Química Física II: Espectroscopia y Estadística Molecular

chevron_left
chevron_right
Todo
Apuntes
Ejercicios
Exámenes
PEC
chevron_left
chevron_right

Es un resumen largo, pero sin demasiadas demostraciones ni profundidad en explicaciones, para eso los resmuenes de @aliiis estan genial.

78 páginas

He publicado nuevos apuntes de 3º Química Física II: Espectroscopia y Estadística Molecular: Tema-10-Termodinamica-Estadistica.pdf

3 páginas

He publicado nuevos apuntes de 3º Química Física II: Espectroscopia y Estadística Molecular: Tema-9-Propiedades-De-Transporte.pdf

4 páginas

He publicado nuevos apuntes de 3º Química Física II: Espectroscopia y Estadística Molecular: Tema-8-Teoria-Cinetica-De-Los-Gases.pdf

5 páginas

He publicado nuevos apuntes de 3º Química Física II: Espectroscopia y Estadística Molecular: Tema-7-Laseres-Y-Espectroscopias-Laser.pdf

4 páginas

He publicado nuevos apuntes de 3º Química Física II: Espectroscopia y Estadística Molecular: Tema-6-Espectroscopia-De-Resonancia-Magnetica.pdf

4 páginas

He publicado nuevos apuntes de 3º Química Física II: Espectroscopia y Estadística Molecular: Tema-5-Espectroscopia-Electronica.pdf

5 páginas

He publicado nuevos apuntes de 3º Química Física II: Espectroscopia y Estadística Molecular: Tema-4-Espectroscopia-De-Vibracion.pdf

3 páginas

He publicado nuevos pec de 3º Química Física II: Espectroscopia y Estadística Molecular: PEC12425.pdf

7 páginas

He publicado nuevos apuntes de 3º Química Física II: Espectroscopia y Estadística Molecular: Tema-3-Espectroscopia-De-Rotacion.pdf

2 páginas

He publicado nuevos apuntes de 3º Química Física II: Espectroscopia y Estadística Molecular: T4Espectro.pdf

22 páginas

He publicado nuevos apuntes de 3º Química Física II: Espectroscopia y Estadística Molecular: Tema-2-Elementos-de-Espectroscopia.pdf

2 páginas

He publicado nuevos apuntes de 3º Química Física II: Espectroscopia y Estadística Molecular: T3Espectro.pdf

15 páginas

He publicado nuevos apuntes de 3º Química Física II: Espectroscopia y Estadística Molecular: T2-Espectro.pdf

12 páginas

He publicado nuevos apuntes de 3º Química Física II: Espectroscopia y Estadística Molecular: T1-Espectro.pdf

22 páginas

He publicado nuevos ejercicios de 3º Química Física II: Espectroscopia y Estadística Molecular: Ejercicios-T1.pdf

7 páginas

He publicado nuevos apuntes de 3º Química Física II: Espectroscopia y Estadística Molecular: Tema-1-Quifi-II.pdf

3 páginas

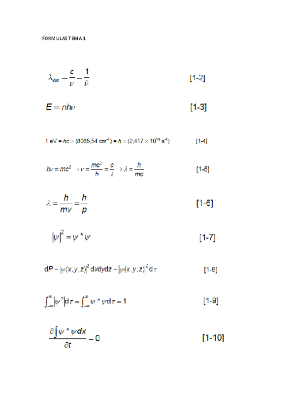
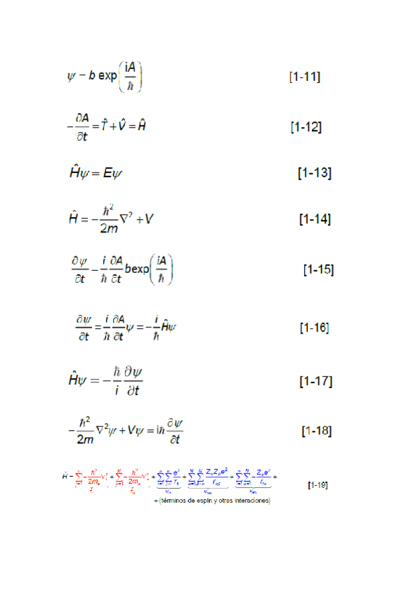
He publicado nuevos apuntes de 3º Química Física II: Espectroscopia y Estadística Molecular: FORMULARIO-QUIMICA-FISICA-II-UNED.pdf

11 páginas

He publicado nuevos apuntes de 3º Química Física II: Espectroscopia y Estadística Molecular: TEMA-1-apuntes-a-mano.pdf

18 páginas

He publicado nuevos examenes de 3º Química Física II: Espectroscopia y Estadística Molecular: QFII-2021-22OSept.pdf

2 páginas

He publicado nuevos examenes de 3º Química Física II: Espectroscopia y Estadística Molecular: QFII-2021-222S.pdf

2 páginas

He publicado nuevos examenes de 3º Química Física II: Espectroscopia y Estadística Molecular: QFII-2021-221S.pdf

