chevron_left
chevron_right
Todo
Apuntes
Ejercicios
Exámenes
Prácticas
chevron_left
chevron_right

He publicado nuevos examenes de 1º Química General: EJERCICIOS-DE-EXAMEN-PARTE-2.pdf

7 páginas

He publicado nuevos examenes de 1º Química General: EJERCICIOS-DE-EXAMEN-RESUELTOS-PARTE-1.pdf

7 páginas

He publicado nuevos ejercicios de 1º Química General: Tema-8-Problemas.pdf

7 páginas

He publicado nuevos ejercicios de 1º Química General: Tema-7-Problemas.pdf

16 páginas

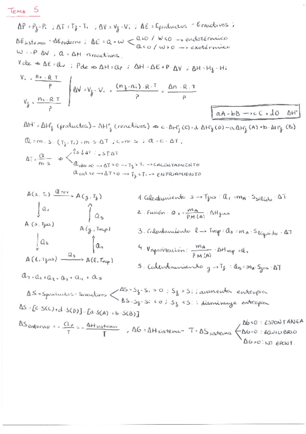
He publicado nuevos ejercicios de 1º Química General: Tema-5-Problemas.pdf

8 páginas

He publicado nuevos ejercicios de 1º Química General: Tema-6-Problemas.pdf

9 páginas

He publicado nuevos apuntes de 1º Química General: Tema-8-Apuntes.pdf

3 páginas

He publicado nuevos apuntes de 1º Química General: Tema-7-Apuntes.pdf

6 páginas

He publicado nuevos apuntes de 1º Química General: Tema-5-Apuntes.pdf

7 páginas

He publicado nuevos apuntes de 1º Química General: Tema-6-Apuntes.pdf

6 páginas

He publicado nuevos apuntes de 1º Química General: Tema-4-Apuntes.pdf

8 páginas

He publicado nuevos apuntes de 1º Química General: Tema-3-Apuntes.pdf

6 páginas

He publicado nuevos apuntes de 1º Química General: Formulario-segundo-parcial.pdf

4 páginas

He publicado nuevos apuntes de 1º Química General: Tema-2-Apuntes.pdf

6 páginas

He publicado nuevos apuntes de 1º Química General: Tema-1-Apuntes.pdf

7 páginas

apuntes

-

Todo lo que necesitas

Os dejo todos los temas resumidos, cuando tenga más tiempo les mejoraré la calidad. Ademas de todos los ejercicios hechos y formularios.

TEMA3.pdf
TEMA8.pdf
TEMA2.pdf
TEMA5.pdf
TEMA1.pdf
TEMA6Y7.pdf

practicas

-

Practicas Química (completas y corregidas)

He publicado nuevos practicas de 1º Química General: Practicas Química (completas y corregidas)

P1.pdf
P2.pdf
P3.pdf
P4-esta-esta-regulin.pdf
P5.pdf
P6.pdf

ejercicios

-

Ejercicios Química (todos los temas completos y corregidos)

He publicado nuevos ejercicios de 1º Química General: Ejercicios Química (todos los temas completos y corregidos)

T0.pdf
T1.pdf
T2.pdf
T3.pdf
T4.pdf
T5.pdf

He publicado nuevos apuntes de 1º Química General: Tema-3-Disposicion-Electronica-y-Goemetria-Molecular.pdf

2 páginas

He publicado nuevos practicas de 1º Química General: Informe-Practica-4.pdf

2 páginas

He publicado nuevos practicas de 1º Química General: Informe-Practica-3.pdf

5 páginas

He publicado nuevos practicas de 1º Química General: Informe-Practica-2.pdf

3 páginas

He publicado nuevos practicas de 1º Química General: Informe-Practica-1.pdf

3 páginas

He publicado nuevos examenes de 1º Química General: Examen-Quimica-Parcial-Noviembre-2023.pdf

2 páginas

He publicado nuevos apuntes de 1º Química General: QuimicaGeneralproblemaspropuestos.pdf

15 páginas

He publicado nuevos apuntes de 1º Química General: Practica-8.pdf

51 páginas

He publicado nuevos apuntes de 1º Química General: Informe-Practica-2-1.pdf

3 páginas

He publicado nuevos practicas de 1º Química General: Practica-4.pdf

5 páginas

He publicado nuevos practicas de 1º Química General: Practica-1-quimica.pdf

4 páginas

He publicado nuevos ejercicios de 1º Química General: Quimica-ejercicios-T.1-T.8.pdf

