Molvi
En los ejercicios de clase el resultado está mal. En una tutoría me confirmó que esto está bien.
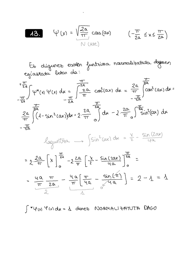
3.-gaia-13.-ariketa.pdf
4 páginas
Exámenes - Azterketak-lehen-partzialak.pdf
pdf
9 páginas
84
2
Apuntes - Azterketak-bigarren-partzialak.pdf
2 páginas
14
1
Apuntes - Esquemas-Quifi-2.pdf
35
0
Apuntes - APUNTES-QUIFI-II-2o-CUATRI.pdf
62 páginas
22
Apuntes - 2Gaia-ariketak.pdf
8 páginas
41
Apuntes - APUNTES-QUIFI-II-1o-CUATRI.pdf
48 páginas
20
Apuntes - 1Gaia-ariketak.pdf
10 páginas
33
Apuntes - Problemas-Tema-7.pdf
5 páginas
30
Apuntes - Problemas-Tema-6.pdf
38
Apuntes - Problemas-Tema-3.pdf
31
Apuntes - Problemas-Tema-9.pdf
7 páginas
Apuntes - 6.pdf
Apuntes - Tema-1.pdf
24
Apuntes - Problemas-Tema-4.pdf
3 páginas
25
Apuntes - Problemas-Tema-1.pdf
6 páginas
29
Apuntes - Tema-4.pdf
Apuntes - Tema-6.pdf
18
Apuntes - Tema-3.pdf
Apuntes - Problemas-Tema-5.pdf
21
Apuntes - Problemas-Tema-2.pdf