Todo
Apuntes
Ejercicios
Exámenes
Otros
Prácticas
publication
chevron_left
chevron_right

apuntes

-

TEMA 6 ESTRUCTURA ATÓMICA

He publicado nuevos apuntes de 1º Química General: TEMA 6 ESTRUCTURA ATÓMICA

BOLETIN-6.pdf
TEMA-6-ESTRUCTURA-ATOMICA.pdf

apuntes

-

TEMA 7 CLASIFICACIÓN PERIÓDICA

He publicado nuevos apuntes de 1º Química General: TEMA 7 CLASIFICACIÓN PERIÓDICA

BOLETIN-7.pdf
TEMA-7-CLASIFICACION-PERIODICA.pdf

apuntes

-

TEMA 5 TERMOQUÍMICA

He publicado nuevos apuntes de 1º Química General: TEMA 5 TERMOQUÍMICA

TEMA-5-TERMOQUIMICA.pdf
BOLETIN-TEMA-5.pdf

ejercicios

-

Boletines

He publicado nuevos ejercicios de 1º Química General: Boletines

Boletin-Tema-1.pdf
Boletin-Tema-2.pdf
Boletin-Tema-3.pdf
Boletin-Tema-4.pdf
Boletin-Tema-5.pdf
Boletin-Tema-6.pdf

ejercicios

-

Boletines corregidos

He publicado nuevos ejercicios de 1º Química General: Boletines corregidos

Boletin-2.pdf
Boletin-3-acido-base.pdf
Boletin-3-equilibrio-de-precipitacion.pdf
Boletin-3-equilibrio-y-concentraciones.pdf
Boletin-4.pdf
Boletin-5.pdf

He publicado nuevos apuntes de 1º Química General: Quimica.-Parte-2.pdf

6 páginas

He publicado nuevos apuntes de 1º Química General: Formulacion-Organica.pdf

13 páginas

He publicado nuevos apuntes de 1º Química General: Quimica.-Parte-1.pdf

6 páginas

He publicado nuevos apuntes de 1º Química General: Formulacion-Inorganica.pdf

7 páginas

He publicado nuevos apuntes de 1º Química General: Tabla-Periodica.pdf

1 página

He publicado nuevos apuntes de 1º Química General: Examenes-Resueltos-Formulacion-WLA.pdf

2 páginas

apuntes

-

RESUMEN QUIMICA

He publicado nuevos apuntes de 1º Química General: RESUMEN QUIMICA

T1-ESTEQUIOMETRIA.pdf
T2-TERMOQUIMICA.pdf
T3-PROPIEDADES-Y-ESTADOS-DE-LA-MATERIA.pdf
T4-GASES.pdf
T5-LIQUIDOS-Y-SOLUCIONES.pdf
T6-CINETICA-QUIMICA.pdf

examenes

-

EXAMENES RESUELTOS

He publicado nuevos examenes de 1º Química General: EXAMENES RESUELTOS

1o-CONVO-2011-RESUELTO.pdf
1o-CONVO-2016-RESUELTO.pdf
2o-CONVO-2010-RESUELTO.pdf
2o-CONVO-2016-RESUELTO.pdf

apuntes

-

Química General

Apuntes y ejercicios resueltos de todos los temas de química y seminarios

Ejercicios-Formulacion.pdf
Formulacion-inorganica-version1.pdf
Formulacion-inorganica-version2.pdf
Formulacion-organica.pdf
Solubilidad.pdf
Tema-1.pdf

He publicado nuevos apuntes de 1º Química General: Apuntes-para-aprobar-2oparcial.pdf

7 páginas

He publicado nuevos apuntes de 1º Química General: Apuntes-1o-parcial-quimica.pdf

11 páginas

He publicado nuevos apuntes de 1º Química General: formulacion-inorganica-y-organica.pdf