15 páginas

He publicado nuevos examenes de 1º Química General: Segundo-Parcial-Quimica-2021.pdf

2 páginas

He publicado nuevos examenes de 1º Química General: Enero-2017.pdf

2 páginas

apuntes

-

Esquema T8 - Química General

He publicado nuevos apuntes de 1º Química General: Esquema T8 - Química General

Esquema-T8.jpg

apuntes

-

Esquema T7 - Química General

He publicado nuevos apuntes de 1º Química General: Esquema T7 - Química General

Esquema-T7.jpg

apuntes

-

Esquema T6 - Química General

He publicado nuevos apuntes de 1º Química General: Esquema T6 - Química General

Esquema-T6.jpg

apuntes

-

Tema 4 - Química General

He publicado nuevos apuntes de 1º Química General: Tema 4 - Química General

T4-7.jpg
T4-1.jpg
T4-2.jpg
T4-3.jpg
T4-4.jpg
T4-5.jpg

apuntes

-

Tema 3 - Química General

He publicado nuevos apuntes de 1º Química General: Tema 3 - Química General

T3-12.jpg
T3-1.jpg
T3-2.jpg
T3-3.jpg
T3-4.jpg
T3-5.jpg

apuntes

-

Tema 2 - Química General

He publicado nuevos apuntes de 1º Química General: Tema 2 - Química General

T2-5.jpg
T2-6.jpg
T2-7.jpg
T2-8.jpg
T2-9.jpg
T2-10.jpg

He publicado nuevos apuntes de 1º Química General: Apuntes-segundo-parcial.pdf

9 páginas

He publicado nuevos apuntes de 1º Química General: Apuntes-primer-parcial.pdf

11 páginas
Anónimo

@Anónimo

ejercicios

-

Problemas Propuestos

He publicado nuevos ejercicios de 1º Química General: Problemas Propuestos

Problemas-Propuestos-Tema-5.pdf
Problemas-Propuestos-Tema-8.pdf
Problemas-Propuestos-Tema-7.pdf
Problemas-Propuestos-Tema-3.pdf
Problemas-Propuestos-Tema-4.pdf
Problemas-Propuestos-Tema-1.pdf

He publicado nuevos apuntes de 1º Química General: Tema-5-Quimica.pdf

4 páginas

He publicado nuevos apuntes de 1º Química General: Tema-4-Quimica.pdf

2 páginas

He publicado nuevos apuntes de 1º Química General: Tema-3-Quimica.pdf

3 páginas

He publicado nuevos apuntes de 1º Química General: Tema-2-Quimica.pdf

3 páginas

He publicado nuevos apuntes de 1º Química General: Tema-1-Quimica.pdf

3 páginas
Anónimo

@Anónimo

He publicado nuevos examenes de 1º Química General: Examenes-quimica.pdf

21 páginas
Anónimo

@Anónimo

He publicado nuevos ejercicios de 1º Química General: Problemas-tema-3t.pdf

11 páginas
Anónimo

@Anónimo

He publicado nuevos ejercicios de 1º Química General: Problemas-tema-8.pdf

6 páginas
Anónimo

@Anónimo

He publicado nuevos ejercicios de 1º Química General: Problemas-tema-7.pdf

9 páginas
Anónimo

@Anónimo

He publicado nuevos ejercicios de 1º Química General: Problemas-tema-5.pdf

10 páginas
Anónimo

@Anónimo

He publicado nuevos ejercicios de 1º Química General: Problemas-tema-4.pdf

4 páginas
Anónimo

@Anónimo

He publicado nuevos ejercicios de 1º Química General: Problemas-tema-2.pdf

5 páginas
Anónimo

@Anónimo

He publicado nuevos ejercicios de 1º Química General: Problemas-tema-1.pdf

4 páginas

He publicado nuevos practicas de 1º Química General: PRACTICA-6-QUIMICA-LAB-ACABADA.pdf

10 páginas

He publicado nuevos practicas de 1º Química General: PRACTICA-5-ON-LINE.pdf

6 páginas

He publicado nuevos practicas de 1º Química General: PRACTICA-4-QUIMICA-LABORATORIO.pdf

3 páginas

He publicado nuevos practicas de 1º Química General: PRACTICA-2-QUIMICA-LABORATORIO-.pdf

2 páginas

He publicado nuevos practicas de 1º Química General: PRACTICA-7-QUIMICA-ON-LINE.pdf

8 páginas

He publicado nuevos examenes de 1º Química General: Examen-final-Febrero-2022.pdf

1 página