8 páginas
Anónimo

@Anónimo

Soluciones problemas

15 páginas
Anónimo

@Anónimo

Soluciones problemas

10 páginas
Anónimo

@Anónimo

Problemas con soluciones

7 páginas
Anónimo

@Anónimo

Problemas con soluciones

5 páginas
Anónimo

@Anónimo

Problemas con soluciones

5 páginas
Anónimo

@Anónimo

Problemas con soluciones

5 páginas

He publicado nuevos apuntes de 2º QUÍMICA DE LAS DISOLUCIONES: Tema-1-QUIMICA-ANALITICA.pdf

2 páginas

He publicado nuevos apuntes de 2º QUÍMICA DE LAS DISOLUCIONES: Tema-3-Acido-base.-Resumen-completo.pdf

15 páginas

He publicado nuevos apuntes de 2º QUÍMICA DE LAS DISOLUCIONES: Tema-2-QUIMICA-DE-LAS-DISOLUCIONES.pdf

5 páginas

apuntes

-

quimica de las disoluciones primer parcial

He publicado nuevos apuntes de 2º QUÍMICA DE LAS DISOLUCIONES: quimica de las disoluciones primer parcial

Tema-2-quimica-de-las-disol.pdf
T3-resumen-quimica-disol.pdf

apuntes

-

Química de las Disoluciones

He publicado nuevos apuntes de 2º QUÍMICA DE LAS DISOLUCIONES: Química de las Disoluciones

TEMA-1-Quimica-de-las-disoluciones.pdf
TEMA-2-Quimica-de-las-disoluciones.pdf
TEMA-3-Quimica-de-las-disoluciones.pdf

He publicado nuevos practicas de 2º QUÍMICA DE LAS DISOLUCIONES: Informe-Practica-4.pdf

9 páginas

He publicado nuevos practicas de 2º QUÍMICA DE LAS DISOLUCIONES: Informe-Practica-3.pdf

10 páginas

He publicado nuevos practicas de 2º QUÍMICA DE LAS DISOLUCIONES: Informe-Practica-2.pdf

17 páginas

He publicado nuevos practicas de 2º QUÍMICA DE LAS DISOLUCIONES: Informe-Practica-1.pdf

17 páginas

practicas

-

INFORME (P. III-IV)-PRÁCTICA DE LABORATORIO

He publicado nuevos practicas de 2º QUÍMICA DE LAS DISOLUCIONES: INFORME (P. III-IV)-PRÁCTICA DE LABORATORIO

INFORME (P. IV)-PRÁCTICA DE LABORATORIO.pdf
INFORME (P. III)-PRÁCTICA DE LABORATORIO.pdf

practicas

-

INFORME (P. I-II)-PRÁCTICA DE LABORATORIO

He publicado nuevos practicas de 2º QUÍMICA DE LAS DISOLUCIONES: INFORME (P. I-II)-PRÁCTICA DE LABORATORIO

HOJA EXCEL-PRÁCTICA DE LABORATORIO.pdf
INFORME (P. I)-PRÁCTICA DE LABORATORIO.pdf
INFORME (P. II)-PRÁCTICA DE LABORATORIO.pdf

practicas

-

Prácticas Química de las Disoluciones

He publicado nuevos practicas de 2º QUÍMICA DE LAS DISOLUCIONES: Prácticas Química de las Disoluciones

Practica-4.pdf
Practica-2.pdf
Practica-1.pdf

ejercicios

-

EJERCICIOS RESUELTOS DE QUIMICA :)

He publicado nuevos ejercicios de 2º QUÍMICA DE LAS DISOLUCIONES: EJERCICIOS RESUELTOS DE QUIMICA :)

Enunciados-acido-base.pdf
problemas-resueltos-acido-base.pdf
EJERCICIOS-RESUELTOS-QUIMIOMETRIA-T2.pdf
20-tema-2-quimica-de-las-disoluciones.pdf
ejs-23-y-24-acido-base.pdf

apuntes

-

ejercicios

He publicado nuevos apuntes de 2º QUÍMICA DE LAS DISOLUCIONES: ejercicios

complejos.pdf
ejercicios-acidobase.pdf
red-ox.pdf
resumen-tema-2.pdf
resumen-tema-5.pdf
teoria-acidobase.pdf

He publicado nuevos apuntes de 2º QUÍMICA DE LAS DISOLUCIONES: Disolucion.pdf

5 páginas

He publicado nuevos practicas de 2º QUÍMICA DE LAS DISOLUCIONES: Informe-practica-2.pdf

