Todo
Apuntes
Ejercicios
Exámenes
Prácticas
chevron_left
chevron_right

He publicado nuevos apuntes de 1º Química General: Seminario-1-resuelto.pdf

3 páginas

He publicado nuevos apuntes de 1º Química General: Teoria-Tema-1-Configuracion-Electronico-y-Tabla-Periodica.pdf

6 páginas

He publicado nuevos apuntes de 1º Química General: Estequiometria.pdf

9 páginas

apuntes

-

TEMAS RESUMIDOS 2024

He publicado nuevos apuntes de 1º Química General: TEMAS RESUMIDOS 2024

T1-ESTEQUIOMETRIA.pdf
T2-TERMOQUIMICA.pdf
T3-PROPIEDADES-Y-ESTADOS-DE-LA-MATERIA.pdf
T4-GASES.pdf
T5-LIQUIDOS-Y-SOLUCIONES.pdf
T6-CINETICA-QUIMICA.pdf

examenes

-

EXAMENES RESUELTOS AL DETALLE

He publicado nuevos examenes de 1º Química General: EXAMENES RESUELTOS AL DETALLE

1o-CONVO-2016-2017-RESUELTO.pdf
1o-CONVO-2021-2022-RESUELTO.pdf
1o-CONVO-2022-2023-RESUELTO.pdf
PARCIAL-2016-2017-RESUELTO.pdf
PARCIAL-2017-2018-RESUELTO.pdf
PARCIAL-2018-2019-RESUELTO.pdf

He publicado nuevos apuntes de 1º Química General: resumen-y-ejercicios-tema-6-cinetica.pdf

12 páginas

He publicado nuevos apuntes de 1º Química General: seminario-balance-liquido-vapor-2023.pdf

9 páginas

He publicado nuevos apuntes de 1º Química General: tema-7-resumen-y-ejercicios.pdf

4 páginas

He publicado nuevos apuntes de 1º Química General: seminario-IV-ejercicio-pilas.pdf

4 páginas

He publicado nuevos apuntes de 1º Química General: seminario-II-2024.pdf

5 páginas

He publicado nuevos apuntes de 1º Química General: tema-8.pdf

10 páginas

He publicado nuevos apuntes de 1º Química General: resumen-y-ejs-ph.pdf

9 páginas

He publicado nuevos examenes de 1º Química General: examenes.pdf

10 páginas

He publicado nuevos apuntes de 1º Química General: estructura-electronica.pdf

6 páginas

He publicado nuevos apuntes de 1º Química General: tema-9.pdf

3 páginas

He publicado nuevos apuntes de 1º Química General: energia-en-las-moleculas-organicas.pdf

3 páginas

He publicado nuevos apuntes de 1º Química General: isomeria.pdf

2 páginas

He publicado nuevos apuntes de 1º Química General: resumen-solubilidad.pdf

1 página

He publicado nuevos apuntes de 1º Química General: ESTEQUIOMETRIA.pdf

11 páginas

examenes

-

Exámenes

He publicado nuevos examenes de 1º Química General: Exámenes

EXAMEN-3.pdf
EXAMEN-4.pdf
EXAMEN1.pdf

He publicado nuevos apuntes de 1º Química General: Tema-9A-EXAMENES-acido-base.pdf

11 páginas

He publicado nuevos apuntes de 1º Química General: Ordenes-Cinetica-Quimica.pdf

1 página

He publicado nuevos apuntes de 1º Química General: Practica-4-Quimica-Explicado.pdf

3 páginas

He publicado nuevos apuntes de 1º Química General: Seminario-Pilas.pdf

2 páginas

He publicado nuevos apuntes de 1º Química General: Examenes-Pilas-Resueltos-Tema-9B.pdf

7 páginas

He publicado nuevos apuntes de 1º Química General: Tema-9B-Pilas-Ejercicios-y-teorIa.pdf

8 páginas

He publicado nuevos apuntes de 1º Química General: Seminario-Acido-Base.pdf

3 páginas

He publicado nuevos apuntes de 1º Química General: EQUILIBRIO-Teoria-Importante.pdf

4 páginas

He publicado nuevos apuntes de 1º Química General: Examenes-Tema-7-y-8.pdf

12 páginas

He publicado nuevos apuntes de 1º Química General: Problemas-Tema-8.pdf

12 páginas

He publicado nuevos apuntes de 1º Química General: Tema-7-Ejercicios.pdf

7 páginas

He publicado nuevos apuntes de 1º Química General: Examenes-Cinetica-Quimica.pdf

6 páginas

He publicado nuevos apuntes de 1º Química General: Ejercicios-Extra-Cinetica-Quimica.pdf

7 páginas

He publicado nuevos apuntes de 1º Química General: Tema-6-Cinetica-quimica-ejercicios.pdf

