Química Física y Nuclear

chevron_left
chevron_right
Todo
Apuntes
Ejercicios
Exámenes
chevron_left
chevron_right

He publicado nuevos examenes de 2º Química Física y Nuclear: SolucionesProblemasVariados1oParcial.pdf

7 páginas

He publicado nuevos examenes de 2º Química Física y Nuclear: Solucion-1o-Parcial-2024.pdf

12 páginas

examenes

-

examenes

He publicado nuevos examenes de 2º Química Física y Nuclear: examenes

REPASO-CUANTICA20250320114202844.pdf
REPASO-QUIFI-2-PARCIAL20250320114233870.pdf
CUESTIONES-TIPO-TEST-EXAMEN2202503.pdf

ejercicios

-

Ejercicios

He publicado nuevos ejercicios de 2º Química Física y Nuclear: Ejercicios

EJERCICIOS-QUIFI-T1-620250320114107257.pdf
EJERCICIOS-QUIFI-T7-1220250320114133932.pdf

apuntes

-

Apuntes Quifi

He publicado nuevos apuntes de 2º Química Física y Nuclear: Apuntes Quifi

QUIFI-T1-620250320113506024.pdf
QUIFI-T7-1220250320113550126.pdf

He publicado nuevos apuntes de 2º Química Física y Nuclear: Examen-quifi-luisma.pdf

4 páginas

apuntes

-

Ejercicios quifi luisma

He publicado nuevos apuntes de 2º Química Física y Nuclear: Ejercicios quifi luisma

Ejercicios-quifi-luisma.pdf

apuntes

-

Apuntes quifi luisma

He publicado nuevos apuntes de 2º Química Física y Nuclear: Apuntes quifi luisma

Apuntes-quifi-luisma.pdf

He publicado nuevos examenes de 2º Química Física y Nuclear: parcial-2-quifi-I.pdf

11 páginas

apuntes

-

Resumenes

He publicado nuevos apuntes de 2º Química Física y Nuclear: Resumenes

Resumen-Cuantica-Quifi-I.pdf
Resumen-T9-12-Quifi-I.pdf

apuntes

-

Mecánica resumen y examen

He publicado nuevos apuntes de 2º Química Física y Nuclear: Mecánica resumen y examen

Examen-2020.pdf
Moleculas-activas-en....pdf
Actividad-a-entregar-2020.pdf
Resumen-y-formulas-2a-parte-quifi.pdf

He publicado nuevos apuntes de 2º Química Física y Nuclear: resumen11espectroscopiavibracionrotacion.pdf

6 páginas

He publicado nuevos apuntes de 2º Química Física y Nuclear: resumen3atomodehidrogeno.pdf

3 páginas

He publicado nuevos apuntes de 2º Química Física y Nuclear: resumen13espectroscopiaelectronica.pdf

5 páginas

He publicado nuevos apuntes de 2º Química Física y Nuclear: resumen7moleculaspoliatomicas.pdf

2 páginas

He publicado nuevos apuntes de 2º Química Física y Nuclear: resumen4metodosaproximados.pdf

1 página

He publicado nuevos apuntes de 2º Química Física y Nuclear: resumen5atomospolielectronicos.pdf

2 páginas

He publicado nuevos apuntes de 2º Química Física y Nuclear: resumen10espectrosrotacion.pdf

2 páginas

He publicado nuevos apuntes de 2º Química Física y Nuclear: resumen9metodosespectroscopicos.pdf

3 páginas

He publicado nuevos apuntes de 2º Química Física y Nuclear: resumen1introduccioncuantica.pdf

3 páginas

He publicado nuevos apuntes de 2º Química Física y Nuclear: resumen2modelosanaliticos.pdf

3 páginas

He publicado nuevos apuntes de 2º Química Física y Nuclear: resumen6moleculasdiatomicas.pdf

2 páginas

He publicado nuevos apuntes de 2º Química Física y Nuclear: resumen8termodinamicaestadistica.pdf