6 páginas

He publicado nuevos practicas de 2º QUÍMICA DE LAS DISOLUCIONES: Informe-Practica-1.pdf

10 páginas

apuntes

-

Apuntes Química de las disoluciones

He publicado nuevos apuntes de 2º QUÍMICA DE LAS DISOLUCIONES: Apuntes Química de las disoluciones

ApuntesPrecipitacion.pdf
ApuntesQuimicaAnalitica.pdf
ApuntesComplejos.pdf
ApuntesAcidoBase.pdf
ApuntesTeoriadelError.pdf
ApuntesRedox.pdf

ejercicios

-

Ejercicios Química de las Disoluciones

He publicado nuevos ejercicios de 2º QUÍMICA DE LAS DISOLUCIONES: Ejercicios Química de las Disoluciones

EjerciciosRedox.pdf
EjerciciosPrecipitacion.pdf

apuntes

-

laboratorio

He publicado nuevos apuntes de 2º QUÍMICA DE LAS DISOLUCIONES: laboratorio

informe-practica-1.pdf
informe-practica-4.pdf
informe-practica-2.pdf
informe-practica-3.pdf

apuntes

-

teoría

He publicado nuevos apuntes de 2º QUÍMICA DE LAS DISOLUCIONES: teoría

tema-1-quimica-analitica-y-el-proceso-analitico.pdf
tema-1-y-2.pdf

apuntes

-

Teoría disoluciones

He publicado nuevos apuntes de 2º QUÍMICA DE LAS DISOLUCIONES: Teoría disoluciones

Tema-1-Quimica-analitica-y-el-proceso-analitico.pdf
Tema-2-Teoria-de-errores-y-tratamiento-estadistico-de-resultados-analiticos.pdf

ejercicios

-

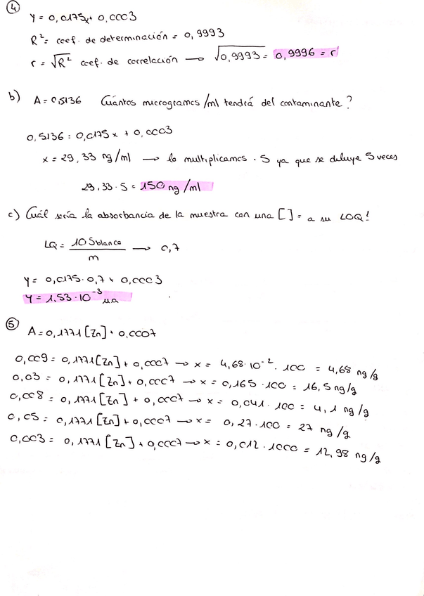
Ejercicios analisis instrumental

He publicado nuevos ejercicios de 2º QUÍMICA DE LAS DISOLUCIONES: Ejercicios analisis instrumental

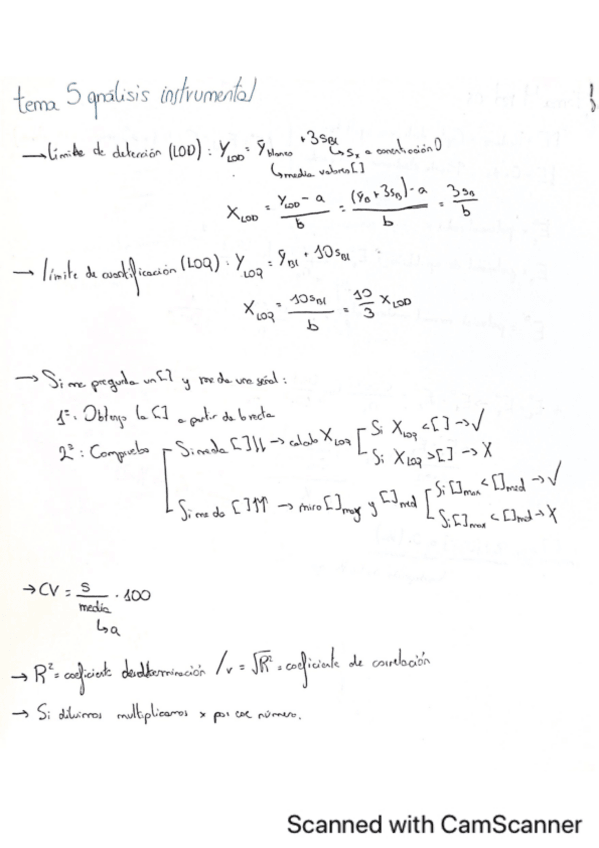
Analisis-instrumental-2.jpg
Analisis-instrumental-1.jpg