23 páginas

He publicado nuevos apuntes de 1º Química General: Cinetica-Quimica-Teoria.pdf

2 páginas

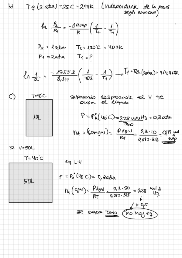
He publicado nuevos apuntes de 1º Química General: Liquido-vapor-Importante.pdf

10 páginas

He publicado nuevos apuntes de 1º Química General: Ejercicios-Examen-Liquido-Vapor-antiguos.pdf

18 páginas

He publicado nuevos apuntes de 1º Química General: Seminario-Termoquimica.pdf

1 página

He publicado nuevos apuntes de 1º Química General: Seminario-Estequiometria.pdf

4 páginas

He publicado nuevos apuntes de 1º Química General: Apuntes-2P.pdf

8 páginas

He publicado nuevos apuntes de 1º Química General: Apuntes-1P.pdf

12 páginas

He publicado nuevos apuntes de 1º Química General: Apuntes-formulacion.pdf

9 páginas

ejercicios

-

BOLETINES

He publicado nuevos ejercicios de 1º Química General: BOLETINES

EJERCICIOS-TEMA-6.pdf
EJERCICIOS-TEMA-7.pdf
2o-PARTE-EJERCICIOS-TEMA-6.pdf
EJERCICIOS-EXTRAS-TEMA-6.pdf
CUESTIONES-Y-PROBLEMAS-TEMA-8-EQUILIBRIO-QUIMICO.pdf
EJERCICIOS-TEMA-1-ESTEQUIOMETRIA-Y-BALANCES-DE-MATERIA.pdf

He publicado nuevos apuntes de 1º Química General: SOL-Abril-2019.pdf

3 páginas

He publicado nuevos apuntes de 1º Química General: Sol-Examen-2P-2021-22.pdf

3 páginas

He publicado nuevos apuntes de 1º Química General: 1oP-2021.pdf

4 páginas

He publicado nuevos apuntes de 1º Química General: SOL-Abril-2021.pdf

4 páginas

He publicado nuevos apuntes de 1º Química General: Tema-2-Termoquimica.pdf

9 páginas

He publicado nuevos apuntes de 1º Química General: Tema1-Introduccion.pdf

5 páginas

He publicado nuevos apuntes de 1º Química General: quimica.jpg

Imagen
Anónimo

@Anónimo

He publicado nuevos apuntes de 1º Química General: quimica-ej2.pdf

3 páginas
Anónimo

@Anónimo

He publicado nuevos apuntes de 1º Química General: quimica-ejw.pdf

6 páginas

He publicado nuevos apuntes de 1º Química General: Resumen Primer Parcial.pdf

11 páginas

He publicado nuevos apuntes de 1º Química General: Resuemen-T.pdf

6 páginas

apuntes

-

APUNTES Y ERCICIOS (GIOI)

He publicado nuevos apuntes de 1º Química General: APUNTES Y ERCICIOS (GIOI)

QUIMICA-APUNTES-TERMOQUIMICA.pdf
QUIMICA-APUNTES-CINETICA.pdf
QUIMICA-APUNTES-LIQUIDOS-Y-SOLUCIONES.pdf
QUIMICA-ESPONTANEIDAD-ENTROPIA-Y-ENERGIA-LIBRE.pdf
QUIMICA-PROBLEMA-BALANCE-DE-MATERIA.pdf
QUIMICA-EJERCICIOS-LIQUIDOS-Y-SOLUCIONES.pdf

apuntes

-

Apuntes y ejercicios resueltos

He publicado nuevos apuntes de 1º Química General: Apuntes y ejercicios resueltos

Apuntes-Quimica-General.pdf
Apuntes-formulacion-inorganica.pdf

ejercicios

-

Ej. resueltos 2do parcial (POR TEMAS)

He publicado nuevos ejercicios de 1º Química General: Ej. resueltos 2do parcial (POR TEMAS)