6 páginas

He publicado nuevos apuntes de 1º Química General: t.5-termoquimica-resumen.pdf

3 páginas

He publicado nuevos apuntes de 1º Química General: Apuntes-tema-3-Quimica.pdf

4 páginas

He publicado nuevos apuntes de 1º Química General: Apuntes-tema-2-Quimica.pdf

3 páginas

He publicado nuevos apuntes de 1º Química General: Apuntes-tema-4-quimica.pdf

6 páginas

examenes

-

Parciales 23/24

He publicado nuevos examenes de 1º Química General: Parciales 23/24

Primer-Parcial-2324.pdf

Boletín completo Tema 1 corregido

9 páginas

He publicado nuevos apuntes de 1º Química General: TEMA-1-ESTEQUIOMETRIA.pdf

11 páginas

He publicado nuevos apuntes de 1º Química General: Metodo-Redox.pdf

2 páginas

He publicado nuevos practicas de 1º Química General: Practica-4-Reacciones-redox.-Pilas-galvanicas-1.pdf

6 páginas

He publicado nuevos practicas de 1º Química General: Practica-1-Preparacion-de-un-polimero-viscoelastico-1.pdf

3 páginas

He publicado nuevos practicas de 1º Química General: Practica-3-Preparacion-de-disoluciones.-Medidas-de-PH.pdf

12 páginas

He publicado nuevos practicas de 1º Química General: Practica-2-Reacciones-quimicas.pdf

5 páginas

He publicado nuevos apuntes de 1º Química General: Inorgánica.pdf

4 páginas

He publicado nuevos apuntes de 1º Química General: Formulacion.pdf

3 páginas

He publicado nuevos apuntes de 1º Química General: Inorganica.pdf

4 páginas

He publicado nuevos apuntes de 1º Química General: T.6-T.7-y-T.8..pdf

13 páginas

He publicado nuevos apuntes de 1º Química General: Tema-3.pdf

7 páginas

He publicado nuevos apuntes de 1º Química General: Tema-4.pdf

5 páginas

He publicado nuevos apuntes de 1º Química General: Tema-5.pdf

6 páginas

He publicado nuevos apuntes de 1º Química General: Tema-1.pdf

4 páginas

He publicado nuevos apuntes de 1º Química General: Formulacion-Inorganica-Resumen-esquematizado.pdf

2 páginas

ejercicios

-

Todos los boletines resueltos

He publicado nuevos ejercicios de 1º Química General: Todos los boletines resueltos

Boletin-1-resuelto.pdf
Boletin-tema-1.pdf
Boletin-tema-3-resuelto.pdf
Boletin-tema-3.pdf
Boletin-tema-4-resuelto.pdf
Boletin-tema-4.pdf

He publicado nuevos ejercicios de 1º Química General: Boletin-10-resuelto.pdf

3 páginas

He publicado nuevos ejercicios de 1º Química General: Boletin-9-resuelto.pdf

1 página

He publicado nuevos ejercicios de 1º Química General: Boletin-8-resuelto-entero.pdf

3 páginas

He publicado nuevos ejercicios de 1º Química General: Boletin-7-redox-resuelto.pdf

5 páginas

He publicado nuevos apuntes de 1º Química General: Boletin-7-acido-base- resuelto.pdf

4 páginas

He publicado nuevos ejercicios de 1º Química General: Boletin-7-solubilidad-resuelto.pdf

4 páginas

He publicado nuevos ejercicios de 1º Química General: Boletin-6-resuelto.pdf

4 páginas

He publicado nuevos apuntes de 1º Química General: Formulario-temas-1-3-y-4.pdf

1 página

He publicado nuevos ejercicios de 1º Química General: Boletín-4-resuelto entero.pdf

8 páginas

He publicado nuevos ejercicios de 1º Química General: Boletin-3-resuelto entero.pdf

5 páginas

He publicado nuevos practicas de 1º Química General: Boletin-1-resuelta entera.pdf

3 páginas

apuntes

-

Resúmenes

He publicado nuevos apuntes de 1º Química General: Resúmenes

Tema-5.pdf
Tema-6.pdf
Tema-7.pdf
Tema-8.pdf

He publicado nuevos apuntes de 1º Química General: Formulas-importantes-Tema-1.pdf

1 página

He publicado nuevos apuntes de 1º Química General: Reacciones-quimicas-y-estequiometria-apuntes.pdf

2 páginas

ejercicios

-

Tema 5, 6, 7 y 8

He publicado nuevos ejercicios de 1º Química General: Tema 5, 6, 7 y 8

Tema-5-quimica.pdf
Tema-6-quimica.pdf
Tema-7-quimica.pdf
Tema-8-quimica.pdf

He publicado nuevos apuntes de 1º Química General: Apuntes-Quimica-todos-los-temas.pdf