ejercicios

-

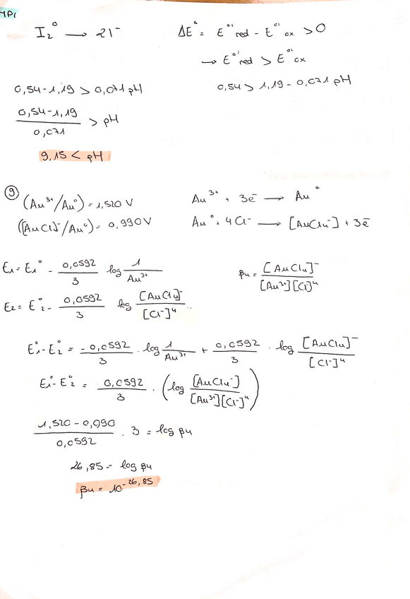
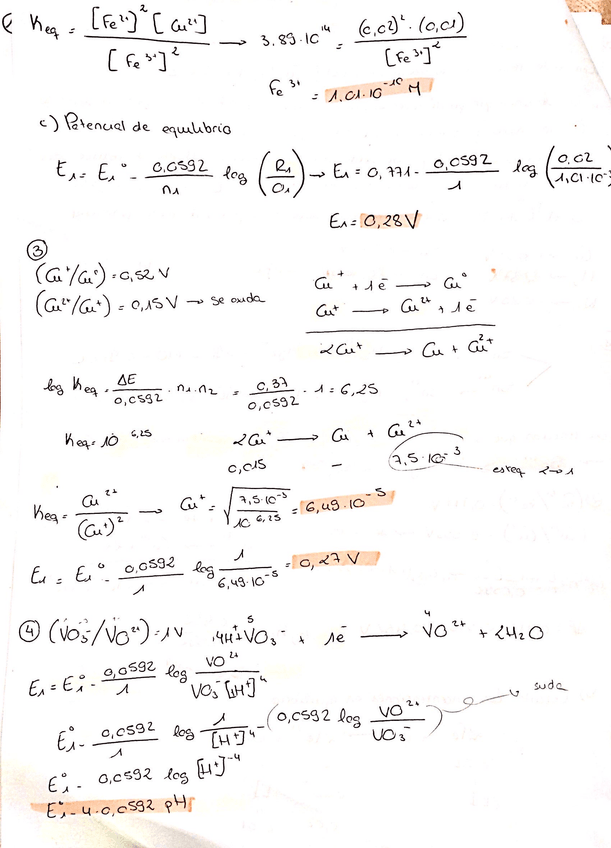
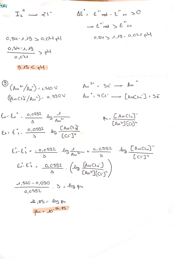
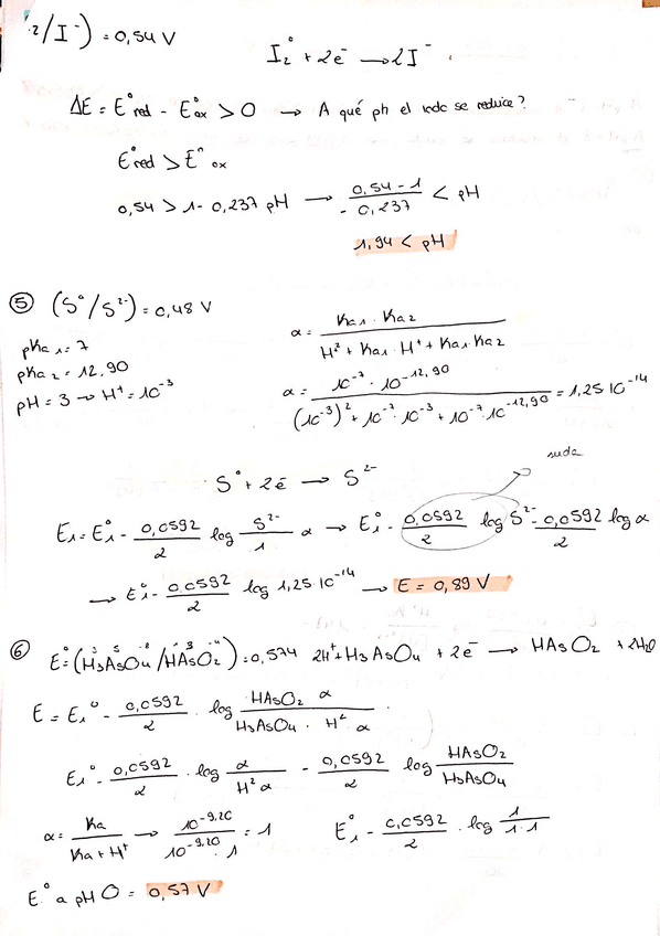
Ejercicios redox resueltos