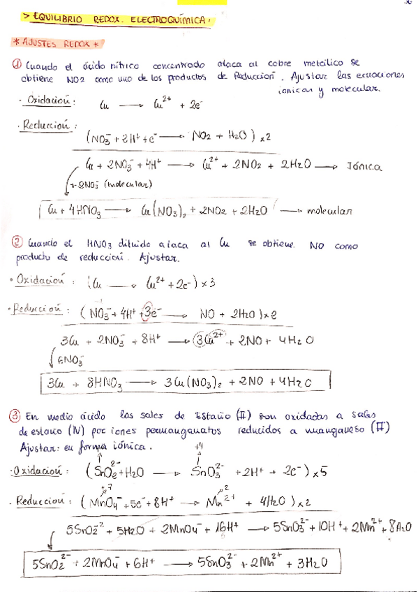
REDOX-Y-ELECTROQUIMICA-ej-resueltos.pdf
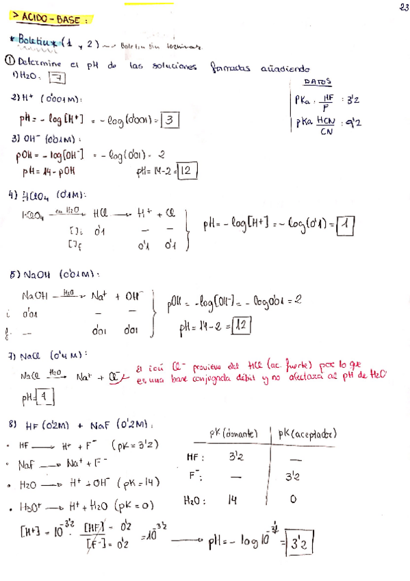
ACIDO-BASE-ejercicios-resueltos.pdf
EQUILIBRIO-QUIMICO-ejercicios-resueltos.pdf
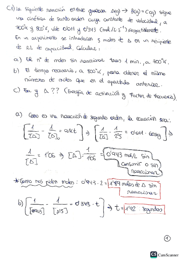
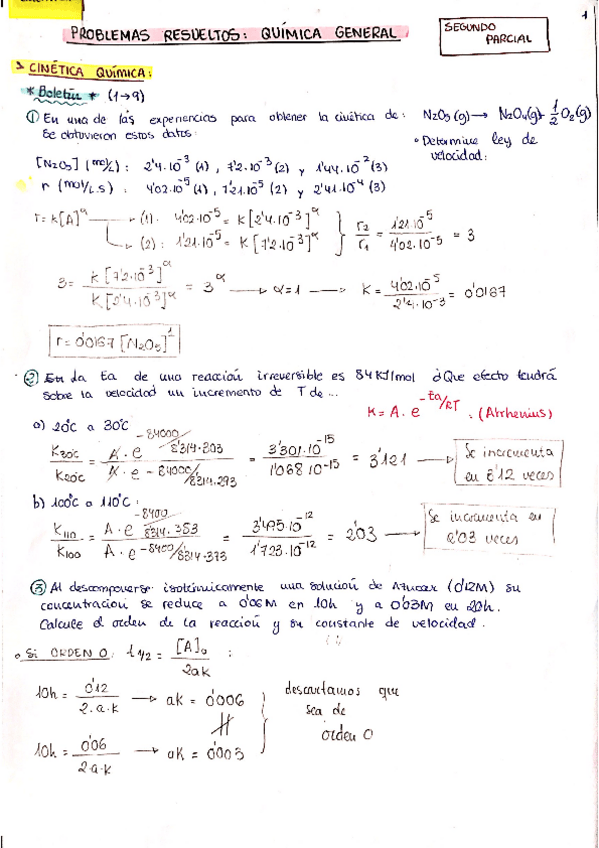
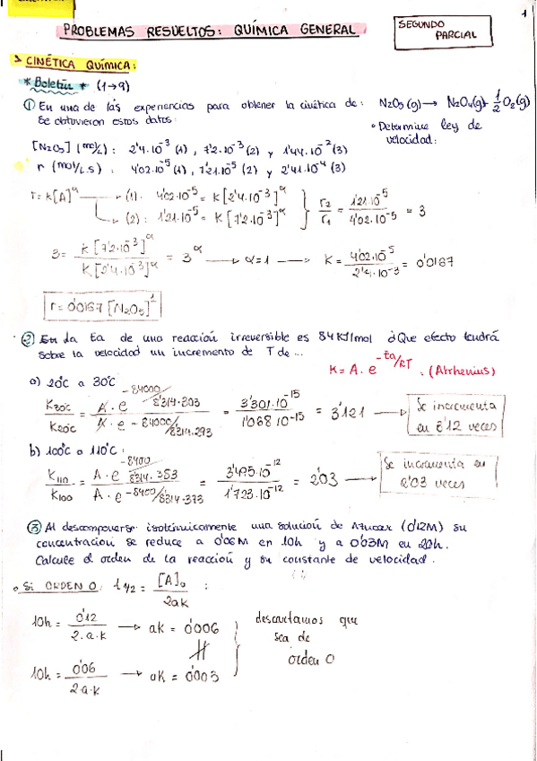
CINETICA-ejercicios-resueltos.pdf

ejercicios

-

Ej. y Exámenes resueltos 1P (POR TEMAS)

He publicado nuevos ejercicios de 1º Química General: Ej. y Exámenes resueltos 1P (POR TEMAS)

1P-ejercicios-y-examenes.pdf
EXAMENES-RESUELTOS-1P-quimica.pdf

He publicado nuevos ejercicios de 1º Química General: SEMINARIOS-RESUELTOS-QUIMICA.pdf

18 páginas

He publicado nuevos examenes de 1º Química General: examenes-resueltos.pdf

20 páginas