17 páginas

practicas

-

practica 1 de quimica resuelte entera

practica 1 de quimica resuelte entera

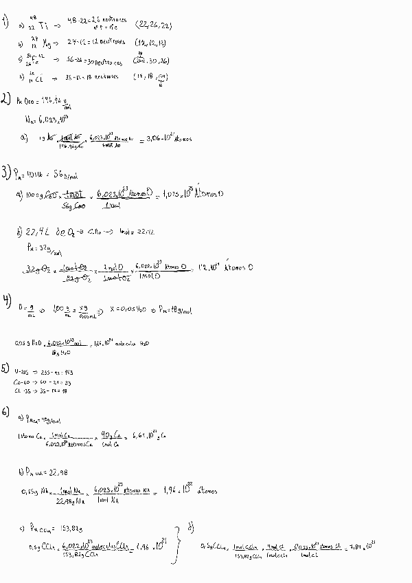
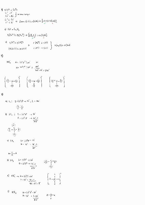
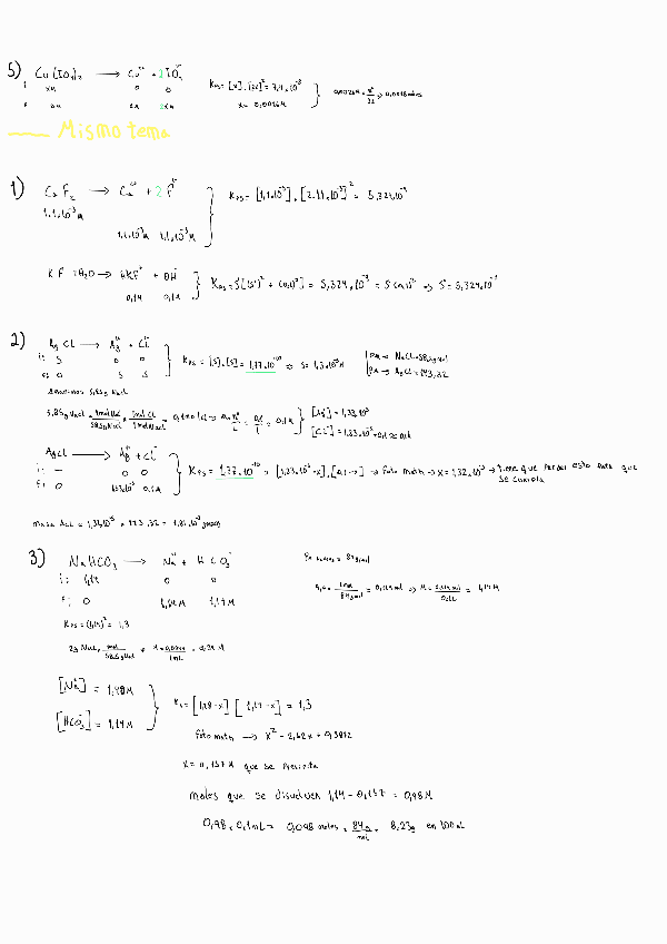
Problemas-Tema-11-1.pdf
2.jpg
6.jpg
5.jpg
1.jpg
3.jpg

He publicado nuevos apuntes de 1º Química General: Apuntes-formulacion-inorganica.pdf

15 páginas

He publicado nuevos apuntes de 1º Química General: Apuntes-formulacion-organica.pdf

4 páginas

ejercicios

-

Tema 6

He publicado nuevos ejercicios de 1º Química General: Tema 6

Boletín-6

apuntes

-

APUNTES QUÍMICA (TODOS LOS TEMAS)

He publicado nuevos apuntes de 1º Química General: APUNTES QUÍMICA (TODOS LOS TEMAS)

TEMA-4-REACCIONES-REDOX220603101832.pdf
TEMA-6ESTRUCTURA-ATOMICA220116094343.pdf
TEMA-2-REACCIONES-QUIMICAS220119151756.pdf
TEMA-8ENLACE-QUIMICO220111191046.pdf
TEMA-3-ACIDO-BASE220120101911.pdf
TEMA-1-INTRODUCCION-A-QUIMICA-220119112306.pdf