He publicado nuevos ejercicios de 2º QUÍMICA DE LAS DISOLUCIONES: Ejercicios redox resueltos

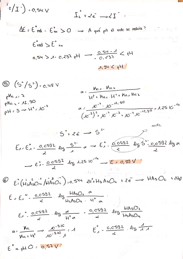
redox-4.jpg
redox-5.jpg
redox-1.jpg
redox-2.jpg
redox-6.jpg
redox-3.jpg

ejercicios

-

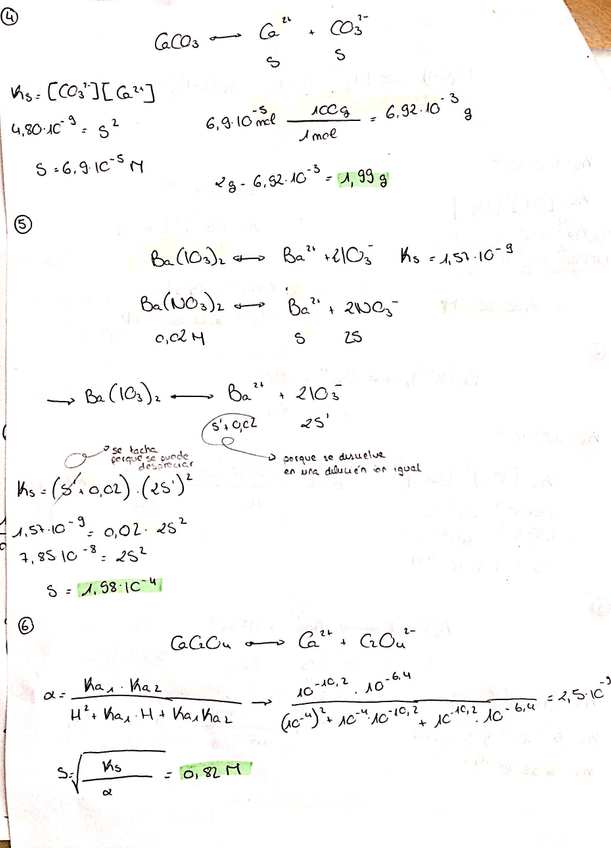
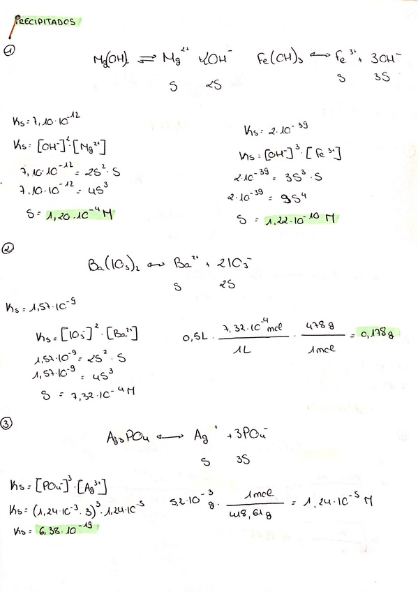
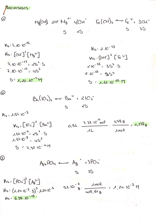
Ejercicios precipitados resueltos

He publicado nuevos ejercicios de 2º QUÍMICA DE LAS DISOLUCIONES: Ejercicios precipitados resueltos