2 páginas

He publicado nuevos examenes de 3º Química Física II: Espectroscopia y Estadística Molecular: QFII-2019-202S.pdf

2 páginas

He publicado nuevos examenes de 3º Química Física II: Espectroscopia y Estadística Molecular: QFII-2019-201S.pdf

2 páginas

He publicado nuevos examenes de 3º Química Física II: Espectroscopia y Estadística Molecular: QFII-2018-19OSept.pdf

2 páginas

He publicado nuevos examenes de 3º Química Física II: Espectroscopia y Estadística Molecular: QFII-2018-192S.pdf

2 páginas

He publicado nuevos examenes de 3º Química Física II: Espectroscopia y Estadística Molecular: QFII-2018-191S.pdf

2 páginas

He publicado nuevos examenes de 3º Química Física II: Espectroscopia y Estadística Molecular: QFII-2017-18OSept.pdf

2 páginas

He publicado nuevos examenes de 3º Química Física II: Espectroscopia y Estadística Molecular: QFII-2017-182S.pdf

2 páginas

He publicado nuevos examenes de 3º Química Física II: Espectroscopia y Estadística Molecular: QFII-2017-181S.pdf

2 páginas

He publicado nuevos examenes de 3º Química Física II: Espectroscopia y Estadística Molecular: QFII-2016-17RSept.pdf

2 páginas

He publicado nuevos examenes de 3º Química Física II: Espectroscopia y Estadística Molecular: QFII-2016-17OSept.pdf

2 páginas

He publicado nuevos examenes de 3º Química Física II: Espectroscopia y Estadística Molecular: QFII-2016-172S.pdf

2 páginas

He publicado nuevos examenes de 3º Química Física II: Espectroscopia y Estadística Molecular: QFII-2016-171S.pdf

2 páginas

He publicado nuevos examenes de 3º Química Física II: Espectroscopia y Estadística Molecular: QFII-2015-16RSept.pdf

2 páginas

He publicado nuevos examenes de 3º Química Física II: Espectroscopia y Estadística Molecular: QFII-2015-16OSept.pdf

2 páginas

He publicado nuevos examenes de 3º Química Física II: Espectroscopia y Estadística Molecular: QFII-2015-161S.pdf

2 páginas

He publicado nuevos examenes de 3º Química Física II: Espectroscopia y Estadística Molecular: QFII-2015-162S.pdf

2 páginas

He publicado nuevos examenes de 3º Química Física II: Espectroscopia y Estadística Molecular: QFII-2014-15RSept.pdf

2 páginas

He publicado nuevos examenes de 3º Química Física II: Espectroscopia y Estadística Molecular: QFII-2014-15OSept.pdf

2 páginas

He publicado nuevos examenes de 3º Química Física II: Espectroscopia y Estadística Molecular: QFII-2014-152S.pdf

2 páginas

He publicado nuevos examenes de 3º Química Física II: Espectroscopia y Estadística Molecular: QFII-2014-151S.pdf

2 páginas

He publicado nuevos examenes de 3º Química Física II: Espectroscopia y Estadística Molecular: QFII-2013-14RSept.pdf

2 páginas

He publicado nuevos examenes de 3º Química Física II: Espectroscopia y Estadística Molecular: QFII-2013-14OSept.pdf

2 páginas

He publicado nuevos examenes de 3º Química Física II: Espectroscopia y Estadística Molecular: QFII-2013-142S.pdf

2 páginas

He publicado nuevos examenes de 3º Química Física II: Espectroscopia y Estadística Molecular: QFII-2013-141S.pdf

2 páginas

He publicado nuevos examenes de 3º Química Física II: Espectroscopia y Estadística Molecular: QFII-2012-13RSept.pdf

2 páginas

He publicado nuevos examenes de 3º Química Física II: Espectroscopia y Estadística Molecular: QFII-2012-13OSept.pdf

2 páginas

He publicado nuevos examenes de 3º Química Física II: Espectroscopia y Estadística Molecular: QFII-2011-12OSept.pdf

2 páginas

He publicado nuevos examenes de 3º Química Física II: Espectroscopia y Estadística Molecular: QFII-2011-121S.pdf

2 páginas

He publicado nuevos examenes de 3º Química Física II: Espectroscopia y Estadística Molecular: QFII-2011-122S.pdf

2 páginas

He publicado nuevos examenes de 3º Química Física II: Espectroscopia y Estadística Molecular: QFII-2010-11OSept.pdf

2 páginas

He publicado nuevos examenes de 3º Química Física II: Espectroscopia y Estadística Molecular: QFII-2010-112S.pdf

2 páginas

He publicado nuevos examenes de 3º Química Física II: Espectroscopia y Estadística Molecular: QFII-2009-102S.pdf

2 páginas

He publicado nuevos examenes de 3º Química Física II: Espectroscopia y Estadística Molecular: QFII-2010-111S.pdf

2 páginas

He publicado nuevos apuntes de 3º Química Física II: Espectroscopia y Estadística Molecular: Quimica-fisica-II.pdf

pdf
¡Estás al día!

¡Estás al día!

Has visto todos los archivos