4 páginas

He publicado nuevos apuntes de 2º Química Física y Nuclear: resumen12espectroscopiaraman.pdf

5 páginas

He publicado nuevos apuntes de 2º Química Física y Nuclear: 11-espectroscopiadevibracionrotacion.pdf

10 páginas

He publicado nuevos apuntes de 2º Química Física y Nuclear: 9-metodosespectroscopicos.pdf

5 páginas

He publicado nuevos apuntes de 2º Química Física y Nuclear: 8-termodinamicaestadistica.pdf

7 páginas

He publicado nuevos apuntes de 2º Química Física y Nuclear: 10-espectrosderotacion.microondas.pdf

4 páginas

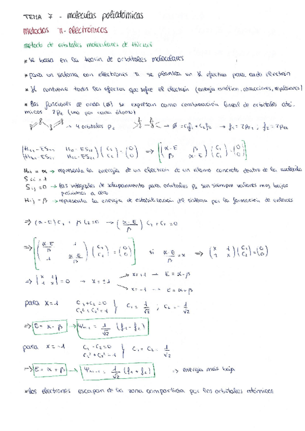
He publicado nuevos apuntes de 2º Química Física y Nuclear: 7-moleculaspoliatomicas-quifi.pdf

2 páginas

He publicado nuevos apuntes de 2º Química Física y Nuclear: introduccion-quifi.pdf

8 páginas

He publicado nuevos apuntes de 2º Química Física y Nuclear: 4-metodosaproximados-quifi.pdf

2 páginas

He publicado nuevos apuntes de 2º Química Física y Nuclear: 5-atomospolielectronicos-quifi.pdf

3 páginas

He publicado nuevos apuntes de 2º Química Física y Nuclear: 6-moleculasdiatomicas-quifi.pdf

3 páginas

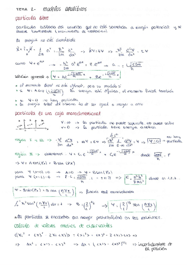
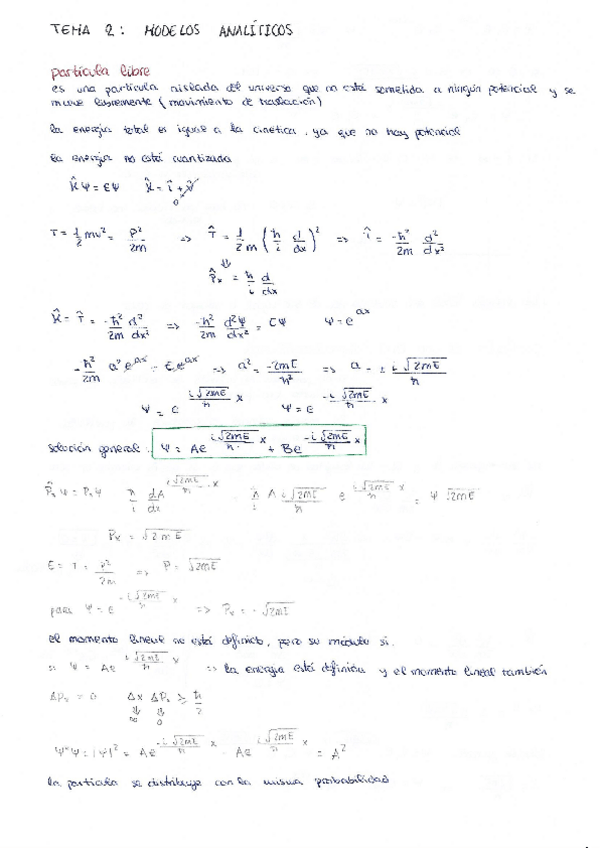
He publicado nuevos apuntes de 2º Química Física y Nuclear: 2-modelosanaliticos-quifi.pdf

7 páginas

He publicado nuevos apuntes de 2º Química Física y Nuclear: 3-atomodehidrogeno-quifi.pdf

6 páginas
¡Estás al día!

¡Estás al día!

Has visto todos los archivos