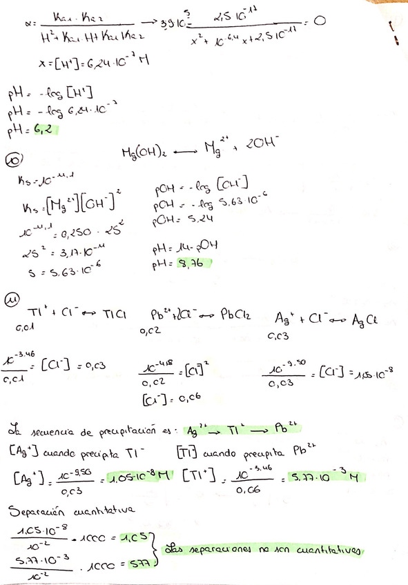
precipitados-4.jpg
precipitados-3-.jpg
precipitados-2.jpg
precipitados-1.jpg

ejercicios

-

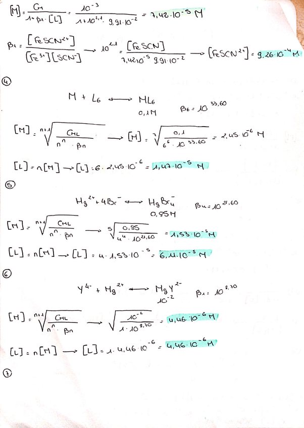
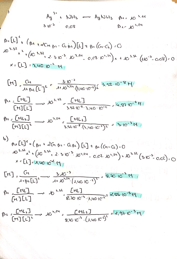
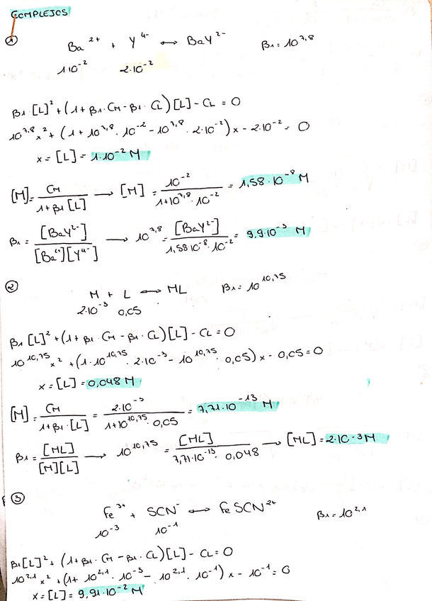
Ejercicio complejación resueltos

He publicado nuevos ejercicios de 2º QUÍMICA DE LAS DISOLUCIONES: Ejercicio complejación resueltos

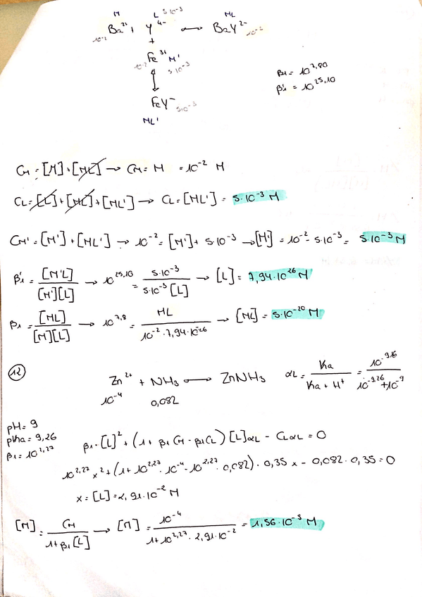
complejos-3.jpg
complejos-6.jpg
complejos-5.jpg
complejos-4.jpg
Comlepjos-1.jpg
complejos-2-.jpg

ejercicios

-

Problemas resueltos Tema 2

He publicado nuevos ejercicios de 2º QUÍMICA DE LAS DISOLUCIONES: Problemas resueltos Tema 2

ejercicios-tema-2.pdf
Tema-2-Problemas-quimiometria-21-22.pdf

He publicado nuevos apuntes de 2º QUÍMICA DE LAS DISOLUCIONES: Guia-Excel.docx

word

ejercicios

-

PROBLEMAS

He publicado nuevos ejercicios de 2º QUÍMICA DE LAS DISOLUCIONES: PROBLEMAS

hoja-problemas-quimiometra.pdf
hoja-problemas-acido-base.doc
Ejercicios-complejos.pdf
hoja-problemas-Redox-v2.doc
hoja-problemas-Redox.pdf

He publicado nuevos apuntes de 2º QUÍMICA DE LAS DISOLUCIONES: Definiciones-chungeras-de-Quimica-de-las-Disoluciones.pdf

2 páginas
¡Estás al día!

¡Estás al día!

Has visto todos los archivos