Química Física I: Estructura Atómica y Molecular

Todo
Apuntes
Ejercicios
Exámenes
chevron_left
chevron_right

Resumen breve de los conceptos importantes del Tema 3

3 páginas

Resumen breve de los contenidos importantes del Tema 2

5 páginas
Anónimo

@Anónimo

He publicado nuevos apuntes de 2º Química Física I: Estructura Atómica y Molecular: Resumen-Tema-1.pdf

9 páginas

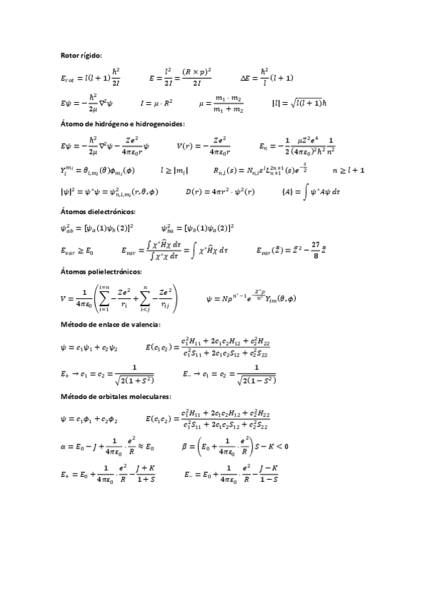
He publicado nuevos examenes de 2º Química Física I: Estructura Atómica y Molecular: formulario-QF.pdf

4 páginas

He publicado nuevos apuntes de 2º Química Física I: Estructura Atómica y Molecular: teoria-por-temas.pdf

8 páginas

ejercicios

-

Ejercicios (T.1-T.12)

He publicado nuevos ejercicios de 2º Química Física I: Estructura Atómica y Molecular: Ejercicios (T.1-T.12)

ejercicios-1.pdf
ejercicios-2.pdf
extension-ejercicios-2.pdf
ejercicios-3.pdf
ejercicios-4.pdf
ejercicios-5.pdf

apuntes

-

Apuntes (T.1-T.12)

He publicado nuevos apuntes de 2º Química Física I: Estructura Atómica y Molecular: Apuntes (T.1-T.12)

tema-1.pdf
tema-2.pdf
tema-3.pdf
tema-4.pdf
tema-5.pdf
tema-6.pdf

He publicado nuevos examenes de 2º Química Física I: Estructura Atómica y Molecular: PEC12022.pdf

6 páginas

He publicado nuevos apuntes de 2º Química Física I: Estructura Atómica y Molecular: resumen.pdf

13 páginas

He publicado nuevos ejercicios de 2º Química Física I: Estructura Atómica y Molecular: tutorias.pdf

16 páginas

He publicado nuevos apuntes de 2º Química Física I: Estructura Atómica y Molecular: Quimica-fisica-I.pdf

pdf

apuntes

-

Temario

He publicado nuevos apuntes de 2º Química Física I: Estructura Atómica y Molecular: Temario

Tema-5.pdf
Tema-2.pdf
Tema-1.pdf
Tema-6.pdf
Tema-10.pdf
Tema-3.pdf
¡Estás al día!

¡Estás al día!

Has visto todos los archivos